第D007版:信息披露 上一版3  4下一版  
 
标题导航
 

我要评报 | 我要订报 | 我来提问 | 我来出题 | 我要投稿

返回首页 时报在线 版面导航 标题导航 新闻检索

20 星期20 放大 缩小 默认
江苏炎黄在线物流股份有限公司发行股份购买资产报告书(摘要)

  (上接D6版)

  润丰房产与相关贷款人的贷款合同中有润丰房产发生相关股权结构变动需取得贷款人同意的表述,否则应承担各贷款合同项下的违约责任,贷款人有权停止或取消润丰房产尚未提取使用的借款、并有权提前收回部分乃至全部借款;不能收回的,按逾期贷款利率按日计收违约金。根据润丰房产的确认,润丰房产已经将股权将发生变动情况通知相关贷款人,相关贷款人正在履行内部批准程序。润丰房产的控股股东润丰集团已经出具承诺函,承诺如果因未取得贷款人的同意而导致润丰房产需承担上述贷款合同项下的违约责任,并给润丰房产或炎黄物流造成任何损失,润丰集团将向润丰房产或炎黄物流进行全面、足额的赔偿。故此,润丰房产尚未取得上述贷款人的同意函不会对本次发行股份购买资产造成实质性法律障碍。

  (七)最近三年资产评估、交易、增资或改制情况

  根据2006年1月20日润丰房产的股东会决议,润丰房产的注册资本由10,000万元增加至30,000万元,北京国际信托投资有限公司认缴增资20,000万元。北京富尔会计师事务所有限责任公司对本次增资出具了京富会(2006)2A-277号《验资报告》。

  2007年7月,北京国际信托投资有限公司以20,000.00万元将其持有的润丰房产66.67%的股权,福建省南安市润丰石材有限公司以4,984.00万元将其持有的润丰房产14%的股权,陈水波以3,164.84万元将其持有的润丰房产8.89%的股权,陈水双以1,790.60万元将其持有的润丰房产5.03%的股权,陈水滚以1,100.04万元将其持有的润丰房产3.09%的股权,李荣宣以825.92万元将其持有的润丰房产2.32%的股权全部转让予润丰集团,转让完成后润丰集团持有润丰房产100%股权。

  2007年10月,润丰集团与林宝定签订《股权转让协议》,润丰集团以4,200万元将其所持润丰房产的20%股权转让给林宝定。

  除为本次交易进行的评估外,润丰房产最近三年未进行其他资产评估。

  二、润丰房产审计和评估情况

  (一)润丰房产的简要合并财务报表

  根据南京立信出具的[宁信会审字(2009)第0113号]和[宁信会审字(2009)第0665号]《审计报告》,润丰房产2007年度、2008年度和2009年1~6月份的财务报表如下:

  1、简要合并资产负债表

  单位:元

  ■

  2、简要合并利润表

  单位:元

  ■

  3、简要合并现金流量表

  单位:元

  ■

  (二)润丰房产的企业价值评估情况

  1、企业价值评估结果

  (1)成本法评估结果

  根据中商评估出具的《北京润丰房地产开发有限公司全部股东权益价值评估报告》(中商评报字[2009]第1022号),北京润丰房地产开发有限公司于2008年12月31日资产账面价值为223,612.26万元,资产调整后账面值为223,612.26万元,资产评估价值为239,952.91万元,资产评估增值额16,340.65万元,资产评估增值率7.31%;负债账面价值为166,402.82万元,负债调整后账面值为166,402.82万元,负债评估价值为166,402.82万元;净资产账面价值为57,209.44万元,净资产调整后账面值为57,209.44万元,净资产评估价值为73,550.09万元,净资产评估增值额16,340.65万元,净资产评估增值率28.56%。

  资产评估结果汇总表

  单位:万元

  ■

  (2)收益法评估结果

  在企业持续经营及评估报告所列重要假设和限制条件下,评估基准日2008年12月31日企业申报的资产总额账面值223,612.26万元,负债总额账面值为166,402.82万元,净资产57,209.44万元;评估后净资产为76,134.61万元,净资产评估增值18,925.17万元,增值率33%。

  (3)评估结论

  润丰房产的全部股东权益价值采用成本法评估结果为73,550.09万元,采用收益法评估结果为76,134.61万元。差异额为2,584.52万元,差异率为4%。

  成本法是对企业账面资产和负债的现行市场价值进行评估,收益法是通过估算企业未来预期现金流和采用适宜的折现率,将预期现金流折算成现时价值,得到企业价值。本次成本法评估结论与收益法评估结论相差较大。

  考虑到收益法受市场环境条件变化的影响较大,影响收入成本预测的因素较多,尤其是房地产行业受国家宏观调控和经济形势的影响较为突出,导致企业未来经营战略的实施存在一定的不确定性,收益预测主观性较强。

  综上所述,本次评估采用成本法评估结果确定润丰房产的股东全部权益价值为73,550.09万元。

  2、评估方法说明

  (1)企业价值评估的基本方法

  企业价值评估的评估方法有市场法、收益法和成本法。

  企业价值评估中的市场法,是指将评估对象与参考企业、在市场上已有交易案例的企业、股东权益、证券等权益性资产进行比较以确定评估对象价值的评估思路。市场法中常用的两种方法是参考企业比较法和并购案例比较法。

  参考企业比较法是指通过对资本市场上与被评估企业处于同一或类似行业的上市公司的经营和财务数据进行分析,计算适当的价值比率或经济指标,在与被评估企业比较分析的基础上,得出评估对象价值的方法。

  并购案例比较法是指通过分析与被评估企业处于同一或类似行业的公司的买卖、收购及合并案例,获取并分析这些交易案例的数据资料,计算适当的价值比率或经济指标,在与被评估企业比较分析的基础上,得出评估对象价值的方法。

  企业价值评估中的收益法,是指通过将被评估企业预期收益资本化或折现以确定评估对象价值的评估思路。收益法中常用的两种具体方法是收益资本化法和未来收益折现法。

  企业价值评估中的成本法也称资产基础法,是指在合理评估企业各项资产价值和负债的基础上确定评估对象价值的评估思路。

  (2)本次企业价值评估的方法选择

  本项目评估方法的选择,由于没有与被评估企业类似的股权交易案例、无法搜集市场法所需的相关资料,故此次无法采用市场法进行评估。

  通过对被评估企业的调查了解,被评估企业生产经营稳定,未来预期收益是可以预测并可以用货币衡量,资产拥有者获得预期收益所承担的风险也可以预测并可以用货币衡量,被评估资产预期获利年限可以预测,故此次采用收益法进行评估。

  由于被评估企业持续经营,被评估对象具有预期获利能力,被评估企业具备可利用的历史资料,在充分考虑资产的实体性贬值、功能性贬值和经济性贬值基础上,在采用收益法进行评估的同时, 采用成本法进行评估。

  (3)采用成本法评估企业权益价值

  企业价值评估中的成本法也称资产基础法,是指在合理评估企业各项资产价值和负债的基础上确定评估对象价值的评估思路。

  对各单项资产,根据所具备的评估条件,选择相应的评估方法。以下按照资产类别分项简述。

  A流动资产评估

  a、 货币资金

  货币类流动资产为现金及银行存款。对现金进行盘点核实;对银行存款根据评估申报表,经与银行对账单及银行存款余额调节表核对,确定其账实是否相符。确定评估值按清查核实后账面值确定评估值。

  b、 应收款项

  包括应收账款和其他应收款,对应收款项在弄清有关项目性质的前提下,核对账目、原始凭证,在进行经济内容分析和账龄分析的基础上,根据核实后的调整后账面价值及其可收回情况确定评估值。

  c、 预付款项的评估

  主要通过判断其形成取得货物的权利能否实现或能否形成资产确定评估值。对预付账款中的费用性质款项评估为零;预付的工程款项,因本次对于存货是以完全成本为基础进行评估的,评估价值中包括了发生在存货上的各项成本,因此对于预付账款中的工程款评估为零。

  d、 存货的评估

  存货包括产成品(开发产品)、在产品(开发成本)。

  产成品(开发产品)的评估

  企业的产成品为尚未完成销售的已完工商品房,评估时以评估基准日的市场售价为基础,减去销售费用、全部税金、适当的税后净利润及土地增值税后确认评估值。计算公式如下:

  评估值=建筑面积×(销售单价-销售费用-销售税金及附加-所得税-评估扣除利润)-土地增值税

  其中:①销售单价

  根据该项目各楼12月平均销售均价,结合目前房地产市场情况和未来发展趋势,确定各楼销售均价。

  ②销售费用率

  销售费用率按润丰房地产近年平均销售费用率确定,根据企业利润表测算为5%。

  ③销售税金及附加

  包括营业税及附加(销售收入的5.5%)、印花税(销售收入的0.05%),综合税率为6%。

  ④所得税

  该企业所得税适用税率为25%,以企业利润总额为计税基数。根据企业近几年利润表测算,所得税费用约占销售收入的5%。

  ⑤扣除利润

  润丰房地产近年销售利润率为15%左右,根据其近期房产销售情况,扣减利润确定为10%。

  ⑥土地增值税的扣除

  根据《中华人民共和国土地增值税暂行条例实施细则》计算,计算内容如下:

  土地增值额=房地产销售有关的收入-与房地产开发有关的税金-取得土地使用权所支付的费用-房地产开发成本-财务费用-房地产开发间接费用-其他扣除项目

  计算土地增值税税额,可按增值额乘以适用的税率减去扣除项目金额乘以速算扣除系数的简便方法计算,具体公式如下:

  若增值额未超过扣除项目金额50%:

  土地增值税税额=增值额×30%

  若增值额超过扣除项目金额50%,未超过100%:

  土地增值税税额=增值额×40%-扣除项目金额×5%

  若增值额超过扣除项目金额100%,未超过200%:

  土地增值税税额=增值额×50%-扣除项目金额×15%

  若增值额超过扣除项目金额200%:

  土地增值税税额=增值额×60%-扣除项目金额×35%

  注:公式中的5%、15%、35%为速算扣除系数。

  在产品(开发成本)的评估

  在产品(开发成本)主要是润枫水尚项目已建成毛坯房和刚完成装修的房屋及旧宫项目土地开发成本。对于润枫水尚列入开发成本的项目评估,因已具备销售条件,此次按开发产品进行评估;由于旧宫项目用地是近期通过挂牌竞价取得,能够客观地反映市场价值水平,且截至评估基准日尚未进行开发建设,账面归集成本与项目完工程度一致,本次评估以账面值作为评估值。

  B、长期投资的评估

  a.长期投资包括持有到期投资、股权投资及投资性房地产。

  持有到期投资为北京润丰房地产开发有限公司近期申购的“财富5号房地产集合资金信托计划”项1500份。

  股权投资为被评估企业对北京润丰宏业房地产开发有限责任公司62.16%的股权和为北京润兴伟业房地产开发有限责任公司100%的股权投资。

  投资性房地产为位于朝阳区安立路60号院的游泳池,建筑面积878.41平方米,房屋所有权证号为京房权证朝其05字第001044号。根据被评估企业说明,该房产规划时为游泳池,办理房屋所有权证时房屋用途为设备用房。

  b.评估人员主要采取对长期投资的形成原因、账面值和实际状况等进行了取证核实,并查阅了投资协议、章程和有关会计记录等,以确定长期投资的真实性和准确性。

  由于“财富5号房地产集合资金信托计划”为企业6月末购入,本次按账面值确定评估值。

  根据本次评估目的及长期投资企业情况,本次对北京润丰宏业房地产开发有限责任公司进行了整体评估,以其评估后的净资产值乘以润丰房地产开发有限公司的持股比例,计算确定长期投资的评估值。因北京润兴伟业房地产开发有限责任公司成立时间较短,本次评估以账面值确认评估值。

  在确定长期股权投资评估值时,评估师没有考虑控股权、参股权等因素产生的溢价及折价。

  对投资性房地产因该房产为企业投资性房产,主要是出租经营。根据评估对象有固定的出租收益这一特点,本次选取收益法对评估对象进行评估。

  C、机器设备评估

  设备主要为车辆及电子设备。

  采用成本法进行评估,成本法是按被评估资产的现时重置成本扣减其各项损耗价值来确定被评估资产价值的方法。

  评估值=重置价值×综合成新率

  评估人员首先进行资产清查,根据被评估企业的账薄记录和设备的购置发票、购置合同、报关单、付款记录等确定产权,然后根据委托评估设备与车辆清单,现场核查设备、车辆现状并对设备新旧程度、技术性能、运行环境、利用率及维修保养状况进行实地考查,对价值较大的重点设备性能进行现场测试并查阅设备技术档案,按照操作要求,现场填写机器设备作业表;然后根据评估规定,结合设备、车辆现状,确定评估标准与测算方法,计算资产的现行价格。成新率则根据有形损耗和功能性贬值进行确定,操作过程如下:

  a.重置价值的确定

  ①对能询到评估基准日市场价格的不需要安装的设备,以市场售价作为重置价值。重置价值=市场售价

  ②对能询得评估基准日市场价格的需要安装、调试的设备,以市场售价加运杂费、安装调试费和资金成本作为重置价值。重置价值=市场售价+运杂费+安装调试费+资金成本

  运杂、安装调试费:根据设备生产厂的远近、设备安装的繁简、安装时配套装置的多少,调试的复杂程度,并参考《资产评估常用数据和参数手册》相关系数及资产占有方近期购入设备的数据,确定运杂费和安装调试费。

  资金成本:对价值较高的设备,根据设备的购建建设期和同期金融机构贷款利率确定资金成本。

  ③对无法从市场获得设备价格的,通过查阅机电设备报价手册及机床产品订货手册所列价格,加运输费、安装调试费等确定设备的重置价值。

  ④对无法询价的设备,根据同类设备的价格采用类比法,通过性能价格对比进行修正计算,加运杂费、安装调试费等确定设备的重置价值。

  ⑤对于新购置的设备,购置日期距评估基准日时间不长,其间市场价格变化不大,在核实其账面价值及其构成后,以账面原值作为重置价值。

  ⑥车辆

  车辆重置价值=车辆购置价+车辆购置税+其他费用

  车辆购置税=含税价/(1+17%)×10%

  其他费用500元。

  b.成新率的确定

  对重要、单位价值高、关键的设备,技术鉴定成新率权重取60%,年限法成新率权重取40%,然后综合确定成新率。

  ■

  对一般设备,先用年限法初步确定成新率,然后结合设备的出厂质量、利用率、近期技术状况及维护保养等情况综合确定成新率。

  对超役龄使用或严重老化、保养很差的设备,如尚可使用,成新率取定为15%,如已无法运转,则按账面原值的3%计取残值。

  对部分购置后一直闲置不用的设备,结合出厂质量、利用率、近期技术状况及维护保养等情况,以技术鉴定打分法确定成新率。

  对车辆,依据国家经贸委等国家部委联合发布的1997年“国经贸经[1997]456号《关于发布汽车报废标准的通知》”、1998年“国经贸[1998]407号《关于调整轻型载货汽车报废标准的通知》”及2000年12月18日“国经贸资源[2000]1202号《关于调整汽车报废标准若干规定的通知》”等文件之规定,根据已使用年限和已行驶里程分别计算成新率,依据孰低原则确定理论成新率,该项权重40%。现场勘察车辆状况打分确定技术鉴定成新率,该项权重60%。由两项结合来确定其综合成新率。

  综合成新率=MIN(年限法成新率,里程法成新率)×40%+技术鉴定成新率×60%。

  c.评估值的确定

  评估值=重置价值×综合成新率

  D、无形资产—其他无形资的评估

  为外购财务软件摊销后的余额。包括公司购置的财务软件和工程预算软件等,本次评估对各项软件按照重置成本和尚可使用月份确定评估值。

  E、流动负债评估

  对流动负债评估采用的方法主要是查证核实。根据企业提供的各项目明细表,对评估范围内的负债构成情况进行了初步了解,听取企业有关人员介绍负债的形成原因、记账原则等情况,并采用查阅账簿凭证和函证方式等对各项负债进行清查核实,逐项审核是否存在债权人和是否为实际需要付出的债务。在此基础上,根据实际情况,针对不同负债项目选取适当的评估方法,进行评估。对于实际需要付出的债务以经过审查核实后的调整后账面值作为其评估值。

