证券时报网络版郑重声明经证券时报社授权,证券时报网独家全权代理《证券时报》信息登载业务。本页内容未经书面授权许可,不得转载、复制或在非证券时报网所属服务器建立镜像。欲咨询授权事宜请与证券时报网联系 (0755-83501827) 。 |
海富通稳进增利分级债券型证券投资基金之增利A与增利B份额上市交易公告书 2011-11-23 来源:证券时报网 作者:
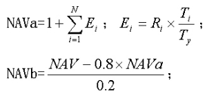
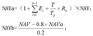
(上接D10版) 1.现场开会 (1)如基金份额持有人大会由基金管理人或基金托管人召集,则基金份额持有人大会的主持人应当在会议开始后宣布在出席会议的基金份额持有人和代理人中推举两名基金份额持有人代表与大会召集人授权的一名监督员共同担任监票人;如大会由基金份额持有人自行召集,基金份额持有人大会的主持人应当在会议开始后宣布在出席会议的基金份额持有人和代理人中推举两名基金份额持有人代表与基金管理人、基金托管人授权的一名监督员共同担任监票人;但如果基金管理人和基金托管人的授权代表未出席,则大会主持人可自行选举三名基金份额持有人代表担任监票人。 (2)监票人应当在基金份额持有人表决后立即进行清点,由大会主持人当场公布计票结果。 (3)如大会主持人对于提交的表决结果有异议,可以对投票数进行重新清点;如大会主持人未进行重新清点,而出席大会的基金份额持有人或代理人对大会主持人宣布的表决结果有异议,其有权在宣布表决结果后立即要求重新清点,大会主持人应当立即重新清点并公布重新清点结果。重新清点仅限一次。 (4)计票过程应由公证机关予以公证。 2.通讯方式开会 在通讯方式开会的情况下,计票方式为:由大会召集人授权的两名监票人在基金托管人授权代表(如果基金托管人为召集人,则为基金管理人授权代表)的监督下进行计票,并由公证机关对其计票过程予以公证;基金管理人或基金托管人不派代表监督计票的,不影响计票效力及表决结果。但基金管理人或基金托管人应当至少提前两个工作日通知召集人,由召集人邀请无直接利害关系的第三方担任监督计票人员,并由公证机关对其计票过程予以公证。 (十)基金份额持有人大会决议报中国证监会核准或备案后的公告时间、方式 1.基金份额持有人大会通过的一般决议和特别决议,召集人应当自通过之日起5日内报中国证监会核准或者备案。基金份额持有人大会决定的事项自中国证监会依法核准或者出具无异议意见之日起生效。 2.生效的基金份额持有人大会决议对全体基金份额持有人、基金管理人、基金托管人均有约束力。基金管理人、基金托管人和基金份额持有人应当执行生效的基金份额持有人大会决议。 3.基金份额持有人大会决议应自生效之日起2日内在指定媒体公告。如果采用通讯方式进行表决,在公告基金份额持有人大会决议时,必须将公证书全文、公证机构、公证员姓名等一同公告。 (十一)法律法规或监管部门对基金份额持有人大会另有规定的,从其规定。 三、基金份额的分级 (一)封闭期基金份额分级原则 1、本基金通过场外、场内两种方式公开发售。基金发售结束后,场外、场内认购的全部份额将按8:2的比率确认为增利A份额与增利B份额。两类基金份额的基金资产合并运作。场外的A类份额和B类份额登记在注册登记系统;场内的A类份额和B类份额登记在证券登记结算系统。 2、在本基金封闭期,增利A份额与增利B份额同时在深圳证券交易所分别上市和交易,交易代码不同。基金份额持有人可以在深圳证券交易所单独交易持有的登记在证券登记结算系统中的增利A份额或者增利B份额,登记在注册登记系统的增利A份额或者增利B份额需跨系统转登记到证券登记结算系统后方可在深圳证券交易所交易。 (二)增利A份额与增利B份额的权益分配规则 本基金增利A份额和增利B份额在封闭期末具有不同的资产及收益的分配安排,即增利A份额和增利B份额的风险和收益特性不同。 增利A份额为低风险且预期收益相对稳定的基金份额,增利B份额为高风险且预期收益相对较高的基金份额。