第B020版:信息披露 上一版3  4下一版  
 
标题导航
 

我要评报 | 我要订报 | 我来提问 | 我来出题 | 我要投稿

返回首页 证券时报网 版面导航 标题导航 新闻检索

2009年12月5日 星期 放大 缩小 默认
景顺长城公司治理股票型证券投资基金2009年第2号更新招募说明书摘要
基金管理人:景顺长城基金管理有限公司基金托管人:中国工商银行股份有限公司
图1 股票选择流程
景顺长城公司治理股票型证券投资基金 累计份额净值增长率与业绩比较基准收益率的历史走势对比图 (2008年10月22日至2009年9月30日)

  重要提示

  (一)景顺长城公司治理股票型证券投资基金(以下简称“本基金”)由基金管理人依照《中华人民共和国证券投资基金法》(以下简称《基金法》)、《证券投资基金运作管理办法》(以下简称《运作办法》)、《证券投资基金销售管理办法》(以下简称《销售办法》)、《证券投资基金信息披露管理办法》(以下简称《信息披露办法》)、《景顺长城公司治理股票型证券投资基金基金合同》(以下简称“基金合同”或“本基金合同”)及其他有关规定募集,并经中国证监会2008年5月16日证监基金字【2008】707号文核准募集。本基金基金合同于2008年10月22日正式生效。

  (二)基金管理人保证招募说明书的内容真实、准确、完整。本招募说明书经中国证监会核准,但中国证监会对本基金募集的核准,并不表明其对本基金的价值和收益作出实质性判断或保证,也不表明投资于本基金没有风险。

  (三)投资有风险,投资人认购(或申购)基金时应认真阅读本招募说明书。

  (四)基金的过往业绩并不预示其未来表现。

  (五)基金合同是约定基金当事人之间权利、义务的法律文件。基金投资人自依基金合同取得基金份额,即成为基金份额持有人和本基金合同的当事人,其持有基金份额的行为本身即表明其对基金合同的承认和接受,并按照《基金法》、基金合同及其他有关规定享有权利、承担义务。基金投资人欲了解基金份额持有人的权利和义务,应详细查阅基金合同。

  (六)基金管理人依照恪尽职守、诚实信用、谨慎勤勉的原则管理和运用基金财产,但不保证投资本基金一定盈利,也不保证最低收益。

  (七)本基金投资于证券市场,基金净值会因为证券市场波动等因素产生波动,投资者在投资本基金前,请认真阅读本招募说明书,全面认识本基金产品的风险收益特征和产品特性,充分考虑自身的风险承受能力,理性判断市场,对认购(或申购)基金的意愿、时机、数量等投资行为作出独立决策,获得基金投资收益,亦承担基金投资中出现的各类风险。投资本基金可能遇到的风险包括:证券市场整体环境引发的系统性风险,个别证券特有的非系统性风险,大量赎回或暴跌导致的流动性风险,基金投资过程中产生的操作风险,因交收违约和投资债券引发的信用风险,基金投资对象与投资策略引致的特有风险,等等。基金管理人提醒投资人基金投资的“买者自负”原则,在投资人作出投资决策后,基金运营状况与基金净值变化引致的投资风险,由投资人自行负责。

  (八)本招募说明书已经本基金托管人复核。本招募说明书所载内容截止日为2009年10月22日,有关财务数据和净值表现截止日为2009年9月30日。本招募说明书中财务数据未经审计。

  景顺长城公司治理股票型证券投资基金

  一、基金管理人

  一、基金管理人概况

  名 称:景顺长城基金管理有限公司

  住 所:深圳市福田区中心四路1号嘉里建设广场第一座21层

  设立日期:2003年6月12日

  法定代表人:徐 英

  批准设立文号:证监基金字[2003]76号

  办公地址:深圳市福田区中心四路1号嘉里建设广场第一座21层

  电 话:0755-82370388

  客户服务电话:400 8888 606

  传 真:0755-22381339

  联系人:杨皞阳

  二、基金管理人基本情况

  本基金管理人景顺长城基金管理有限公司(以下简称“公司”或“本公司”)是经中国证监会证监基金字[2003]76号文批准设立的证券投资基金管理公司,由长城证券有限责任公司、景顺资产管理有限公司、开滦(集团)有限责任公司、大连实德集团有限公司共同发起设立,并于2003年6月9日获得开业批文,注册资本1.3亿元人民币,目前,各家出资比例分别为49%、49%、1%、1%。

  公司设立了两个专门机构:风险管理委员会和投资决策委员会。风险管理委员会负责公司整体运营风险的控制。投资决策委员会负责指导基金财产的运作、确定基本的投资策略和投资组合的原则。

  公司下设九个部门,分别是:投资部;国际投资部;中央交易室;市场部;机构理财部;法律、监察稽核部;运营部;财务、行政和人力资源部;总经理办公室。投资部负责根据投资决策委员会制定的投资原则进行国内股票及债券选择和组合管理并完成对宏观经济、行业公司及市场的研究。国际投资部主要从事与QDII、QFII等国际业务相关的产品设计、投资管理、国际合作和培训等业务。中央交易室主要负责完成投资部、国际投资部下达的交易指令,并进行事前的风险控制。市场部从事基金产品设计、市场开发及销售、项目管理、客户服务等工作。机构理财部负责机构专户理财业务,开发机构客户,使其认识并了解我公司在企业年金、社保等方面所提供的基金产品及服务。法律、监察稽核部负责对公司管理和基金运作合规性进行全方位的监察稽核,并向公司管理层和监管机关提供独立、客观、公正的法律监察稽核报告。运营部负责公司开放式基金的注册登记、清算和会计工作并负责公司的计算机设备维护、系统开发及网络运行和维护。财务、行政和人力资源部负责公司财务管理、人事劳资管理及日常行政事务管理等。总经理办公室主要受总经理委托,协调各部门的工作,并负责公司日常办公秩序监督、工作项目管理跟进、风险管理控制等工作。

  公司现有员工106人,其中62人具有硕士及以上学历。所有人员在最近三年内均没有受到所在单位或有关管理部门的处罚。

  公司已经建立了健全的内部风险控制制度、内部稽核制度、财务管理制度、人事管理制度、信息披露制度和员工行为准则等公司管理制度体系。

  三、主要人员情况

  1、基金管理人董事会成员

  徐英女士,董事长,北京财贸学院金融系毕业,经济学学士。曾任北京燕山石化总厂研究院车间副主任、党支部书记,北京财贸学院金融系讲师,海南汇通国际信托投资公司副总经理、常务副总经理,长城证券有限责任公司总裁、董事长。

  罗德城先生,董事,毕业于美国Babson学院,获学士学位及工商管理硕士学位。现任景顺集团亚太区首席执行官。曾任大通银行信用分析师、花旗银行投资管理部副总裁、Capital House亚洲分公司的董事总经理。1992至1996年间出任香港投资基金公会管理委员会成员,并于1996至1997年间担任公会主席。1997至2000年间,担任香港联交所委员会成员,并在1997至2001年间担任香港证监会顾问委员会成员。

  许义明先生,董事,总经理,香港大学社会科学学士及香港城市大学金融工程学硕士,曾任职于前美国大通银行香港、台湾及伦敦分行财资部,汇丰银行总行中国环球市场部,历任台湾景顺证券投资信托股份有限公司董事兼总经理,景顺香港大中华区业务拓展总监。2009年8月6日,公司发布公告,经董事会审议通过,并经中国证券监督管理委员会证监许可[2009]694号文核准,聘任许义明先生担任本公司总经理。