  工作程序如下:

  a.核对清查评估明细表与报表、总账、明细账是否一致;

  b.逐项确认债权人或债权是否客观存在;

  c.抽查业务内容记账凭证及附件,以推断其余额的可靠性。

  通过实施评估程序,以核实后的调整后账面值确定评估值。

  (4)采用收益法评估企业权益价值

  A、收益法的应用简介

  收益法是指通过估算被评估资产未来预期收益并折算成现值,借以确定被评估资产价值的一种资产评估方法。

  采用收益法对资产进行评估所确定的资产价值,是指为获得该项资产以取得预期收益的权利所支付的货币总额。资产的评估价值与资产的效用或有用程度密切相关,资产的效用越大,获利能力越强,它的价值也就越大。

  众所周知,资产成交后能为新的所有者带来一定的收益,所有者支付的货币量不会超过该项资产(或与其具有同样风险因素的相似资产)的期望收益的折现值。换一个角度分析,投资者投资购买资产时一般要进行可行性分析,其预计的内部回报率只有在超过评估的折现率时才肯支付货币额以取得该项资产。

  B、应用收益现值法评估资产必须具备的前提条件

  a.企业的资产评估范围产权明确;

  b.企业的未来收益可货币量化;

  c.企业的未来经营风险可货币量化。

  此次对委托评估资产的评估,是在企业持续经营假设条件下进行的。企业持续经营假设是假定被评估企业仍按原先设计及兴建的目的使用,包括保留企业现时所处的位置,保持原有的经营方式和经营风格,在原有资产要素构成或必要的调整基础上继续经营。从资产评估的角度来理解企业持续经营还包括了企业继续经营中所提供的产品或服务,能够满足及适合市场的需要,并从中持续地产生效益。

  C、收益预测基础

  a.本次评估的预测基础是建立在企业正常经营的前提条件下,未考虑偶然因素和不可比因素,是企业正常经营的收益。

  b.本次评估的收益预测是以企业现实存量资产为出发点,并考虑存量资产的合理改进,未考虑新的产权主体超常行为等因素对企业正常收益的影响。

  c.本次评估的收益预测是建立在北京润丰房地产开发有限公司历史经营成果审计结果的基础上,结合企业提供的预期收益预测和我公司调查搜集到的有关信息资料,运用适当方法进行评估。

  d.北京润丰房地产开发有限公司提供的以前年度的经营资料和未来收益预测资料。

  D、评估模型

  本次评估采用分段的自由现金流折现模型,即把未来分为可以相对准确预测的收益期和预测期后的永续期。根据自由现金流折现模型的要求,以及收集的北京润丰房地产开发有限公司对未来收益预测资料等具体条件,评估人员以未来3年作为预测期,第4年及以后为永续期。

  具体计算公式为:

  a、自由现金流=息税前利润(1-所得税率)+折旧及摊销-资本性支出-营运资金增加额

  ■

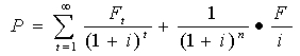
  b、自由现金流现值

  式中:: Ft—第t 年的全投资自由现金流;

  i—折现率;

  F—第n 年以后的等额永续现金流;

  n—准确预测年期,本次评估n 为3年。

  c、企业整体价值=自由现金流现值+溢余资产价值+非经营性资产价值

  d、股东全部权益价值=企业整体价值-有息负债价值

  3、评估增值的原因分析

  (1)流动资产增减值变动情况分析

  流动资产中有增减值变动情况的科目见下表:

  ■

  主要的变动原因如下:

  应收账款和其他应收款的评估增值是由于坏账准备评估值为零导致;

  预付账款中大部分为存货涉及的预付工程款,此次存货评估值已包含全部工程成本,预付工程款评估为零,导致预付账款评估减值;

  存货增值原因:此次存货以完全成本为基础,按照评估基准日的售价进行评估,其中包含了所有工程成本、预计可实现的部分利润及由于土地使用权增值带来的增值收益,因而评估增值。

  (2)非流动资产增减值变动情况分析

  非流动资产中有增减值变动情况的科目见下表:

  ■

  主要变动原因如下:

  长期股权投资增值原因:由于企业长期投资账面余额反映的是初始投入资本,本次评估按照被投资企业评估后的净资产确定股权现值,因而发生评估增值。

  投资性房地产增值原因:本次对于投资性房地产的评估是基于投资产生的净收益折现计算出的评估值,而企业账面值核算的只是企业建设成本,致使评估增值。

  车辆评估增值原因:由于企业车辆计提折旧年限与评估确定的综合成新率的标准不同造成评估增值。

  电子设备减值原因:电子设备市场价格变化较大。

  三、润丰房产的经营情况

  (一)业务流程公司房地产开发业务的简要流程如图:

  ■

  (二)主要经营模式

  1、业务模式

  润丰房产及其下属公司目前主要采用独立开发的模式,独立购置土地,独立进行房地产开发。项目规划、设计、销售、管理由公司负责,项目工程施工通过招标的形式对外出包给施工单位,由工程部组织管理。

  公司开发部主要负责项目前期准备工作,包括研究政府土地规划、进行市场调研、编制项目可行性分析报告、办理政府部门相关许可等;公司规划部主要负责项目设计,包括施工设计、环境设计、装饰设计等;公司工程部主要负责项目施工管理,包括选择施工单位和监理单位、采购建筑材料、办理竣工验收手续等。

  2、采购模式

  润丰房产经营中所需原材料主要是建筑材料及设备,主要的建筑材料有钢筋、水泥、建筑装饰材料、园林绿化材料等;设备有电梯、消防设备、通风与空调设备等。公司建筑材料及设备采购主要包括以下两种方式:

  (1)由公司直接从生产企业采购电梯、通风与空调设备、消防器材等设备。为了确保质量,公司采取准入制度,专家组对生产厂家产品进行技术论证,合格后作为入围单位参与本公司组织的招标,评委对该等产品进行综合评价后确定具体厂家,签订协议,建立战略合作伙伴关系。

  (2)由施工单位按建造合同经公司审查认可后采购钢筋、水泥等建筑材料。为了确保质量,公司与施工单位、监理单位三方共同对厂家进行考察,对材料设备的质量标准进行严格审核,确保产品的适用性,监督施工单位通过招标方式确定具体产品。

  3、销售模式

  润丰房产采用自主销售及委托代理二种方式销售,由公司的销售部负责。具体的销售策略为:在项目现场建造独立卖场来营造良好的销售环境,建造样板示范房让客户更直观地了解产品。公司多采用分期销售的方式。首期通过推广树立良好的市场口碑及品牌形象,在市场中树立高品质独特的市场形象,同时前期入市产品通过较具竞争力的价格,以形成市场效应、聚集人气为主要目标;中、后期主要以巩固竞争优势,及不断呈现新的产品形态为目标,进一步扩大楼盘影响,进而实现持续销售。

  公司选择的代理合作方易居中国(控股)有限公司,是国内唯一家在美国纽约证券交易所(NYSE)上市的销售代理公司。

  4、物业管理模式

  公司通过招标的方式选择物业管理公司签订前期物业管理服务合同,在项目的开发及业主委员会成立之前,物业公司对所开发物业提出优化方案,并提供专业的物业服务;待业主委员会成立后,再由业主委员会选择物业管理公司进行管理。

  5、主要融资方式

  润丰房产目前开发房地产项目的主要融资方式为银行及信托等金融机构的贷款。

  (三)开发资质、技术人员和新技术

  1、开发资质

  润丰房产已获得中华人民共和国住房和城乡建设部颁发的房地产开发企业一级资质证书,证书编号为建开企[2009]854号,证书有效期为2009年5月14日-2012年5月14日。

  润丰房产及其控制的子公司及能够实施重大影响的联营公司共计9家(包括润丰房产自身,详细情况见本节\一 润丰房产总体情况\(四)控股和参股的企业情况)。除锦绣年华、世纪金典和边城大地三家公司的资质证书尚在办理过外,其余各公司的持有的房地产开发资质证书情况如下:

  ■

  2、专业技术人员

  润丰房产(不含子公司)现有在册员工154人,其中包含建筑工程类专业技术人员53人,财务类专业人员11人,企业管理专业人员12人,其余各类人员78人。在专业技术人员中具有高级职称的有4人,中级职称的有15人。

  3、公司开发建设中采用的新工艺和新技术

  润丰房产在项目建设过程中,严格执行建设部的有关标准,注重规划和建筑设计创新,大量采用了先进成熟的住宅新技术、新工艺、新材料和新设备,大大提高了房屋的安全、卫生、实用、节能、环保和舒适性能,提高了房屋的使用和工程质量,大大改善了居住质量。

  以公司开发的润枫水尚项目为例,设计规划方面,注重人与自然的融合,体现西化浓厚特色和国际化街区式风格,园林设计上也大量运用自然元素,不见过多的人工雕琢;建筑结构方面,采用了全地下室的结构形式,有效地利用土地资源并真正做到人车分流;节能环保方面,采用外挂花岗岩石材技术再配合分户计量和温控的采暖方式,使保温系数大大提高,在公共区域大量使用节能灯具;智能化方面,建立了集楼宇可视对讲、家庭防盗报警、家用电器控制、计量表数据采集、小区周界防越报警、保安巡更管理、小区电视监控、小区设备监控、地下车库智能化管理和物业管理为一体的高度集成化的控制网络系统。

  (四)经营管理体制及内控制度

  1、房地产开发项目的决策程序

  (1)项目信息搜集和初选

  通过各类渠道得到建设项目(含建设用地的土地)的信息,由开发部进行归纳整理,并根据区域和性质分类备案。

  开发部根据搜集的信息,综合分析项目位置、周边环境、市场前景、销售群体、投资估算等因素,产生初选项目。

  (2)项目可行性研究

  初选项目由开发部提出开发的初步意见提交公司领导和相关部门初审。在开发部分管副总经理的主持下,开发部会同规划部、工程部、行政部、财务部等相关部门,通过对项目的现场考察及市场调研,结合公司运作的实际情况,进行可行性论证,出具可行性研究报告。

  (3)项目审核

  项目可行性研究报告完成后,呈报公司领导讨论。总经理召开总经理办公会议,对可行性研究报告进行分析,确定具体方案,并上报董事会、股东大会,由公司董事会、股东大会决定是否进行实质操作。

  2、开发项目管理架构的设置

  润丰房产制定了详细的项目开发管理程序,通过科学的项目管理架构,控制开发项目各个环节的衔接以及相关部门的配合,确保项目开发有序进行。

  董事会、股东会做出开发决策后,由总经理负责实施。公司项目开发多采取项目公司制,各相关部门配合项目公司实施该项目开发。各部门按项目分工,指定专人或小组负责各项具体的工作。

  3、公司质量控制体系

  润丰房产结合多年的房地产项目建设经验,开发项目的质量管理体系涵盖工程管理、计划管理、档案管理等各个环节。通过对整个开发建设过程中每个环节实行质量审核和评价,对客户实行质量保证和承诺,打造了公司在客户和行业中的信誉度。

  (1)对施工单位的质量考核办法

  在签订施工合同时,公司与施工单位约定详细的质量保证条款,包括对工程质量等级的要求,出现质量不符和质量争议时的解决方法,检查和验收的方式,并约定施工单位根据要求随时提供有关工程质量的技术资料等。施工单位中标后向公司提供履约担保,对其工程施工质量进行有效约束;在质量保修期间预留工程结算价款的5%作为质量保证金,待质量保修期内不发生质量问题再退还施工单位。公司对施工单位的质量考核主要是按双方约定的质量条款进行,穿插以一定的检查,发现质量问题随时要求进行返工和重修。

  (2)采用新材料、新工艺的质量控制办法

  公司是否采用新材料、新工艺主要取决于以下因素:是否能保证或提高工程质量;是否明显优于旧材料或旧工艺;是否能节约成本或缩短工期。在选择新材料的供应单位时,主要考虑其供货能力能否符合工期要求,产品质量是否符合国家标准,是否具有大型工程实践经验,是否能提供便利及优质的售后服务。在使用过程中,一旦发现新材料、新工艺对工程有不良影响,必须立即停止使用,查实原因。

  (五)具体业务的运行情况

  1、勘察测绘单位的选择方式

  润丰房产通过工程勘察招标,择优选择勘察测绘单位。严格按照《建设工程勘察设计市场管理规定》和《建设工程勘察设计管理条例》等执行和监督勘察测绘工作的进行,最重要的是保障勘察数据的真实性和准确性。招标中,润丰房产会选择若干家资信良好的勘察单位进行综合考察和审查,并填写考察报告。然后通过邀请招标的形式确定勘察单位。

  目前,润丰房产主要合作的勘察测绘单位有:中核大地工程总公司、北京航天勘察设计研究院等。

  2、设计单位和设计方案的选择方式

  润丰房产主要采取招标方式选择设计单位。根据项目定位,依据业内信誉与评价、服务质量及以往合作经验,选择合适的候选单位进行招标,再根据一定的测评体系,选定设计单位。

  公司根据项目的具体情况和市场调查提出《设计任务书》,要求设计单位按照任务书和国家、地方规范以及规定进行设计。公司组织自身的技术人员或外聘专业人士组成专家组进行方案评审。设计方案评审的主要标准是设计依据是否符合规定,各项设计、经济指标是否符合规划条件;设计能否达到《设计任务书》的要求;总图布局是否合理;建筑平面布置、外立面是否满足功能需要;结构选型是否先进、合理、经济等。必要时,公司有权要求设计单位修改设计方案。

  目前,润丰房产主要合作的设计单位有:北京华咨工程设计公司、北京环洋世纪国际建筑顾问有限公司等。

  3、建筑施工单位的选择及管理

  润丰房产主要采用招标的方式来选择工程施工单位,保证每个施工单位都是具有相应资质并经国家建设主管部门认可注册的单位。对政府规定要求进入招标交易中心的标的,公司招标领导小组委托有资质的招投标代理机构组织招标工作,并严格根据招标法规定的程序进行操作和指派评标专家,接受相关部门的监督。对政府规定不需要进入招标交易中心的标的,采用邀请招标或议标两种方式进行,并由公司的招标领导小组负责相关活动。

  公司通过监理单位、质量监督站等单位的协助监理,对施工单位进行施工阶段质量、进度控制、文明施工、安全生产等方面的管理和监督,以保证开发项目工期、质量、品质和效益等各项指标的实现。

  目前,润丰房产主要合作的建设施工单位有:北京中谷成开发建设有限公司、北京城建五建设工程有限公司、河北省曲阳县第六建筑工程公司、中国建筑第五工程局等。

  4、监理单位的选择方式

  根据《中华人民共和国建筑法》的要求,润丰房产的房产项目的施工都实行工程监理制度。按照招标法及建设部及地方有关建设工程委托监理的规定及文件的精神,聘请或向社会公开招标工程监理单位。

  目前,润丰房产主要合作的监理单位有:北京建工京精大房工程建设监理公司、北京光华建设监理有限公司、北京照普博伦工程管理有限公司、北京吉地四方建设工程顾问有限公司等。

  5、对建筑施工单位的监督管理方式

  润丰房产设立了工程部,主要职责为代表公司对施工单位进行监督和管理。在从事项目管理过程中,工程部检查督促监理对施工单位进行管理和监督,通过对施工单位施工的建筑产品的质量控制和进度监控来达到对施工单位的管理和监督,必要时亲自检查和督促施工单位。工程部按照《中华人民共和国建筑法》、《建设工程质量管理条例》等条文,按照项目施工合同和施工图纸,按照现行建筑工程施工及验收规范和建筑安装工程检验和评定标准,按现行设计与施工规程,通过监理及与监理一道对项目工程从工序质量到分项工程、分部工程、单位工程及整个项目工程质量进行全过程的控制和监督。

  (六)房地产开发项目情况

  截至本报告书摘要签署之日,润丰房产及其控股子公司已完工、在建及拟开发的项目如下表:

  ■

  1、“润枫德尚”项目

  (1)项目基本情况

  “润枫德尚”项目总占地面积1.68万平方米,建设用地规划为住宅。其地理位置位于北京市朝阳区清华东路安立花园北侧,安立路东侧,距奥运村仅800米,住宅及配套设施总建筑面积12.11万平方米。

  (2)项目主要指标

  ■

  (3)土地取得和资格文件

  润丰房产于2003年7月以协议出让方式取得润枫德尚项目全部用地开发权,办理了土地有偿使用手续并付清地价,依法取得该土地使用权。

  本项目取得了房地产开发所需的所有资格文件,主要包括:

  ■

  (4)项目经营模式

  该项目由润丰房产自主开发和经营。

  (5)施工单位

  该项目由北京华咨工程设计公司设计,由北京中谷成开发建设有限公司施工,由北京建工京精大房工程建设监理公司监理。

  (6)工程进度和销售情况

  该项目于2002年12月开工,2003年4月开始预售,2004年12月已经竣工交付使用。

  2、“润枫水尚”项目

  (1)项目基本情况

  “润枫水尚”项目总占地面积12.20万平方米,建设用地为住宅和商业。其地理位置位于北京市朝阳区姚家园113号,东四环和东五环之间,住宅及配套设施总建筑面积41.02万平方米。该项目地块中间有一条规划市政路,将地块分割成西区(C-09地块)、东区(C-12地块)两个部分。

  (2)项目前景

  该项目处于北京市整体规划的东部发展带内,“两轴-两带-多中心”的格局引导本项目所在区域未来的发展方向。整个东部区域中,西起东大桥路,东至西大望路,南至通惠河,北至朝阳北路的区域已经明确定位为中央商务区,大量的商务活动、密集的人流,需要大片的腹地区域为之提供住宅配套,成为未来的“中心居住区”。“两轴-两带-多中心”的格局使朝阳北路沿线区域成为众人关注的热点,也使该项目所在的区域一跃成为北京未来的中心居住区之一。

  目前本区域房地产产品不断多样化,住宅类产品档次多样,住宅物业的底层商业物业不断涌现,办公类物业也有写字楼和商住两用物业等不同的产品形式。本区域已经由早期的单一居住区向综合类物业区域方向发展,但住宅类物业仍是该区域的主导产品,并正在向中端及以上产品方向发展,产品档次逐渐提升。因此,该项目具有极好的发展前景。

  (3)项目定位

  该项目的目标市场定位于区域内缺乏的高品质中低价位的住宅需求市场,突出该项目的高性价比。

  由该项目的市场定位、周边项目的客户分析以及该项目的地理位置、城市规划指导方向等因素,该项目的自住型客户主要定位于:北京市各类企业管理和技术人员、外地企事业单位派驻北京人员、个体工商主,机关干部职工。(4)项目主要指标

  ■

  注1:教育用地为代征代建用地,项目实际《土地使用权证》面积合计为121,959.60平方米。

  注2:总建筑面积中扣除代建面积后的项目建筑面积为410,228平方米。

  (5)土地取得和资格文件

  润丰房产于2005年11月以招拍挂方式取得润枫水尚项目用地开发权,办理了土地有偿使用手续并付清地价,依法取得该土地使用权。

  本项目取得了房地产开发所需的所有资格文件,主要包括:

  ■

  (6)项目经营模式

  该项目由润丰房产自主开发和经营。

  (7)设计、施工、监理单位

  该项目由北京环洋世纪国际建筑顾问有限公司设计,由北京城建五建设工程有限公司、河北省曲阳县第六建筑工程公司、北京中谷成开发建设有限公司、中国建筑第五工程局施工,由北京光华建设监理有限公司、北京照普博伦工程管理有限公司、北京吉地四方建设工程顾问有限公司监理。

  (8)工程进度和销售情况

  该项目于2005年12月份开工建设,截至本报告书摘要签署之日,本项目已全部竣工验收,合计完成建筑面积42.3万平方米(不含景观建筑)。目前,项目已完成销售面积23.96万平方米,尚余3.62万平方米未售,计划于2010年底前完成全部销售工作。

  3、“晨光家园A1#”项目

  (1)项目基本情况

  晨光家园A1#项目(推广策划名称:润枫嘉尚)规划建设用地位于北京市朝阳区,西起十里堡路,东至晨光家园一路,南起朝阳北路,北至壁板厂小区环路。用地性质为商业金融,总用地面积10,508.4平方米。

  (2)项目前景

  朝阳区是北京市面积最大和人口最多的城区,商务功能的发达是区域经济最显著的特点,而城区下辖的奥运村和CBD的长远规划又提供了可持续发展的原动力,因此商务、外事和体育所集合而成的强大的均衡性和实力性是区域强大竞争力的核心所在。

  朝阳区青年路及沿线板块紧邻CBD区域,随着CBD区域的功能成熟而不断发展。由于该区域近年的规模性开发和周边道路交通条件的不断改善,已逐渐成为京城最具知名度的大规模开发区。2008年随着CBD继续东扩,朝阳北路已被定位为朝阳区“财富大道”。未来受益于轻轨六号线交通网络的建设,中央电视台的东移,朝青板块将更迅速的聚集多项复合功能的项目,形成北京东部商务居住中心区,因此该区域商住地产有持续向好趋势。

  (3)项目定位

  晨光家园A1#项目(推广策划名称:润枫嘉尚)是润丰房产即将在北京市朝阳区推出的又一最具代表性项目。塔楼部分的物业产品以精装修小户型的酒店服务式公寓组成,每单元建筑面积在27~57平方米之间。主要目标市场为年轻的初次置业者和部分投资置业者。

  (4)项目主要指标

  ■

  (5)土地取得和资格文件

  润丰房产子公司润丰宏业于2008年1月以招拍挂方式取得晨光家园A1#项目(推广策划名称:润枫嘉尚)土地使用权,办理了土地有偿使用手续并付清地价,依法取得该土地使用权。本项目取得了房地产开发所需的所有资格文件,主要包括:

  ■

  (6)项目经营模式

  该项目由润丰房产控股子公司润丰宏业自主开发和经营。

  (7)设计、施工、监理单位

  晨光家园A1#项目(推广策划名称:润枫嘉尚)由北京市建筑设计研究院设计,效果图和园林景观设计单位为北京华忧筑程建筑设计咨询有限公司,由北京城建五建设工程有限公司建设施工,由北京中外建工程管理有限公司监理。

  (8)工程进度及销售情况

  截至本报告书摘要签署之日,晨光家园A1#项目(推广策划名称:润枫嘉尚)已经完成地基基坑工程的施工,主体结构已完成六层施工,工程预计于2009年7月中旬完工,室内初装修工程预计于2009年10月下旬完成。目前项目已按销售计划完成销售1.58万平方米,尚余1.09万平方米可售面积,预计于2009年底完成项目的全部销售。

  4、“大兴旧宫”项目

  “大兴旧宫”项目位于北京市大兴区旧宫镇西广德地段,总占地面积58,921平方米,总建筑面积123,734平方米,已经签订国有土地使用权出让合同,具体情况请见下表:

  ■

  该项目的开发主体为润兴伟业。截至本报告书摘要签署之日,润兴伟业已经取得大兴旧宫项目的环境影响评价批复、立项批复、建设用地规划许可证,其他开发建设手续正在办理中。施工建设工作计划于2009年中期开始,至2010年底全部竣工。

  2008年3月11日,润丰房产与北京市国土资源局签订京地出[合]字(2008)第0148号《北京市国有土地使用权出让合同》。根据上述合同,北京市国土资源局向润丰房产出让一宗土地使用权,出让方式为挂牌,宗地位置为北京市大兴区旧宫镇西广德住宅项目,出让面积为58,921平方米,规划用途为居住用地、可兼容配套设施。2009年1月22日,润丰房产、润兴伟业与北京市国土资源局签订《补充协议》,将上述出让合同的受让方变更为润兴伟业。

  2008年10月14日,北京市规划委员会核发2008规(大)地字0019号《建设用地规划许可证》,同意润丰房产在大兴区旧宫镇建设住宅项目,用地面积为58,921平方米。2009年4月27日,北京市规划委员会核发2009规(大)地字0018号《建设用地规划许可证》,将该项目的用地单位变更为润兴伟业。