增利A份额约定应得收益和增利B份额应得资产及收益的分配规则如下: (1)在封闭期内,增利A份额的约定年化收益率计算公式为: 增利A约定年化收益率=三年期银行定期存款利率+0.5% 约定年化收益率每季度调整一次,调整日为公历年每季度初的第一个自然日,调整后的约定年化收益率将作为该季度增利A份额约定年化收益的计算基础。 在基金合同生效当日,基金管理人将根据当日中国人民银行公布并执行的金融机构人民币三年期整存整取基准年利率设定封闭期内增利A的首个约定年化收益率;在基金合同生效后,基金管理人将根据每个季度的第一个自然日中国人民银行公布并执行的金融机构人民币三年期整存整取基准年利率设定当季约定年化收益率。 其应得收益的金额采用单利计算,年化收益率及收益均以基金份额的认购面值为基准进行计算;约定年化收益率为增利A在封闭期内的年化目标收益率。 (2)在封闭期末,如本基金份额净值大于等于1,本基金净资产优先分配予增利A份额的本金及增利A份额约定应得收益后的剩余净资产分配予增利B份额。 (3)在封闭期末,如本基金份额净值小于1,增利A与增利B分别以封闭期末本基金份额净值等于1时两者的份额净值为基础共同承担亏损。 (4)基金管理人并不承诺或保证封闭期满时增利A份额持有人的约定应得收益,即如在封闭期末本基金资产出现损失情况下,增利A份额仍可能面临无法取得约定应得收益乃至投资本金受损的风险。 对投资者认购或上市交易购买并持有到期的每一份增利A份额和增利B份额,在本基金封闭期届满后,按照基金合同所约定的资产及收益的分配规定分别计算增利A份额和增利B份额封闭期末净值,并以各自的份额净值为基础,按照本基金的基金份额净值(NAV)转换为同一上市开放式基金(LOF)的份额,以在基金转换运作方式的同时实现基金份额持有人的资产及收益的分配。 (三)本基金基金份额净值的计算 本基金在封闭期内及封闭期届满转为上市开放式基金(LOF)后,均依据以下公式计算T日基金份额净值: T日基金份额净值=T日闭市后的基金资产净值/T日基金份额的余额总数 封闭期内,T日基金份额的余额数量为增利A和增利B的份额总额;封闭期届满转为上市开放式基金(LOF)后,T日基金份额的余额总数为该上市开放式基金(LOF)基金份额总额。基金份额净值的计算,保留到小数点后3位,小数点后第4位四舍五入,由此产生的误差计入基金财产。 T日的基金份额净值在当天收市后计算,并在T+1日内公告。如遇特殊情况,经中国证监会同意,可以适当延迟计算或公告。 (四)增利A和增利B在封闭期末的基金份额净值计算 按照上述本基金资产及收益的分配规则,在封闭期末对增利A与增利B单独进行基金份额净值计算,并按各自的基金份额净值进行资产分配及份额转换。 假设NAV为本基金在封闭期截止当日基金份额净值,NAVa为封闭期截止当日增利A基金份额净值,NAVb为封闭期截止当日增利B基金份额净值,N为封闭期内总季度数(含基金成立当季及封闭期结束当季)。 封闭期截止当日的增利A与增利B基金份额净值计算公式如下: 1、当1≤NAV时,则增利A与增利B截至封闭期末当日基金份额净值: ■ 其中:Ei为封闭期内第i季度增利A的约定应得收益; Ti为封闭期内第i季度增利A应计算收益的实际天数,Ty为对应自然年度的实际天数,Ri为封闭期内第i季度增利A的约定年化收益率。 2、当NAV<1时,则增利A与增利B截至封闭期末当日基金份额净值: ■ 在封闭期末计算增利A与增利B份额净值时,基金份额净值以及增利A与增利B份额净值各自保留小数点后8位,小数点后第9位四舍五入,由此产生的计算误差归入基金资产,并由基金管理人通知基金托管人对账务进行调整。 (五)增利A和增利B基金份额参考净值的计算 基金管理人在基金份额净值计算的基础上,采用“虚拟清算”原则计算并公告增利A和增利B基金份额参考净值。在计算增利A和增利B基金份额参考净值时,如本基金份额净值大于等于1,本基金净资产优先分配予增利A份额的本金及增利A份额约定应得收益后的剩余净资产分配予增利B份额;如本基金份额净值小于1,增利A与增利B分别以当日本基金份额净值等于1时两者的份额净值为基础共同承担亏损。