  杨平先生,董事,北京大学国际MBA学历。历任北京国际信托投资公司外汇部首席交易员、加拿大蒙特利尔银行北京分行资金部和市场部高级经理、中国人民保险公司投资部投资总监、中国人保资产管理有限公司银行/外汇业务部副总经理、中国人民保险(香港)有限公司投资部总经理、长城证券有限责任公司总裁助理等,现任长城证券有限责任公司副总经理。

  童赠银先生,独立董事,高级会计师,现已离休。曾任民生银行监事会监事长、中国人民银行总行会计司副司长、司长,中国人民银行副行长(副部级),国务院证券委员会副主任兼中国证监会副主席(副部级)、中国民生银行行长。

  伍同明先生,独立董事,香港大学文学士(1972年毕业),香港会计师公会会员(HKSA)、英国特许公认会计师(ACCA)、香港执业会计师(CPA)、加拿大公认管理会计师(CMA)。现为“伍同明会计师行”所有者。拥有超过二十年以上的会计、审核、管治税务的专业经验及知识,1972-1977年受训于国际知名会计师楼“毕马威会计师行”[KPMG]。

  靳庆军先生,独立董事,1982年毕业于安徽大学外语系英语专业,获文学学士,1987年毕业于中国政法大学,获国际法专业法学硕士。现任金杜律师事务所合伙人。曾担任中信律师事务所涉外专职律师,在香港马士打律师行、英国律师行C1yde & Co. 从事律师工作,1993年发起设立信达律师事务所,担任执行合伙人。

  2、基金管理人监事会成员

  黄海洲先生,监事,硕士,毕业于武汉大学。现任长城证券有限责任公司副总经理,曾任深圳新江南投资有限公司副总经理及长城证券有限责任公司监事。曾任招商银行股份有限公司人力资源部经理及工程管理部经理。

  Mr. Dean Chisholm,监事,毕业于London School of Economic,获得学士学位,并取得英格兰暨威尔斯特许会计师机构 (Institute of Chartered Accountants in England and Wales)所颁发的英国特许会计师执照。现为景顺集团亚太区运营部总监。曾任职于景泰资产管理有限公司亚太地区运营部,普华永道会计师事务所(PWC)英国及香港核数师。现在出任Hong Kong Securities Industry Group主席及Omgeo Hong Kong Advisory Board的联席主席。

  吴建军先生,监事,1989年毕业于河南财经学院,获学士学位,1992年毕业于人民银行总行研究生部,获经济学硕士学位。现任景顺长城基金管理公司副总经理兼运营部总监。曾任海南汇通国际信托投资公司证券部副经理,长城证券有限责任公司机构管理部总经理、公司总裁助理。2003年6月加入本公司,任运营部总监。2005年5月起任景顺长城基金管理有限公司副总经理,兼任运营部总监。

  3、其他高级管理人员

  吴建军先生,副总经理,1989年毕业于河南财经学院,获学士学位,1992年毕业于人民银行总行研究生部,获经济学硕士学位。曾任海南汇通国际信托投资公司证券部副经理,长城证券有限责任公司机构管理部总经理、公司总裁助理。2003年6月加入本公司,任运营部总监。2005年5月起任景顺长城基金管理有限公司副总经理,兼任运营部总监。

  宋宜农先生,副总经理,英国雷丁大学国际证券与投资银行硕士。曾任长盛基金管理有限公司市场发展部副总监、总监,光大保德信基金管理有限公司首席市场营销总监。2005年9月加入本公司,任市场总监。2006年2月起任景顺长城基金管理有限公司副总经理,兼任销售营销部(市场部)总监。

  蔡宝美女士,副总经理,英国克兰非尔德大学商学硕士。1997年至2006年在汇丰银行资产管理有限公司台湾分公司担任国际投资部副总裁,兼任基金经理;也曾在摩根富林明投资信托股份有限公司担任研究员职务。加入本公司之前,在香港涌金资产管理有限公司担任投资经理职务;2008年5月加入本公司,任投资执行长。2009年3月起任景顺长城基金管理有限公司副总经理,兼任投资总监。

  4、督察长

  刘焕喜先生,1989年毕业于武汉大学哲学系,获学士学位,1998年毕业于华中农大经贸学院投资与金融系,获博士学位。曾任武汉大学教师工作处副科长、武汉大学成人教育学院讲师、《证券时报》社编辑记者、长城证券研发中心研究员、长城证券行政部副总经理等职。

  5、本基金基金经理简历

  本公司采用团队投资方式,即通过整个投资部门全体人员的共同努力,争取良好投资业绩。本基金聘任基金经理如下:

  邓春鸣先生,复旦大学国际金融学硕士,CFA。7年证券、基金从业经历。曾任职于招商证券,2005年6月加入宝盈基金管理有限公司,历任行业研究员、宝盈鸿利收益证券投资基金基金经理助理。2007年3月加入本公司。

  6、本基金现任基金经理曾管理的基金名称及管理时间

  本基金现任基金经理邓春鸣先生曾于2007年9月15日至2009年8月7日担任景顺长城景系列开放式证券投资基金基金经理。

  7、本基金现任基金经理兼任其他基金基金经理的情况

  无。

  8、本基金历任基金经理姓名及管理时间

  从本基金基金合同生效起至今,邓春鸣先生一直担任本基金基金经理。

  9、投资决策委员会委员名单

  本公司的投资决策委员会由总经理、分管投资的副总经理、投资总监、投资副总监等组成。

  公司的投资决策委员会成员姓名及职务如下:

  许义明先生,总经理;

  蔡宝美女士,分管投资的副总经理,投资总监;

  李志嘉先生,投资副总监。

  10、上述人员之间不存在近亲属关系。

  二、基金托管人

  (一)基金托管人基本情况

  名称:中国工商银行股份有限公司

  注册地址:北京市西城区复兴门内大街55号

  成立时间:1984年1月1日

  法定代表人:姜建清

  注册资本:人民币334,018,850,026元

  联系电话:010-66105799

  联系人:蒋松云

  (二)主要人员情况

  截至2009年9月末,中国工商银行资产托管部共有员工123人,平均年龄30岁,95%以上员工拥有大学本科以上学历,高管人员均拥有硕士以上学位或高级职称。

  (三)基金托管业务经营情况

  作为中国首批开办证券投资基金托管业务的商业银行,中国工商银行始终坚持“诚实信用、勤勉尽责”的原则,严格履行着资产托管人的责任和义务,依靠严密科学的风险管理和内部控制体系、规范的业务管理模式、健全的托管业务系统、强大的市场营销能力,为广大基金份额持有人和众多资产管理机构提供安全、高效、专业的托管服务,取得了优异业绩。截至2009年9月,托管证券投资基金131只,其中封闭式8只,开放式123只。至今已形成包括证券投资基金、信托资产、保险资产、社保基金、企业年金、产业基金、QFII资产、QDII资产等产品在内的托管业务体系。2009年初,中国工商银行先后被《环球金融》、《全球托管人》、《财资》和国内证券类年鉴《中国证券投资基金年鉴》及《证券时报》评选为2008年度“中国最佳托管银行”,自2004年以来,中国工商银行资产托管服务已经获得18项国内外大奖。

