证券时报网络版郑重声明经证券时报社授权,证券时报网独家全权代理《证券时报》信息登载业务。本页内容未经书面授权许可,不得转载、复制或在非证券时报网所属服务器建立镜像。欲咨询授权事宜请与证券时报网联系 (0755-83501827) 。 |
9只股票上市10年才获基金青睐成为重仓 2012-07-25 来源:证券时报网 作者:李千
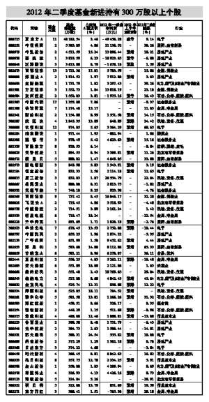
(专题数据由上海聚源数据服务有限公司提供,数据来源于基金公告与上市公司公告,若有出入,请以公告为准,公告截至7月24日。) 2012年基金二季报数据显示,842只个股进入基金前十大,其中,9只个股自1998年公布基金投资组合数据以来,此次二季报首次入选基金重仓股名单,尤其值得关注。 从二季度基金调仓情况来看,基金新进持有216只个股,增持324只个股,减持287只个股,而一季度被重仓、二季度遭抛弃的个股共有203只。股票型基金二季度平均仓位达84.27%,自去年三季度触及82.72%的低点后,仓位已连续3个季度出现上升。 在新进与增持的540只个股中,增仓股数最大的为保利地产,6月末被164只基金交叉持有,比一季末增加46只,二季度基金共计增持44001.33万股,增持比例达29.03%。同属于房地产板块的金地集团与万科A也入选增仓股前十大。金地集团二季度被78只基金重仓,与一季度相比增持28973.5万股,增持比例为42.97%。万科A二季度被200只基金持有,环比增持21591.56万股,增持比例达9.88%。此外,券商股海通证券与中信证券,保险股中国平安均入围前十大增仓股行列。 在二季度基金前十大减仓股阵营中,6只属于银行股,招商银行、浦发银行、民生银行排名前三,分别减持60827.9万股、50722.85万股和44948.49万股。 上市超过10年的1121只个股中,2012年二季度首次入围基金前十大的仅有9只,与之相比,233只个股始终未被基金重仓。 这9只新进个股中,中弘股份被工银瑞信核心价值和工银瑞信主题策略2只基金共同持有,累计持股数4511.59万股,占流通A股的比例达15.24%,排名居首位。该公司归属于二季度基金看好的房地产板块,自2000年上市以来,此次首度入围基金重仓股名单,该股在今年年初至5月在二级市场上有不俗表现,股价展开一轮翻倍走势。 中航动控自1997年上市以来,本次二季报首度入围基金重仓股名单。国泰基金管理公司旗下的国泰双利债券A和民生加银基金管理公司旗下的民生加银信用双利债券A同时将该股列为前十大重仓股,合计持有714.51万股。此外,重庆实业、西南药业等个股虽然基金持股数不足百万,但同样入围前十大重仓股名单。(李千) 本版导读:
|