  (七)经营策略

  润丰房产作为一家中型房地产开发企业,通过精致化的产品和差异化的竞争策略来建立自身的竞争实力,通过灵活的企业运营策略控制风险,赢得发展机遇。

  1、客户策略

  与自身市场定位相适应,润丰房产的主要消费群体为具有良好教育的中等收入阶层。主要包括:国有企事业单位、民营和外资企业的管理人员和白领阶层、个体从商人员、外地来京置业人员等。这些客户具有以下特点:大多具有良好的文化教育背景,有一定的文化品位,对事物有独到的见解,有理性;注重居家舒适和交通便利,对社区整体形象、生活配套和物业服务有较高的要求;看重所购物业的品质以及保值和升值潜力。

  准确的市场定位并推出适销对路的产品是润丰房产近年来快速发展的基石之一。在项目开发和策划过程中,润丰房产一直理性的执行自身的市场定位策略,通过充分的市场调研、结合地块的地域特点确定目标客户;并结合潜在客户的需求和偏好,整合各设计草案的优势和亮点,力求形成完美方案。

  以“润枫水尚”项目为例,项目选址位于北京市规划的“两轴-两带-多中心”格局的东部发展带内,受惠于中央商务区的逐渐完善,东部发展带内的朝阳北路沿线地段将成为为中央商务区提供休闲娱乐和住宅配套服务的“腹地区域”。润丰房产针对上述功能定位,确立了以中资、外资中层职员和管理人员、个体从人员为主要客户群,以机关干部和公务员为辅助客户群的客户定位,并且依据对客户的需求调查,规划了以低建筑密度和注重景观为特点的整体项目方案,以此为基础的户型设计也充分考虑了产品的内在品质和环境和谐度,最大程度为目标客户提供舒适和精致的物业。

  公司另一在建的晨光家园A1#项目(推广策划名称:润枫嘉尚)项目同样位于东部发展带内的朝阳北路沿线,该项目以精致的中小户型物业为主,主要针对初次置业者和部分以中小户型为置业目标的投资者。项目规划设计与市场定位与“润枫水尚”形成鲜明的对比,体现了层次化的客户策略。即减少同一区域内两个项目间的直接竞争,又提高了市场覆盖度,为客户提供了有选择性的产品。

  2、产品策略

  润丰房产以“精致房产”为市场定位,采取精细、专业、关注细节、人性化的产品设计理念,同时,充分发挥房地产企业的资源整合能力,从立项前的调研到建筑方案设计,从工程招标到现场施工管理,从营销策划到销售及物业管理,在业务流程的各个环节,严格控制质量,力图在可靠的成本预算下为客户倾心打造适中价位、高性价比的精致住宅。

  润丰房产一贯注重产品品质,从规划设计到项目建设,注重细节力求打造优质产品。在设计方面以产品精致著称,得到消费者的高度认可。例如:通过降低建筑密度以突出小区景观设计;户型设计充分考虑居民生活习惯;重视产品的内在品质和与环境的和谐度等。以“润枫水尚”项目为例,项目用地中包含一块市政绿地,润丰房产将其改建成街心水榭,充分利用空间,给小区及附近的居民提供了自然和谐的休闲环境。“润枫水尚”项目三期的产品内部装修设计细腻典雅,全部采用大理石材料,空间开阔舒适,室内光线柔和明亮,极大地满足了消费者对于高品质生活的需求。公司还聘请了高力国际等著名物业管理公司作为物业管理顾问,以期为业主提供更为周到完善的服务。

  润丰房产将设计方案的综合优化与项目施工的严格管理、精益求精的物业管理和售后服务紧密结合,并已在公司产品中已逐步规范化和标准化。同时,润丰房产将销售、物业环节收集的需求、意见整合至客户需求信息中,并结合运用于公司的各个项目之中。对产品品质的不懈追求,使产品具有较强的市场竞争力。

  润丰房产的产品以建设精致物业为目标,已取得了初步的市场声誉和品牌。润丰房产在北京市场的首个项目“润枫德尚”被评为“北京优秀楼盘推荐”优秀规划及户型设计楼盘。另一在北京市场具有代表性的项目“润枫水尚”项目被评为“2006年度北京最佳建筑品质楼盘”、“2007年度北京最具区域影响力住宅”,并被中华人民共和国建设部和中国国际城市建设案例研究委员会评为“城市绿色节能环保国际化社会开发项目”。

  3、营销策略

  在多年对房地产行业市场现状和发展趋势的研究的基础上,润丰房产通过专业的营销团队,多渠道的营销网络以及塑造品牌美誉度来构建自身的营销策略,利用网络销售和合作销售等创新性的销售模式,围绕品质高尚和建筑精致的理念开拓营销工作。在运作方面,润丰房产关注以下几个方面的具体工作:

  首先,是营销团队的建设,于2004年12月竣工的“润枫德尚”项目是润丰房产在北京市场推出的首个楼盘,润丰集团抽调有经验的营销管理人员组成核心团队,通过招募新人和内部培训逐步形成营销队伍的骨干。这支队伍的大部分骨干力量目前已经投入到“润枫水尚”项目的营销工作中,并且还在参与完善晨光家园A1#项目(推广策划名称:润枫嘉尚)的营销策划工作。

  其次,是构建品牌和传播渠道管理,润丰房产将企业名称中的元素作为品牌的主要符号元素,并在开发的项目中延续性的使用类似的符号标识作为推广策划名称,如:“润枫德尚”、“润枫水尚”、“润枫嘉尚”等,随着开发项目的增多,品牌的知名度得到提升。润丰房产又通过精致化的产品将品牌美誉度的提高与产品和服务品质联系起来,形成以品牌为纲领,以产品和服务品质为内涵的品牌文化,并将这种理念推向市场。润丰房产在得到消费者对产品认可的同时,也获得对品牌的认可。在传播渠道管理方面,润丰房产通过网络媒体、纸质媒体和户外媒体等立体的传播渠道扩大宣传覆盖范围。同时又进行有针对性的宣传,近期,润丰房产在《中国之翼》等航空纸质媒体中刊登了大篇幅的广告,此类杂志的接触者和阅读者基本包含在润丰房产可能的客户群中。

  最后,是架设营销网络,探索自己的销售模式,除团队建设外,润丰房产还通过与自身有合作关系的公司联合开展销售工作,利用合作公司的网络扩大营销接触范围。在自己购建的网络内进行持续性的营销活动,例如在“润枫德尚”的销售现场已经开展了“润枫水尚”和“润枫嘉尚”的宣传活动,为新项目的营销推介打下基础。

  4、定价模式和销售理念

  润丰房产以“市场比较法”为基础,以同区域的同类型产品市场价格为参照,结合公司所预期的楼盘销售速度,主动推行价格竞争策略。在同档次住宅物业的销售中适时适量地降低单位售价。此举极大的缩短了产品销售时间,增加了企业的资金流动性,降低了企业整体财务费用;同时,在国家以紧缩性宏观政策调整为主的时期,这种以低收益为特征的销售模式降低了企业的经营风险,保持了企业资金链的完整,还在一定程度上保证了产品的销售规模,维持盈利水平稳定。

  利用自身的营销网络和合作关系,润丰房产长时间的积累区域市场内的物业价格信息,汇总整理后形成具有参考意义的资料。通过资料分析,不定期的调整产品价格,保证最优的合理盈利,并通过灵活的价格策略保证适度的销售节奏。同时,根据其他项目的开发进度,整体安排项目的销售计划,降低资金营运的风险。目前在售的“润枫水尚”三期就是通过合理的价格分析和销售策略,显示出明显高于区域内其它楼盘的销售节奏。

  除此之外,润丰房产还利用资料内容定期对营销管理者和一线销售队伍进行培训,及时有效地将必要的价格调整信息和控制步调传达到每位相关人员手中。正是理念的一致和信息的畅通,使润丰房产在主动推行价格竞争策略中,能够较好地保证盈利,控制销售速度。

  5、财务管理策略

  润丰房产从行业特点和公司战略出发,制定了“稳健优先,兼顾效益”的财务管理策略,将企业资产的流动性放在首要位置,根据项目开发进度、拟订的预售计划及项目整体融资方案,详细规划资金预算,时刻使开发、运营与销售等各个环节紧密结合,掌控收支平衡,提高资金流动速度,从而达到在安全稳健的前提下提高资金使用效率。