  (四)基金托管人的内部控制制度

  中国工商银行资产托管部自成立以来,各项业务飞速发展,始终保持在资产托管行业的优势地位。这些成绩的取得,是与资产托管部“一手抓业务拓展,一手抓内控建设”的做法是分不开的。资产托管部非常重视改进和加强内部风险管理工作,在积极拓展各项托管业务的同时,把加强风险防范和控制的力度,精心培育内控文化,完善风险控制机制,强化业务项目全过程风险管理作为重要工作来做。2005年,中国工商银行资产托管部一次性通过了评估组织内部控制和安全措施是否充分的最权威的国际资格认证SAS70(审计标准第70号),成为国内首个通过此认证的托管银行。

  1、内部风险控制目标

  保证业务运作严格遵守国家有关法律法规和行业监管规则,强化和建立守法经营、规范运作的经营思想和经营风格,形成一个运作规范化、管理科学化、监控制度化的内控体系;防范和化解经营风险,保证托管资产的安全完整;维护持有人的权益;保障资产托管业务安全、有效、稳健运行。

  2、内部风险控制组织结构

  中国工商银行资产托管业务内部风险控制组织结构由中国工商银行稽核监察部门(内控合规部、内部审计局)、资产托管部内设风险控制处及资产托管部各业务处室共同组成。总行稽核监察部门负责制定全行风险管理政策,对各业务部门风险控制工作进行指导、监督。资产托管部内部设置专门负责稽核监察工作的内部风险控制处,配备专职稽核监察人员,在总经理的直接领导下,依照有关法律规章,对业务的运行独立行使稽核监察职权。各业务处室在各自职责范围内实施具体的风险控制措施。

  3、内部风险控制原则

  (1)合法性原则。内控制度应当符合国家法律法规及监管机构的监管要求,并贯穿于托管业务经营管理活动的始终。

  (2)完整性原则。托管业务的各项经营管理活动都必须有相应的规范程序和监督制约;监督制约应渗透到托管业务的全过程和各个操作环节,覆盖所有的部门、岗位和人员。

  (3)及时性原则。托管业务经营活动必须在发生时能准确及时地记录;按照“内控优先”的原则,新设机构或新增业务品种时,必须做到已建立相关的规章制度。

  (4)审慎性原则。各项业务经营活动必须防范风险,审慎经营,保证基金资产和其他委托资产的安全与完整。

  (5)有效性原则。内控制度应根据国家政策、法律及经营管理的需要适时修改完善,并保证得到全面落实执行,不得有任何空间、时限及人员的例外。

  (6)独立性原则。资产托管部托管的基金资产、托管人的自有资产、托管人托管的其他资产应当分离;直接操作人员和控制人员应相对独立,适当分离;内控制度的检查、评价部门必须独立于内控制度的制定和执行部门。

  4、内部风险控制措施实施

  (1)严格的隔离制度。资产托管业务与传统业务实行严格分离,建立了明确的岗位职责、科学的业务流程、详细的操作手册、严格的人员行为规范等一系列规章制度,并采取了良好的防火墙隔离制度,能够确保资产独立、环境独立、人员独立、业务制度和管理独立、网络独立。

  (2)高层检查。主管行领导与部门高级管理层作为工行托管业务政策和策略的制定者和管理者,要求下级部门及时报告经营管理情况和特别情况,以检查资产托管部在实现内部控制目标方面的进展,并根据检查情况提出内部控制措施,督促职能管理部门改进。

  (3)人事控制。资产托管部严格落实岗位责任制,建立“自控防线”、“互控防线”、“监控防线”三道控制防线,健全绩效考核和激励机制,树立“以人为本”的内控文化,增强员工的责任心和荣誉感,培育团队精神和核心竞争力。并通过进行定期、定向的业务与职业道德培训、签订承诺书,使员工树立风险防范与控制理念。

  (4)经营控制。资产托管部通过制定计划、编制预算等方法开展各种业务营销活动、处理各项事务,从而有效地控制和配置组织资源,达到资源利用和效益最大化目的。

  (5)内部风险管理。资产托管部通过稽核监察、风险评估等方式加强内部风险管理,定期或不定期地对业务运作状况进行检查、监控,指导业务部门进行风险识别、评估,制定并实施风险控制措施,排查风险隐患。

  (6)数据安全控制。我们通过业务操作区相对独立、数据和传真加密、数据传输线路的冗余备份、监控设施的运用和保障等措施来保障数据安全。

  (7)应急准备与响应。资产托管业务建立了基于数据、应用、操作、环境四个层面的完备的灾难应急方案,并组织员工定期演练。除了在数据服务端和应用服务端实时同步备份与数据更新外,资产托管部还建立了操作端的异地备份中心,能够确保交易的及时清算和交割,保证业务不中断。

  5、资产托管部内部风险控制情况

  (1)资产托管部内部设置专职稽核监察部门,配备专职稽核监察人员,在总经理的直接领导下,依照有关法律规章,全面贯彻落实全程监控思想,确保资产托管业务健康、稳定地发展。

  (2)完善组织结构,实施全员风险管理。完善的风险管理体系需要从上至下每个员工的共同参与,只有这样,风险控制制度和措施才会全面、有效。资产托管部实施全员风险管理,将风险控制责任落实到具体业务部门和业务岗位,每位员工对自己岗位职责范围内的风险负责,通过建立纵向双人制、横向多部门制的内部组织结构,形成不同部门、不同岗位相互制衡的组织结构。

  (3)建立健全规章制度。资产托管部十分重视内控制度的建设,一贯坚持把风险防范和控制的理念和方法融入岗位职责、制度建设和工作流程中。经过多年努力,资产托管部已经建立了一整套内部风险控制制度,包括:岗位职责、业务操作流程、稽核监察制度、信息披露制度等,覆盖所有部门和岗位,渗透各项业务过程,形成各个业务环节之间的相互制约机制。

  (4)内部风险控制始终是托管部工作重点之一,保持与业务发展同等地位。资产托管业务是商业银行新兴的中间业务,资产托管部从成立之日起就特别强调规范运作,一直将建立一个系统、高效的风险防范和控制体系作为工作重点。随着市场环境的变化和托管业务的快速发展,新问题、新情况不断出现,资产托管部始终将风险管理放在与业务发展同等重要的位置,视风险防范和控制为托管业务生存和发展的生命线。

  (五)、托管人对管理人运作基金进行监督的方法和程序

  基金托管人负有对基金管理人的投资运作行使监督权的职责。根据《基金法》、《运作办法》、《证券投资基金会计核算办法》、基金合同及其他有关规定,托管人对基金的投资对象和范围、投资组合比例、投资限制、基金管理人报酬和基金托管人托管费的计提比例和支付方法、基金会计核算、基金财产估值和基金净值的计算、收益分配以及其他有关基金投资运作的事项,对基金管理人进行业务监督、核查。

  基金托管人发现基金管理人的违规行为,以书面形式通知基金管理人限期纠正;对基金管理人发出的违法违规投资指令,不予执行,并采取必要的补救措施;基金管理人收到通知后应及时进行核对确认并回函;在限期内,基金托管人有权对通知事项进行复查,如基金管理人未予纠正,基金托管人应报告中国证监会。

  基金托管人发现基金管理人有涉嫌重大违法违规行为时,应立即报告中国证监会,同时通知基金管理人限期纠正,并将纠正结果报告中国证监会。

  (六) 基金托管人的权利与义务

  1、根据《基金法》、《运作办法》及其他有关规定,基金托管人的权利包括但不限于:

  (1)自《基金合同》生效之日起,依法律法规和《基金合同》的规定安全保管基金财产;