  在项目开发运营过程中,除了公司层面统一、完备的财务管理制度外,润丰房产会根据项目整体规划,在项目的各个阶段对资金进行项目化的管理。为了实现这种管理方法,润丰房产先后通过采购用友公司等知名IT服务公司的产品和服务,实施控制方式的信息化。通过先进的信息技术在日常管理中的运用,达到将资金流、信息流与开发过程等更好的结合。

  在项目的开发阶段,润丰房产将融资计划的落实作为工作重点,通过专人专事配合开发进度,详细安排资金流入流出,采用长期融资与短期融资相搭配的方式,合理控制财务费用。同时,根据需要,争取融资方的各种支持。在开发至预售阶段,润丰房产将资金划付作为工作重点,资金划付实施额度授权管理,保证了资金安全,提高支付效率。在预售及销售期间,工作重点转向预售款和销售款的管理,配合营销策略,提高资金回收速度,从而达到提高存货周转率与降低财务费用的财务目标。

  经过多年的发展,润丰房产已经培养一批高素质高效率的财务、资金管理人员,充分做到内外部沟通顺畅,保证关键财务目标的实现。由于房地产行业的周期性波动和政策性波动较为明显,行业整体呈现投资见效周期较长,单个项目的现金回流与投入相比存在时间不匹配性,产生资金链断裂的风险较大等特征。润丰房产将这种行业风险控制作为企业经营发展的首要目标,健全资本金制度,充分保证公司现金回笼速度,确保企业的稳健运营。在资金安全的基础上兼顾合理回报。

  6、土地储备策略

  土地储备是房地产企业实现可继续发展的资源基础,适量、适度、成本合理的土地储备是房地产企业持续盈利的前提,但是,一味追求土地储备的数量,并不利于企业自身的健康发展,反可能增加企业的成本和资金压力,严重的还会造成资金链断裂,出现破产的风险。因此,润丰房产在土地资源问题上遵循合理控制成本,稳健、适度储备,及根据宏观形势适时调整的储备原则。

  2006至2008年房地产市场处于异动状态,且房地产开发土地招拍挂价格十分高昂,润丰房产经过反复论证,在当时地产界储备土地热情高涨的态势下经过科学的论证作出谨慎开发的决策,没有过多参与高价招拍挂拿地,此举有效地控制了润丰房产现有开发土地的成本,并保证了润丰房产在2008年和2009年房地产市场处于低谷时能够顺利运营并成功盈利,同时为下一步获取较廉价的土地储备赢得了宝贵的时间和现金支付能力。

  目前,润丰房产在售和开发项目为“润枫水尚项目”、“润枫嘉尚项目”、“大兴旧宫项目”等(总剩余可售面积约26万平方米),其盈利水平完全能够实现润丰房产未来三年(2009年、2010年、2011年)盈利预测的目标,并为2009年后进行战略性土地储备打下坚实的基础。

  经过对2006年以来房地产市场走势和政策趋势的观察和研究,润丰房产认为至2009年底或2010年初房地产市场能走出低谷。基于这样的判断,且润丰房产拥有充足的现金流,润丰房产认为2009年下半年是进行新一轮土地储备的最佳时机,并决定从2009年下半年开始加大新的土地储备力度和进程。事实证明,目前通过正常招拍挂程序获取土地的价格和成本已经大幅度降低,而且各主要城市的招拍挂土地无论在价格或质地上都有丰富的选择。

  润丰房产的策略是不追求短时间内大规模、不顾实力的土地储备,而是根据发展需要和对整个市场动态以及土地供应的形势做出正确分析判断的基础上,来制定符合企业自身条件的土地储备策略,保持充足的现金流。润丰房产在进行土地储备前,会结合地价进行深入的成本测算和经济性分析,通过合理的指标体系,进行合理地价的土地储备,对于超出经济性指标的,即使其他条件再好,也坚决不会储备,坚决规避系统财务风险。

  在综合判断的基础上,通过对重点城市综合分析,润丰房产将在年底前选择出符合自身开发特点的用地,预计再增加可储备的建筑面积50万平方米以上。

  7、规模策略

  润丰房产采取适度控制开发规模,不以大规模为发展取向,并致力于通过产品精致化、定位特色化、竞争手段差异化来扩展自身的市场发展空间,通过个案积累逐步树立自身的品牌效应。

  润丰房产在项目安排中注重将自身的资源存量和外部资金的调配节奏结合起来,通过适度收益快速滚动的模式谋求发展。在开发决策上,润丰房产会根据项目的投入、经济效益和营运安全性综合考量后安排项目的开发顺序,规模适度的项目往往会优先开发。因此,在润丰房产在建和拟建的项目列表中会有大用地面积项目和小型用地面项目交错出现的情况。晨光家园A1#项目(推广策划名称:润枫嘉尚)项目的开发即是在投入规模和营运安全的评估后作出的。

  润丰房产的这种项目开发规模适度控制的特点在同一项目中也有体现,以“润枫水尚”为例,项目共分三期,三期楼盘的外立面设计较为近似,但是户型的设计和内装修差异较大,户型和内装修的重复率很低,充分体现了精致的产品理念和独特的差异化竞争思想,决不出现同一设计大规模复制开发的情况。

  (八)土地储备情况

  截至本报告书摘要签署之日,润丰房产及其子公司拥有的在建项目、拟建项目及待规划建设项目的土地情况如下表所示:

  ■

  桂林润琦项目、东小口镇商业金融项目、世纪金典项目、锦绣年华项目和边城大地项目的正式立项批复尚未取得,项目名称待定,各项目公司土地储备及取得的相关法律文件的情况如下:

  1、东小口镇商业金融项目

  2009年7月8日,润丰房产与北京市国土资源局签署《国有建设用地使用权出让合同》(京地出[合]字(2009)第0287号)。2009年7月27日,北京规划委员会向润丰房产核发[2009规(昌)地字0044号]《建设用地规划许可证》,根据许可证内容,地块总用地面积为29,609.85平方米,建筑面积控制在不高于70,723.53平方米。

  2、桂林润琦项目

  根据桂林市国土资源局核发的桂市国用(2009)第000209号、桂市国用(2009)第000210号、桂市国用(2009)第000211号、桂市国用(2009)第000212号土地使用权证和桂林市建设与规划委员会出具的《关于桂林集琦集团有限公司、桂林集琦药业股份有限公司新建商住项目建设用地规划定点的批复》,桂林润琦名下土地面积为153,333.2平方米,项目建筑面积为不高于213,860平方米。

  3、世纪金典项目

  2009年1月21日,世纪金典与满洲里市国土资源局签署《国有建设用地使用权出让合同》[(蒙)0001025号],2009年3月30日,满洲里市人民政府向世纪金典核发了《国有土地使用证》[满国用(2009)字第000021号]。同日,满洲里市规划局向世纪金典核发了《建设规划用地许可证》[地字第150781200900010号],许可证内容显示,用地面积为103,445平方米,建筑面积控制在不高于144,823平方米。

  4、锦绣年华项目

  2009年1月21日,锦绣年华与满洲里市国土资源局签署《国有建设用地使用权出让合同》[(蒙)0001024号],2009年3月31日,满洲里市人民政府向锦绣年华核发了《国有土地使用证》[满国用(2009)字第000024号]。2009年3月30日,满洲里市规划局向锦绣年华核发了《建设规划用地许可证》[地字第150781200900009号],许可证内容显示,用地面积为126,960平方米,建筑面积控制在不高于177,744平方米。

  5、边城大地项目

  2009年1月21日,边城大地与满洲里市国土资源局签署《国有建设用地使用权出让合同》[(蒙)0001023号],2009年3月30日,满洲里市人民政府向边城大地核发了《国有土地使用证》[满国用(2009)字第000022号]。根据土地使用权出让合同,用地面积为136,298平方米,建筑面积控制在不高于190,817平方米。

  (九)润丰房产执行《国务院关于促进节约集约用地的通知》的专项核查意见

  北京天元作为本次重大资产重组的法律顾问,就润丰房产执行《国务院关于促进节约集约用地的通知》(下称“《通知》”)情况进行了专项尽职调查,具体结论如下:

  润丰房产及项目公司的房地产经营开发用地均以出让方式取得,不存在通过划拨方式取得土地的情形,并已就其房地产经营开发用地按照相关土地出让合同的约定支付土地价款,办理取得相关土地证书的手续,不存在按土地价款缴纳比例分割取得土地证书的情形。经营开发项目用地的取得方式均符合《关于继续开展经营性土地使用权招标拍卖挂牌出让情况执法监察工作的通知》(国土资发(2004)71号)、《招标拍卖挂牌出让国有土地使用权规范》、《协议出让国有土地使用权规范》和《招标拍卖挂牌出让国有建设用地使用权规定》(国土资源部39号令)的规定,不存在违反土地管理法律、法规、规章取得项目用地的情形。

  润丰房产及项目公司经营的房地产开发项目用地均系与有权土地管理部门签署《国有土地使用权出让合同》通过出让方式取得,该等合同约定了规划条件、价款、违约责任等内容。根据润丰房产提供的文件资料及项目公司的承诺、相关规划主管部门出具的证明文件并经本所律师核查,自国办发[2006]37号《国务院办公厅转发建设部等部门关于调整住房供应结构稳定住房价格意见的通知》、建住房[2006]165号《关于落实新建住房结构比例要求的若干意见》颁布实施后,润丰房产上述在建商品住房开发项目符合国办发[2006]37号文、建住房[2006]165号文等文件确定的新建商品住房套型结构比例等的要求。

  根据润丰房产提供的文件资料和承诺,并经核查,润丰房产及项目公司经营的房地产开发项目用地均系国有建设用地,不存在擅自将农用地转为建设用地或通过“以租代征”将农用地转为非农业用地的情形。润丰房产及项目公司的已完工房地产开发项目均依法履行工程竣工验收手续,在建和拟建项目均不存在收到土地闲置认定书或因土地闲置受到处罚的情形。

  (十)业务收入、主要客户和供应商情况

  1、公司的营业收入情况

  润丰房产主要从事房地产开发与销售、物业管理等业务。最近几年已建、在建及拟建项目包括润枫德尚、润枫水尚、晨光家园A1#(策划推广名称:润枫嘉尚)及大兴旧宫等项目,同时在二三线城市开发新项目,进行多区域立体的业务发展。

  润丰房产2007年度、2008年度及2009年1~6月,营业收入分别为87,939.16万元、109,393.78 万元和56,852.50万元,公司发展势头良好,逐步跨入平稳开发,稳定增长的阶段。

  2、公司的原材料供应情况

  公司生产用原材料主要是建筑材料及设备,包括木材、水泥、钢材、电梯、电气设备等,原材料及设备采购主要通过直接采购和代理采购两种方式:

  (1)在直接采购方式中,通过与生产企业建立战略合作伙伴关系,由生产企业将原材料和设备保质保时保量的提供给公司。

  (2)在代理采购方式中,公司与施工单位、监理单位三方共同对厂家进行考察,监督施工单位通过招标方式确定具体产品。原材料的具体供应工作由施工单位负责控制实施,公司通过合理的监督和协助,保证供应的及时可靠。

  3、主要客户和主要供应商情况

  (1)主要客户情况

  由于润丰房产属于房地产开发企业,主要的产品为居民住宅,销售均为随机销售或委托房地产中介机构代理销售,不存在固定的客户,也不存在向单个客户的销售比例超过销售总额50%或严重依赖于少数客户的情况。

  (2)主要供应商情况

  由于润丰房产开发的项目均通过招标委托施工单位进行建设,不存在向单个施工单位支付的工程款的比例超过总额50%或严重依赖于少数施工单位的情况。

  (3)与主要供应商或客户的关联关系

  润丰房产与上述主要供应商或客户不存在关联关系。

  (十一)主要固定资产、无形资产及特许经营权情况

  1、主要固定资产

  润丰房产的主要固定资产包括自行购置的车辆和电子设备。截至2008年12月31日,润丰房产固定资产原值23,841,633.25元,固定资产净值17,318,630.05元。固定资产主要情况如下表所示:

  单位:元

  ■

  2、主要无形资产

  润丰房产的主要无形资产为应用软件。截至2008年12月31日,无形资产净值93,563.96元。具体明细如下表所示:

  单位:元

  ■

  3、商标

  润丰房产现有注册商标1项,具体情况如下:

  ■

  4、特许经营权

  截至本报告书摘要签署之日,润丰房产未拥有任何特许经营权。

  第五节 发行股份情况

  一、发行股份价格及定价原则

  本次发行股份定价原则为,根据《重组办法》第四十二条规定,按不低于本次发行股份购买资产的董事会决议公告日前20个交易日公司股票交易均价确定本次发行价格。公司股票已于2006年5月15日暂停上市,暂停上市前20个交易日公司股票交易均价为2.00元/股(以下简称“基准价格”)。

  在此基础上,本次发行价格确定为2.70元/股(最终以中国证监会核准的发行价格为准),较基准价格溢价35%。

  二、发行股份种类和面值

  本次发行股份的种类为境内上市人民币普通股(A股),每股面值为人民币1.00元。

  三、发行股份数量及占发行后总股本的比例

  本次向特定对象润丰集团和林宝定发行股份的数量总计19,090万股(最终以中国证监会核准的发行数量为准),占发行后总股本的75%,公司总股本增加至254,548,790股。其中,润丰集团以其持有的润丰房产80%的股权认购15,272万股,占发行后总股本的60%,林宝定以其持有的润丰房产20%的股权认购3,818万股,占发行后总股本的15%。

  四、特定对象所持股份的转让或交易限制

  润丰集团及其实际控制人承诺:自发行新增股份登记至其名下之日起36个月内,不转让其认购的上述股份。

  林宝定承诺:自发行新增股份登记至其名下之日起12个月内,不转让其认购的上述股份。

  五、本次发行前后主要财务数据的变化

  根据公司2008年末经审计的财务报表和经审阅的备考财务报表,本次发行前后公司主要财务数据如下:

  单位:元

  ■

  截至审计基准日,从重大资产重组前后炎黄物流主要的财务指标对比可以看出:公司资产规模大幅增加,公司总资产由9,476.28万元增加到265,445.66万元;公司净资产由-6,107.17万元增加到61,457.72万元。公司的资产质量明显提高,资产负债率由重组前的164.45%下降到76.85%。

  从重组完成后的整体绩效看,公司的盈利能力大大提高。公司营业利润由-1,257.30万元增加到23,015.20万元;归属母公司普通股股东净利润由9,076.60万元增加到26,137.49万元,增长了近187.97%。

  六、本次发行前后公司股本结构的变化

  本次发行股份的价格为2.70元/股,共计发行19,090.00万股(最终发行价格、发行数量以中国证监会核准为准)。发行后公司总股本增加至254,548,790股。润丰集团以其持有的润丰房产80%的股权认购发行的股份,获得15,272.00万股,占发行后股本总数的60%;林宝定以其持有的20%润丰房产的股权认购发行的股份,获得3,818.00万股,占发行后股本总数的15%。此次发行完成后,润丰集团及林宝定合计持有公司75%的股权。发行前后的股本结构请见下表:

  ■

  注:上述股本结构为本次发行方案实施后的情况。

  本次交易前,中企华盛持有炎黄物流26.48%的股权,是上市公司的控股股东,实际控制人为曾东江;本次交易完成后,润丰集团将持有炎黄物流60%的股权,成为上市公司的控股股东,实际控制人为陈氏兄弟。本次发行股份将导致上市公司控制权发生变化。

  第六节 财务会计信息

  一、交易标的最近两年一期的财务信息

  南京立信对本次拟购买标的资产2007年、2008年度及2009年1~6月的财务报表进行了审计,并出具了[宁信会审字(2009)第0113号]和[宁信会审字(2009)第0665号]。

  (一)润丰房产合并资产负债表

  单位:元

  ■

  (下转D8版)

放大 缩小 默认
 

版权声明 © 证券时报网 网站版权所有
中华人民共和国增值电信业务经营许可证编号:粤B2-20080118