  (2)依《基金合同》约定获得基金托管费以及法律法规规定或监管部门批准的其他收入;

  (3)监督基金管理人对本基金的投资运作,如发现基金管理人有违反《基金合同》及国家法律法规行为,对基金财产、其他当事人的利益造成重大损失的情形,应呈报中国证监会,并采取必要措施保护基金投资者的利益;

  (4)以基金托管人和基金联名的方式在中国证券登记结算有限公司上海分公司和深圳分公司开设证券账户;

  (5)以基金托管人名义开立证券交易资金账户,用于证券交易资金清算;

  (6)以基金的名义在中央国债登记结算有限公司开设银行间债券托管账户,负责基金投资债券的后台匹配及资金的清算;

  (7)提议召开或召集基金份额持有人大会;

  (8)在基金管理人更换时,提名新的基金管理人;

  (9)法律法规和《基金合同》规定的其他权利。

  2、根据《基金法》、《运作办法》及其他有关规定,基金托管人的义务包括但不限于:

  (1)以诚实信用、勤勉尽责的原则持有并安全保管基金财产;

  (2)设立专门的基金托管部门,具有符合要求的营业场所,配备足够的、合格的熟悉基金托管业务的专职人员,负责基金财产托管事宜;

  (3)建立健全内部风险控制、监察与稽核、财务管理及人事管理等制度,确保基金财产的安全,保证其托管的基金财产与基金托管人自有财产以及不同的基金财产相互独立;对所托管的不同的基金分别设置账户,独立核算,分账管理,保证不同基金之间在名册登记、账户设置、资金划拨、账册记录等方面相互独立;

  (4)除依据《基金法》、《基金合同》及其他有关规定外,不得利用基金财产为自己及任何第三人谋取利益,不得委托第三人托管基金财产;

  (5)保管由基金管理人代表基金签订的与基金有关的重大合同及有关凭证;

  (6)按规定开设基金财产的资金账户和证券账户,按照《基金合同》的约定,根据基金管理人的投资指令,及时办理清算、交割事宜;

  (7)保守基金商业秘密,除《基金法》、《基金合同》及其他有关规定另有规定外,在基金信息公开披露前予以保密,不得向他人泄露;

  (8)复核、审查基金管理人计算的基金资产净值、基金份额申购、赎回价格;

  (9)办理与基金托管业务活动有关的信息披露事项;

  (10)对基金财务会计报告、季度、半年度和年度基金报告出具意见,说明基金管理人在各重要方面的运作是否严格按照《基金合同》的规定进行;如果基金管理人有未执行《基金合同》规定的行为,还应当说明基金托管人是否采取了适当的措施;

  (11)保存基金托管业务活动的记录、账册、报表和其他相关资料15年以上;

  (12)建立并保存基金份额持有人名册;

  (13)按规定制作相关账册并与基金管理人核对;

  (14)依据基金管理人的指令或有关规定向基金份额持有人支付基金收益和赎回款项;

  (15)按照规定召集基金份额持有人大会或配合基金份额持有人依法自行召集基金份额持有人大会;

  (16)按照法律法规和《基金合同》的规定监督基金管理人的投资运作;

  (17)参加基金财产清算小组,参与基金财产的保管、清理、估价、变现和分配;

  (18)面临解散、依法被撤销或者被依法宣告破产时,及时报告中国证监会和银行监管机构,并通知基金管理人;

  (19)因违反《基金合同》导致基金财产损失时,应承担赔偿责任,其赔偿责任不因其退任而免除;

  (20)按规定监督基金管理人按法律法规和《基金合同》规定履行自己的义务,基金管理人因违反《基金合同》造成基金财产损失时,应为基金利益向基金管理人追偿;

  (21)执行生效的基金份额持有人大会的决定;

  (22)法律法规及中国证监会规定的和《基金合同》约定的其他义务。

  三、相关服务机构

  一、基金份额发售机构

  1、直销机构

  名 称:景顺长城基金管理有限公司

  住 所:深圳市福田区中心四路1号嘉里建设广场第一座21层

  法定代表人:徐 英

  批准设立文号:证监基金字[2003]76号

  电 话:0755-82370388-1661

  传 真:0755-22381325

  联系人:严丽娟

  2、代销机构

  (1)中国工商银行股份有限公司

  注册地址及办公地址:北京市西城区复兴门内大街55号

  法定代表人:姜建清

  客户服务电话:95588(全国)

  网址:www.icbc.com.cn

  (2)中国建设银行股份有限公司

  注册地址及办公地址:北京市西城区金融大街25号

  法定代表人:郭树清

  客户服务电话:95533

  网址:www.ccb.com

  (3)中国银行股份有限公司

  注册地址及办公地址:北京市西城区复兴门内大街1号

  法定代表人:肖钢

  客户服务电话:95566(全国)

  网址:www.boc.cn

  (4)中国农业银行股份有限公司

  注册地址:北京市东城区建国门内大街69号

  办公地址:北京市东城区建国门内大街69号

  法定代表人:项俊波

  传真:010-85109219

  联系人:蒋浩

  客服电话:95599

  网址:www.abchina.com

  (5)招商银行股份有限公司

  注册地址及办公地址:深圳市福田区深南大道7088号

  法定代表人:秦晓

  客户服务电话:95555

  联系人:刘薇

  网址:www.cmbchina.com

  (6)上海浦东发展银行股份有限公司

  注册地址:上海市浦东新区浦东南路500号

  办公地址:上海市北京东路689号

  法定代表人:金运

  客户服务电话:95528

  网址:www.spdb.com.cn

  (7)中信银行股份有限公司

  注册地址及办公地址:北京市东城区朝阳门北大街8号富华大厦C座

  法定代表人:孔丹

  电话:010-65541585

  传真:010-65541230

  客户服务电话:95558

  网址:bank.ecitic.com

  (8)中国民生银行股份有限公司

  注册地址及办公地址:北京市西城区复兴门内大街2号

  法定代表人:董文标

  联系电话:010-58351666

  传真:010-83914283

  联系人:李群、吴海鹏

  客户服务热线:95568

  网址:www.cmbc.com.cn

  (9)广东发展银行股份有限公司

  注册地址:广州市农林下路83号

  办公地址:广州市农林下路83号

  法定代表人:李若虹

  服务热线:020-38322730、38322974

  联系人: 罗环宇 张大奕

  网址:www.gdb.com.cn

  (10)交通银行股份有限公司

  住所及办公地址:上海市浦东新区银城中路188号

  法定代表人:蒋超良

  电话:021-58781234

  传真:021-58408483

  联系人:曹榕

  客户服务电话:95559

  网址:www.bankcomm.com

  (11)北京银行股份有限公司

  住所:北京市西城区金融大街丙17号

  办公地址:北京市西城区金融大街丙17号

  法定代表人:闫冰竹

  电话:010-66226044

  传真:010-66223314

  联系人:李娟

  客户服务电话:010-96169(北京) 022-96269(天津) 021-53599688(上海)

  网址:www.bankofbeijing.com.cn

  (12)中国光大银行股份有限公司

  注册地址及办公地址:北京市西城区复兴门外大街6号光大大厦

  法定代表人:王明权

  客户服务电话:95595(全国)

  网址:www.cebbank.com

  (13)兴业银行股份有限公司

  注册地址:福州市湖东路154号中山大厦

  法定代表人:高建平

  电话:(0591)87844211

  联系人:陈丹

  客户服务电话:95561

  网址:www.cib.com.cn

  (14)长城证券有限责任公司

  注册地址:深圳市福田区深南大道6008号特区报业大厦14、16、17层

  办公地址:深圳市福田区深南大道6008号特区报业大厦14、16、17层

  法定代表人:黄耀华

  联系人:匡婷

  电话:0755-83516289

  传真:0755-83516199

  客户服务热线:0755-33680000、400 6666 888

  网址:www.cc168.com.cn

  (15)中国银河证券股份有限公司

  注册地址:北京市西城区金融大街35号国际企业大厦C座

  办公地址:北京市西城区金融大街35号国际企业大厦C座

  法定代表人:胡关金

  电话:010-66568047

  传真:010-66568116

  联系人:李洋

  客服电话:4008-888-8888

  网址:www.chinastock.com.cn

  (16)海通证券股份有限公司

  注册地址:上海市淮海中路98 号

  办公地址:上海市淮海中路98号

  法定代表人:王开国

  电话:021-23219000

  传真:021-23219100

  联系人:金芸、李笑鸣

  客服电话:95553

  网址:www.htsec.com

  (17)中信建投证券有限责任公司

  注册地址:北京市朝阳区安立路66号4号楼

  办公地址:北京市朝阳门内大街188号

  法定代表人:黎晓宏

  电话:010-65186080

  传真:010-65182261

  联系人:魏明

  客户服务电话: 400-8888-108(免长途费)

  网址:中信建投证券网www.csc108.com

  (18)安信证券股份有限公司

  注册地址:深圳市福田区金田路2222号安联大厦34层、28层A02单元

  办公地址:深圳市深南大道2028号中国凤凰大厦1号楼7层

  法定代表人:牛冠兴

  开放式基金咨询电话:0755-82825555

  开放式基金业务传真:0755-82558003

  联系电话:0755-82558332

  网址:http://www.axzq.com.cn

  (19)国泰君安证券股份有限公司

  注册地址:上海市浦东新区商城路618号

  办公地址:上海市浦东新区银城中路168号上海银行大厦29楼

  法定代表人:祝幼一

  联系人:芮敏祺

  电话:021-62580818-213

  传真:021-62569400

  客户服务热线:4008888666?

  网址:www.gtja.com

  (20)申银万国证券股份有限公司

  注册地址:上海市常熟路171号

  办公地址:上海市常熟路171号

  法定代表人:丁国荣

  联系人:曹晔

  电话:021-54033888

  传真:021-54038844

  客户服务电话:021-962505

  网址:www.sw2000.com.cn

  (21)招商证券股份有限公司

  注册地址:深圳市福田区益田路江苏大厦A座38—45层

  办公地址:深圳市福田区益田路江苏大厦A座38—45层

  法定代表人:宫少林

  电话:0755-82943666

  传真:0755-82943636

  联系人:黄健

  客户服务热线:95565、4008888111

  网址:www.newone.com.cn

  (22)国都证券有限责任公司

  注册地址及办公地址:北京市东城区东直门南大街3号国华投资大厦9号10层

  法定代表人:王少华

  电话:010-84183389

  传真:010-84183311-3389

  客服电话:400-818-8118

  联系人:黄静

  网址:www.guodu.com

  (23)国元证券有限责任公司

  注册地址及办公地址:安徽省合肥市寿春路179号

  法定代表人:凤良志

  客服电话:400-888-8777、95578

  联系人:程维

  电话:0551-2207936

  传真:0551-2207965

  网址: www.gyzq.com.cn

  (24) 中信金通证券有限责任公司

  注册地址:杭州市中河南路11号万凯商务楼A座

  办公地址:杭州市中河南路11号万凯商务楼A座

  法定代表人:刘军

  电话:0571- 85783750

  传真:0571-85783771

  联系人:龚晓军

  客户服务热线:0571-96598

  网址:www.bigsun.com.cn、www.96598.com.cn

  (25)光大证券股份有限公司

  注册地址:上海市浦东南路528 号上海证券大厦南塔15 楼

  办公地址:上海市浦东南路528 号上海证券大厦南塔15 楼

  法定代表人:王明权

  联系人:刘晨

  电话:021-68816000

  传真:021-68815009

  客户服务电话:021-68823685

  网址:www.ebscn.com

  (26)华泰联合证券有限责任公司

  注册地址:深圳市深南东路5047号深圳发展银行大厦10、24、25层

  办公地址:深圳市深南东路5047号深圳发展银行大厦10、24、25层

  法定代表人:马昭明

  联系人:盛宗凌

  电话:0755-82492000

  传真:0755-82492962

  客服电话:4008888555、95513

  网址:www.lhzq.com

  (27)西部证券股份有限公司

  注册地址及办公地址:西安市东新街232号陕西信托大厦16-17层

  法定代表人:刘建武

  电话:029-87406488

  传真:029-87406387

  联系人:冯萍

  客服热线:029—96708

  网址:www.westsecu.com.cn

  (28)名称:中国国际金融有限公司

  注册地址:北京市建国门外大街1号国贸大厦2座28层

  办公地址:北京市建国门外大街1号国贸大厦2座28层

  法定代表人:李剑阁

  网址:www.cicc.com.cn

  电话:010-65051166

  客户服务电话:010-85679238,010-85679169

  传真:010-65051156

  (29)公司名称:华宝证券经纪有限责任公司

  注册地址:上海市浦东新区陆家嘴环路166号未来资产大厦23层

  邮政编码:200120

  注册资本:5亿元人民币

  法定代表人:陈林

  电话:021-50122222

  办公地址:上海市浦东新区陆家嘴环路166号未来资产大厦23层

  联系人:徐方亮

  业务联系电话:021-50122128

  网址:www.cnhbstock.com

  (30)名称:兴业证券股份有限公司

  注册地址:福州市湖东路99号标力大厦

  邮政编码:350001

  法定代表人:兰荣

  注册资金:19.37亿元人民币

  办公地址:浦东新区民生路1199弄证大五道口广场1号楼21层

  邮政编码:200135

  客服电话:4008888123

  业务联系电话:021-38565785

  业务联系人:谢高得

  网址:www.xyzq.com.cn

  (31)名称:爱建证券有限责任公司

  注册地址:上海市南京西路758号23楼

  办公地址:上海市南京西路758号24楼

  法定代表人:张建华

  联系人:陈敏

  电话:021-32229888-3121

  传真:021-62878783

  客服热线:021-63340678

  网址:www.ajzq.com

  (32)名称:广发华福证券有限责任公司

  注册地址:福州市五四路157号新天地大厦7、8层

  办公地址:福州市五四路157号新天地大厦7、8、10层

  法定代表人:黄金琳

  联系人:张腾

  电话:0591-87841160

  传真:0591-87841150

  客服热线:96326(福建省外请加拨0591)

  网址:www.gfhfzq.com.cn

  (33)名称:平安银行股份有限公司

  注册地址及办公地址:深圳市深南中路1099号

  法定代表人:孙建一

  联系人:蔡宇洲 霍兆龙

  电话:0755-22197874 25879591

  传真:0755-22197701

  客服热线:40066-99999

  网址:http://www.pingan.com/bank/

  (34)名称:信达证券股份有限公司

  注册地址及办公地址:北京市西城区三里河东路5号中商大厦10层

  法定代表人:张志刚

  联系人:唐静

  电话:010-88656100

  传真:010-88656290

  客服热线:400-800-8899

  网址:www.cindasc.com

  基金管理人可根据《销售办法》和基金合同等的规定,选择其他符合要求的机构代理销售本基金,并及时履行公告义务

  二、注册登记人

  名 称:景顺长城基金管理有限公司

  住 所:深圳市福田区中心四路1号嘉里建设广场第一座21层

  法定代表人:徐 英

  电 话:0755-82370388-1668

  传 真:0755-22381325

  联系人:杨波

  三、律师事务所及经办律师

  名 称:北京市金诚同达律师事务所

  住 所:北京建国门内大街22号华夏银行11层

  负责人:田予

  电 话:010-85237766

  传 真:010-65185057

  经办律师:贺宝银、徐志浩

  四、会计师事务所及经办注册会计师

  法定名称:普华永道中天会计师事务所有限公司

  注册地址:上海市浦东新区沈家弄325号

  办公地址:中国上海湖滨路202号普华永道中心11楼

  法定代表人:Kent Watson

  电话:021-61238888

  传真:021-61238800

  经办注册会计师:汪棣、陈宇

  四、基金的名称

  景顺长城公司治理股票型证券投资基金

  五、基金的类型

  契约开放式

  六、基金的申购、赎回

  一、申购费用和赎回费用

  1、本基金的申购费用由基金申购人承担,不列入基金财产,主要用于本基金的市场推广、销售、注册登记等各项费用。

  本基金的申购费率不高于2.5%,随申购金额的增加而递减,适用以下前端收费费率标准:

  ■

  2、本基金的赎回费用在投资人赎回本基金份额时收取,扣除用于市场推广、注册登记费和其他手续费后的余额归基金财产。本基金赎回费的25%归入基金财产所有。

  本基金的赎回费率不高于0.5%,随持有期限的增加而递减。

  ■

  注:就赎回费而言,1年指365天,2年指730天。

  3、本基金的申购费率、赎回费率最高不得超过法律法规规定的限额。基金管理人可以根据《基金合同》的相关约定调整费率或收费方式,基金管理人最迟应于新的费率或收费方式实施日前2个工作日在至少一家指定报刊及基金管理人网站公告。

  4、基金管理人可以在不违背法律法规规定及《基金合同》约定的情形下根据市场情况制定基金促销计划,针对特定地域范围、特定行业、特定职业的投资者以及以特定交易方式(如网上交易、电话交易等)等进行基金交易的投资者定期或不定期地开展基金促销活动。在基金促销活动期间,按相关监管部门要求履行相关手续后基金管理人可以适当调低基金申购费率和基金赎回费率。

  二、申购份额与赎回金额的计算

  1、本基金申购份额的计算

  本基金的申购金额包括申购费用和净申购金额,其中:

  申购费用 = 申购金额 /(1+申购费率)× 申购费率;

  净申购金额 = 申购金额 - 申购费用;

  申购份额 = 净申购金额 / T日基金份额净值。

  例:某投资者投资5,000元申购本基金,申购费率为2.5%,假设申购当日基金份额净值为1.128元,则其可得到的申购份额为:

  申购费用=5000 /(1+2.5%)× 2.5% = 121.95元;

  净申购金额 = 5000 - 121.95 = 4878.05元;

  申购份额 = 4878.05 / 1.128 = 4324.51份

  即:投资者投资5,000元申购本基金,假设申购当日的基金份额净值为1.128元,可得到4324.51份基金份额。

  2、本基金赎回金额的计算

  本基金采用“份额赎回”方式,赎回价格以T日的基金份额净值为基准进行计算,计算公式:

  赎回总额 = 赎回份额 × 赎回当日基金份额净值

  赎回费用 = 赎回总额 × 赎回费率

  赎回金额 = 赎回总额 - 赎回费用

  例:某投资者持有本基金10,000份基金份额18个月,赎回费率为0.25%,假设赎回当日基金份额净值是1.148元,则可得到的赎回金额为:

  赎回总额 = 1.148 × 10,000 = 11480元

  赎回费用 = 11480 × 0.25% = 28.70元

  赎回金额 = 11480 - 28.7= 11451.30元

  即:投资者赎回10,000份本基金,假设赎回当日的基金份额净值为1.148元,则可得到11451.30元净赎回金额。

  3、本基金份额净值的计算

  T日的基金份额净值在当天收市后计算,并在T+1日内公告。遇特殊情况,经中国证监会同意,可以适当延迟计算或公告。本基金基金份额净值的计算,保留到小数点后3位,小数点后第4位四舍五入,由此产生的误差计入基金财产。

  4、申购份额、余额的处理方式

  本基金申购的有效份额为按实际确认的申购金额在扣除相应的费用后,以当日基金份额净值为基准计算,计算结果保留到小数点后2位,小数点后两位以后的部分四舍五入,由此产生的误差计入基金财产。

  5、赎回金额的处理方式

  本基金的赎回金额为按实际确认的有效赎回份额以当日基金份额净值为基准计算并扣除相应的费用,计算结果保留到小数点后2位,小数点后两位以后的部分四舍五入,由此产生的误差计入基金财产。

  七、基金的投资目标

  本基金重点投资于具有良好公司治理的上市公司的股票,以及因治理结构改善而使公司内部管理得到明显提升的上市公司的股票,在控制风险的前提下,谋求基金资产的长期稳定增值。

  八、基金的投资方向

  本基金投资于具有良好流动性的金融工具,包括国内依法发行和上市交易的公司股票和债券以及经中国证监会批准的允许基金投资的其他金融工具。如法律法规或监管机构以后允许基金投资股票指数期货等其他品种,基金管理人在履行适当程序后,可以将其纳入投资范围。

  本基金投资组合的比例范围为:股票投资65%-95%,债券投资0%-30%,现金或者到期日在一年以内的政府债券投资5%-35%,权证投资0-3%。

  本基金投资于基金名称显示投资方向的股票不低于基金股票投资的80%。

  本基金持有现金或者到期日在一年以内的政府债券的比例不低于基金资产净值的5%。

  九、基金的投资策略

  1、股票投资策略

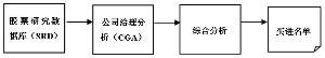
  本基金的股票投资遵循“自下而上”的个股选择策略,并遵守透明而有纪律的选股流程,如图1所示。

  ■

  图1 股票选择流程

  (1)股票研究数据库(SRD)

  本公司建立了完善的股票研究数据库,采用定量分析和定性分析相结合的方法。以沪深300指数的成分股为基础,剔除被ST以及被证监会和交易所公开谴责的上市公司,并剔除公司治理结构有严重问题的上市公司和股价被严重操纵的股票,其余公司进入股票库。此外,投资研究联席会议可以依据主动选股的标准加入部分上市公司,二者结合形成股票研究数据库。

  (2)公司治理分析(CGA)

  景顺长城参照国际上先进的公司治理实践标准,同时结合中国市场实际情况,本着随经济条件变化不断改进和完善的原则,建立了景顺长城公司治理评价体系。本基金综合运用该体系对股票研究数据库(SRD)中个股所属上市公司的公司治理情况进行系统性分析,现阶段主要包括三方面内容:

  (i)公司治理评级体系。这是一个多因素综合评分体系,运用综合评分法确定所研究上市公司的相对治理评级。

  (ii)内部研究。运用公司股票研究数据库(SRD)中的标准分析模板从违规记录、信息披露透明度等方面对上市公司公司治理状况进行分析。

  (iii)卖方研究报告。其在分析过程中起到对评级结果和内部研究进行参照验证的作用。

  (3)综合分析

  本基金以股票研究数据库(SRD)为基础,运用公司治理评级体系对上市公司的治理情况做出评价,重点投资于以下两类上市公司股票:

  (i)公司治理情况良好,具有较高的业务价值和良好的发展前景。

  (ii)公司内部管理得到明显提升,盈利能力增强或有较强的业绩增长潜力。

  同时,我们将利用SRD对跟踪的每一家上市公司进行系统的财务分析。

  2、债券投资策略

  本基金的债券投资采取利率预期策略、信用策略、流动性策略和时机策略相结合的积极性投资方法,力求在控制各类风险的基础上为投资者获取稳定的收益。

  本基金采用宏观经济分析模型(MEM)对经济数据评分,分析经济和金融运行情况,重点关注利率走势,判断收益率曲线的变动趋势。在此基础上,确定投资组合久期。本基金依市场规模、收益率、流动性等标准,评估债券的投资潜力和回报趋势。在风险控制上,利用风险评估系统适时评估投资组合,切实控制各种风险以优化投资组合。

  3、权证投资策略

  本公司将在有效进行风险管理的前提下,通过对权证标的证券的基本面研究,并结合期权定价模型估计权证价值,谨慎进行投资。

  本基金持有的全部权证的市值不超过基金资产净值的3%。

  本基金将持续地进行定期与不定期的投资组合回顾与风险监控,适时地做出相应的调整。

  十、基金的业绩比较基准

  本基金业绩比较基准=沪深300指数×80%+中证全债指数×20%。

  使用上述业绩比较基准的主要理由为:

  (一)市场代表性

  沪深300指数是由中证指数有限公司推出的可买卖的大盘股指数,由A股市场市值最大的300家上市公司组成;中证全债指数是中证指数公司编制的综合反映银行间债券市场和沪深交易所债券市场的跨市场债券指数,由银行间市场和沪深交易所市场的国债、金融债券及企业债券组成,两者均具有良好的市场代表性。

  (二)复合基准构建的公允性

  本基金是一只高持股的基金,股票投资比例范围为基金资产的65-95%,其中市场中性时的股票仓位为80%。本基金股票和债券投资的比较基准分别使用具有充分市场认同度的沪深300指数和中证全债指数,股票和债券投资的比较基准在基金整体业绩比较基准的占比按照市场中性时两类资产的投资比例确定,可以比较公允地反映基金管理人的投资管理能力。

  (三)易于观测性

  本基金的比较基准易于观察,任何投资人都可以使用公开的数据经过简单的算术运算获得比较基准,保证了基金业绩评价的透明性。

  如果今后法律法规发生变化,或者有更权威的、更能为市场普遍接受的业绩比较基准推出,或者是市场上出现更加适合用于本基金的业绩基准的股票指数时,本基金的基金管理人可以在与托管人协商一致并报中国证监会备案后,变更业绩比较基准并及时公告。

  十一、基金的风险收益特征

  本基金是风险程度高的投资品种。

  (一)各类别风险定义

  1、投资组合风险

  在基金日常管理风险过程中,由投资部对投资组合风险进行监控和管理。此类风险主要包括以下几种:

  (1)系统性风险:基金在投资中因市场原因而无法规避的风险;

  (2)行业配置风险:基金中某行业投资比例出现与基准的较大偏差而可能产生的风险;

  (3)证券选择风险:基金中某只股票的持仓比例出现与基准的较大偏差而可能产生的风险;

  (4)风格风险:基金在投资风格上与基准之间产生偏差,偏重于某种风格而产生的风险。

  2、个股风险

  在基金日常管理风险过程中,由投资部对个股风险进行监控和管理。此类风险主要包括以下几种:

  (1)财务风险:基金在投资过程中,由于对上市公司基本面特别是财务状况判断出现失误,造成基金资产净值受损的风险;

  (2)流动性风险:基金资产不能迅速、低成本地转变成现金,或者不能应付可能出现地投资者大额赎回的风险;

  (3)价格风险:在一定时间期限内,当基金中某只证券的二级市场股票价格波动幅度超出一定比例。

  3、衍生工具风险

  在基金日常管理风险过程中,由投资部对个股风险进行监控和管理。目前,此类风险主要指由权证投资引发的风险。

  4、作业执行风险

  在基金日常管理风险过程中,由运营部及法律、监察稽核部对作业风险进行实时预警与监控。此类风险主要包括基金在日常操作中出现违反法规或公司相关管理制度,或者交易执行中的操作失误以及信息系统故障产生的风险。

  (二)风险管理措施

  1、投资组合风险

  本公司运用国际通行的风险管理系统,以跟踪误差为核心,建立一整套评估指标测量、分析跟踪误差的构成,判断风格因素、行业因素、个股因素对跟踪误差的影响。同时,运用国际通行的回报分析系统将基金的超额回报/风险分解为时机选择、风格选择、行业选择、个股选择四类回报,有效地帮助基金管理人了解超额回报来源以及相应承受的风险水平,为基金管理人资产调整提供参考性的指引,以实现在有效控制组合风险的情况下获取更高的超额收益。

  2、个股风险

  (1)财务风险。本公司投资以基本面为基础,个股的挑选不仅注重盈利的成长动能以及价值评估,还重视个股的财务风险。通过景顺长城“股票研究数据库(SRD)”,详尽评估公司的财务状况,包括资产负债结构、现金流状况、营运状况、盈利能力等,并通过对所投资品种的实地调研及公司业绩的合理性分析,有效规避可能的财务风险。

  (2)流动性风险。流动性风险管理的具体指标是行业集中度、个股集中度和流动性比率。

  (3)价格风险。建立并执行实时价格异常监控机制,任何异常变化将通知相关研究人员分析调查。

  3、衍生工具风险

  对权证投资风险所采取的风险管理措施主要包括:

  (1)制定权证投资管理制度,并根据实际情况进行更新调整。

  (2)严格执行公司的投资管理制度。

  (3)对权证市场进行充分研究并定期对权证投资进行风险和绩效评估。

  4、作业执行风险

  作业执行风险识别与衡量的具体指标是法规限制和投资比例限制。本公司信息系统除定期进行数据备份之外,并定有灾难回复计划(Business Recovery Plan),确保公司操作系统可以在重大灾难发生后,迅速回复运作,以确保客户权益。

  十二、基金投资组合报告(未经审计)

  景顺长城基金管理人的董事会及董事保证本报告所载资料不存在虚假记载、误导性陈述或重大遗漏,并对其内容的真实性、准确性和完整性承担个别及连带责任。

  基金托管人中国工商银行根据基金合同规定,已经复核了本投资组合报告,保证复核内容不存在虚假记载、误导性陈述或者重大遗漏。财务数据截至2009年9月30日,本报告中所列财务数据未经审计。

  (一)报告期末基金资产组合情况

  ■

  (二)报告期末按行业分类的股票投资组合

  ■

  (三)报告期末按公允价值占基金资产净值比例大小排序的前十名股票投资明细

  ■

  (四)报告期末按债券品种分类的债券投资组合

  本基金本报告期末未持有债券。

  (五)报告期末按公允价值占基金资产净值比例大小排名的前五名债券投资明细

  本基金本报告期末未持有债券。

  (六)报告期末按公允价值占基金资产净值比例大小排名的前十名资产支持证券投资明细

  本基金本报告期末未持有资产支持证券。

  (七)报告期末按公允价值占基金资产净值比例大小排名的前五名权证投资明细

  本基金本报告期末未持有权证。

  (八)投资组合报告附注

  8.1报告期内未出现基金投资的前十名证券的发行主体被监管部门立案调查或者在报告编制日前一年内受到公开谴责、处罚的情况。

  8.2基金投资的前十名股票中,没有投资超出基金合同规定备选股票库之外的股票。

  8.3 其他资产构成

  ■

  8.4 报告期末持有的处于转股期的可转换债券明细

  本基金本报告期末未持有处于转股期的可转换债券。

  8.5 报告期末前十名股票中存在流通受限情况的说明

  本基金本报告期末前十名股票中不存在流通受限情况。

  十三、基金的业绩

  基金管理人承诺以诚实信用、勤勉尽责的原则管理和运用基金资产,但不保证基金一定盈利。基金的过往业绩并不代表其未来表现。投资有风险,投资者在作出投资决策前应仔细阅读本基金的招募说明书。基金业绩数据截至2009年9月30日。

  1、净值增长率与同期业绩比较基准收益率比较表

  ■

  2、累计净值增长率与业绩比较基准收益率的历史走势比较

  景顺长城公司治理股票型证券投资基金

  累计份额净值增长率与业绩比较基准收益率的历史走势对比图

  (2008年10月22日至2009年9月30日)

  ■

  备注:(1)本基金的资产配置比例为:股票投资65%-95%,债券投资0%-30%,现金或者到期日在一年以内的政府债券投资5%-35%,权证投资0%-3%;

  (2)本基金自2008年10月22日合同生效日起至2009年4月21日为建仓期。建仓期满至今,本基金投资组合达到上述投资组合比例的要求。

  十四、基金概览

  一、与基金运作有关的费用

  (一)基金费用的种类

  1、基金管理人的管理费;

  2、基金托管人的托管费;

  3、《基金合同》生效后与基金相关的信息披露费用;

  4、《基金合同》生效后与基金相关的会计师费和律师费;

  5、基金份额持有人大会费用;

  6、基金的证券交易费用;

  7、基金的银行汇划费用;

  8、按照国家有关规定和《基金合同》约定,可以在基金财产中列支的其他费用。

  本基金终止清算时所发生费用,按实际支出额从基金财产总值中扣除。

  (二)基金费用计提方法、计提标准和支付方式

  1、基金管理人的管理费

  本基金的管理费按前一日基金资产净值的1.5%年费率计提。管理费的计算方法如下:

  H=E×1.5%÷当年天数

  H为每日应计提的基金管理费

  E为前一日的基金资产净值

  基金管理费每日计算,逐日累计至每月月末,按月支付,由基金管理人向基金托管人发送基金管理费划款指令,基金托管人复核后于次月前2个工作日内从基金财产中一次性支付给基金管理人。若遇法定节假日、公休假等,支付日期顺延。

  2、基金托管人的托管费

  本基金的托管费按前一日基金资产净值的2.5%。的年费率计提。托管费的计算方法如下:

  H=E×2.5%。÷当年天数

  H为每日应计提的基金托管费

  E为前一日的基金资产净值

  基金托管费每日计算,逐日累计至每月月末,按月支付,由基金管理人向基金托管人发送基金托管费划款指令,基金托管人复核后于次月前2个工作日内从基金财产中一次性支取。若遇法定节假日、公休日等,支付日期顺延。

  上述一、基金费用的种类中第3-7项费用,根据有关法规及相应协议规定,按费用实际支出金额列入当期费用,由基金托管人从基金财产中支付。

  二、与基金销售有关的费用

  1、认购费

  (1)认购费率

  投资者认购需缴纳认购费用,认购费率以有效认购申请确认金额为基数采用比例费率。费率表如下:

  ■

  (2)计算公式

  本基金认购份额的计算如下:

  认购费用 = 认购金额 /(1+认购费率)× 认购费率;

  净认购金额 = 认购金额 - 认购费用;

  认购份额=(净认购金额 + 认购利息)/基金初始面值。

  基金认购份额保留到小数点后两位,小数点后两位以后的部分四舍五入,由此产生的误差计入基金财产。

  2、申购费

  (1)申购费率

  投资者申购需缴纳申购费用,申购费率以申购金额为基数采用比例费率。费率表如下:

  ■

  (2)计算公式

  本基金申购份额的计算如下:

  申购费用 = 申购金额/(1+申购费率)× 申购费率

  净申购金额 = 申购金额 - 申购费用

  申购份额 = 净申购金额 / T日基金份额净值

  基金申购份额保留到小数点后两位,小数点后两位以后的部分四舍五入,由此产生的误差计入基金财产。

  3、赎回费

  (1)赎回费率

  本基金的赎回费用在投资人赎回本基金份额时收取,扣除用于市场推广、注册登记费和其他手续费后的余额归基金财产。本基金赎回费的25%归入基金财产所有。

  本基金的赎回费率不高于0.5%,随持有期限的增加而递减。

  ■

  注:就赎回费而言,1年指365天,2年指730天。

  (2)计算公式

  本基金赎回金额的计算如下:

  赎回总额 = 赎回份额 × 赎回当日基金份额净值

  赎回费用 = 赎回总额 × 赎回费率

  赎回金额 = 赎回总额 - 赎回费用

  基金赎回金额保留到小数点后两位,小数点后两位以后的部分四舍五入,由此产生的误差计入基金财产。

  三、不列入基金费用的项目

  下列费用不列入基金费用:

  1、基金管理人和基金托管人因未履行或未完全履行义务导致的费用支出或基金财产的损失;

  2、基金管理人和基金托管人处理与基金运作无关的事项发生的费用;

  3、《基金合同》生效前的相关费用,包括但不限于验资费、会计师和律师费、信息披露费用等费用;

  4、其他根据相关法律法规及中国证监会的有关规定不得列入基金费用的项目。

  四、费用调整

  基金管理人和基金托管人协商一致后,可根据基金发展情况调整基金管理费率、基金托管费率、基金销售费率等相关费率。

  调高基金管理费率、基金托管费率或基金销售费率等费率,须召开基金份额持有人大会审议;调低基金管理费率、基金托管费率或基金销售费率等费率,无须召开基金份额持有人大会。

  基金管理人必须最迟于新的费率实施日前2日在至少一种指定媒体和基金管理人网站上公告。

  五、基金税收

  本基金运作过程中涉及的各纳税主体,其纳税义务按国家税收法律、法规执行。

  十五、对招募说明书更新部分的说明

  1、在“三、基金管理人”部分,更新了现有人员构成、主要人员情况、本基金现任基金经理兼任其他基金基金经理的情况、投资决策委员会委员名单;

  2、在“四、基金托管人”部分,更新了托管人相关情况信息;

  3、在“五、相关服务机构”部分,更新了代销机构相关信息;

  4、在“基金的申购、赎回及其他注册登记业务”部分,更新了与定期定额投资计划相关的信息;

  5、在“八、基金的投资”部分,更新了风险管理委员会的组成以及基金的投资组合报告,数据截至2009年9月30日;

  6、更新了“十、基金的业绩”部分,数据截至2009年9月30日;

  7、在“二十、其它应披露事项”部分,更新了近期发布的与本基金有关的公告目录,目录更新至2009年10月22日。

  景顺长城基金管理有限公司

  二○○九年十二月五日

放大 缩小 默认
 

版权声明 © 证券时报网 网站版权所有
中华人民共和国增值电信业务经营许可证编号:粤B2-20080118