封闭期间的基金份额参考净值是对两类基金份额价值的一个估算,并不代表基金份额持有人可获得的实际价值。 增利A和增利B基金份额参考净值在当天收市后计算,并在T+1日内与本基金基金份额净值一同公告。如遇特殊情况,经中国证监会同意,可以适当延迟计算或公告。 设第n个季度第T日为基金份额参考净值日,NAV为本基金封闭期内第n个季度第T日基金份额净值;NAVa为封闭期内第n个季度第T日增利A基金份额参考净值;NAVb为封闭期内第n个季度第T日增利B基金份额参考净值。 封闭期内第n个季度第T日,增利A和增利B基金份额参考净值的计算公式如下: 1、当1≤NAV时,则增利A与增利B在封闭期内第n个季度第T日基金份额参考净值: ■ 其中:n=1,2,……,12或13; Ei为封闭期内第i季度增利A的约定应得收益; Ti为封闭期内第i季度增利A应计算收益的实际天数,Ty为对应自然年度的实际天数,Ri为封闭期内第i季度增利A的约定年化收益率, Rn为封闭期内第n季度增利A的约定年化收益率。 2、当NAV<1时,则增利A与增利B在封闭期内第n个季度第T日基金份额参考净值: ■ 增利A与增利B基金份额参考净值的计算,保留到小数点后3位,小数点后第4位四舍五入。 (六)增利A和增利B基金份额净值转换 本基金封闭期届满,增利A和增利B份额将按约定的资产及收益的分配规则进行净值计算,并以各自的份额净值为基础,按照本基金的基金份额净值(NAV)转换为同一上市开放式基金(LOF)的份额,并办理基金的申购、赎回业务。 有关基金份额转换及申购、赎回规则及实施办法见本基金招募说明书相应部分。有关基金份额转换及申购、赎回开始时间见本基金管理人届时的公告。 四、基金的收益与分配 (一)基金利润的构成 基金利润指基金利息收入、投资收益、公允价值变动收益和其他收入扣除相关费用后的余额;基金已实现收益指基金利润减去公允价值变动收益后的余额。 (二)基金可供分配利润 基金可供分配利润指截至收益分配基准日基金未分配利润与未分配利润中已实现收益的孰低数。 (三)收益分配原则 1、本基金在封闭期内及封闭期届满时,收益分配应遵循下列原则: (1)在封闭期内,本基金不对基金份额所分离的增利A与增利B基金份额进行收益分配; (2)在封闭期届满,基金合同约定的资产及收益分配规则单独计算出增利A与增利B份额各自的份额净值并转换为上市开放式基金(LOF)份额,基金份额持有人可通过赎回基金份额实现应得收益; (3)法律法规或监管机构另有规定的从其规定。 2、本基金封闭期届满并转换为上市开放式基金(LOF)后,本基金收益分配应遵循下列原则: (1)本基金的每份基金份额享有同等分配权; (2)收益分配时所发生的银行转账或其他手续费用由投资人自行承担。当投资人的现金红利小于一定金额,不足以支付银行转账或其他手续费用时,基金注册登记机构可将投资人的现金红利按除权后的单位净值自动转为基金份额; (3)本基金收益每年最多分配12次,每次基金收益分配比例不低于收益分配基准日可供分配利润的20%; (4)本基金收益分配方式分为两种:现金分红与红利再投资。 登记在注册登记系统的基金份额,其持有人可自行选择收益分配方式,基金份额持有人事先未做出选择的,默认的分红方式为现金红利;选择红利再投资的,现金红利则按除权日经除权后的基金份额净值自动转为基金份额进行再投资;投资者在各销售机构设置的本基金分红方式相互独立、互不影响; 登记在证券登记结算系统中的基金份额只支持现金红利方式,投资者不能选择其他的分红方式,具体权益分配程序等有关事项遵循深圳证券交易所及中国证券登记结算有限责任公司的相关规定。 (5) 基金红利发放日距离收益分配基准日(即可供分配利润计算截止日)的时间不得超过15个工作日; (6) 基金收益分配后每一基金份额净值不能低于面值,即基金收益分配基准日的基金份额净值减去每单位基金份额收益分配金额后不能低于面值; (7)法律法规或监管机构另有规定的从其规定。 (四)收益分配方案 基金收益分配方案中应载明收益分配基准日以及该日的可供分配利润、基金收益分配对象、分配原则、分配时间、分配数额及比例、分配方式、支付方式等内容。 (五)收益分配的时间和程序 1.基金收益分配方案由基金管理人拟订,由基金托管人复核,依照《信息披露办法》的有关规定在指定媒体上公告并报中国证监会备案; 2.在收益分配方案公布后,基金管理人依据具体方案的规定就支付的现金红利向基金托管人发送划款指令,基金托管人按照基金管理人的指令及时进行分红资金的划付。 五、基金费用与税收 (一)基金费用的种类 1.基金管理人的管理费; 2.基金托管人的托管费; 3.基金财产拨划支付的银行费用; 4.基金合同生效后的基金信息披露费用; 5.基金份额持有人大会费用; 6.基金合同生效后与基金有关的会计师费和律师费; 7.基金的证券交易费用; 8.依法可以在基金财产中列支的其他费用。 (二)上述基金费用由基金管理人在法律规定的范围内参照公允的市场价格确定,法律法规另有规定时从其规定。 (三)基金费用计提方法、计提标准和支付方式 1.基金管理人的管理费 在通常情况下,基金管理费按前一日基金资产净值的0.7%年费率计提。计算方法如下: H=E×年管理费率÷当年天数 H为每日应计提的基金管理费 E为前一日基金资产净值 基金管理费每日计提,按月支付。由基金管理人向基金托管人发送基金管理费划付指令,经基金托管人复核后于次月首日起5个工作日内从基金财产中一次性支付给基金管理人,若遇法定节假日、休息日,支付日期顺延。 2.基金托管人的托管费 在通常情况下,基金托管费按前一日基金资产净值的0.2%年费率计提。计算方法如下: H=E×年托管费率÷当年天数 H为每日应计提的基金托管费 E为前一日基金资产净值 基金托管费每日计提,按月支付。由基金管理人向基金托管人发送基金托管费划付指令,经基金托管人复核后于次月首日起5个工作日内从基金财产中一次性支付给基金托管人,若遇法定节假日、休息日,支付日期顺延。 3.除管理费和托管费之外的基金费用,由基金托管人根据其他有关法规及相应协议的规定,按费用支出金额支付,列入或摊入当期基金费用。 (四)不列入基金费用的项目 基金管理人和基金托管人因未履行或未完全履行义务导致的费用支出或基金财产的损失,以及处理与基金运作无关的事项发生的费用等不列入基金费用。基金合同生效前所发生的信息披露费、律师费和会计师费以及其他费用不从基金财产中支付。 (五)基金管理人和基金托管人可根据基金发展情况调整基金管理费率和基金托管费率。基金管理人必须最迟于新的费率实施日前在指定媒体上刊登公告。 (六)基金税收 基金和基金份额持有人根据国家法律法规的规定,履行纳税义务。 六、基金财产的投资方向与投资限制 (一)投资范围 本基金的投资范围为具有良好流动性的金融工具,包括国内依法发行上市的股票(包括中小板、创业板及其他经中国证监会核准上市的股票)、债券、货币市场工具、权证、资产支持证券以及法律法规或中国证监会允许基金投资的其他金融工具(但须符合中国证监会的相关规定)。 本基金封闭期内投资于债券等固定收益类资产的比例不低于基金资产的80%,本基金可以参与一级市场新股申购以及在二级市场上投资股票(包括中小板、创业板及其他经中国证监会核准上市的股票)、权证等权益类证券,投资于股票(包括中小板、创业板及其他经中国证监会核准上市的股票)等权益类证券的比例不超过基金资产的20%,且权证投资不超过基金资产净值的3%。本基金封闭期结束转换为上市开放式基金(LOF)后,本基金投资于债券等固定收益类资产的比例不低于基金资产的80%,投资于股票(包括中小板、创业板及其他经中国证监会核准上市的股票)等权益类证券的比例不超过基金资产的20%、权证投资不超过基金资产净值的3%,且现金或者到期日在一年以内的政府债券不低于基金资产净值的5%。 如果法律法规或监管机构允许基金投资于其它品种,本基金在履行适当的程序后,可以将其纳入到基金的投资范围。 (二)投资限制 1.组合限制 本基金在投资策略上兼顾投资原则以及开放式基金的固有特点,通过分散投资降低基金财产的非系统性风险,保持基金组合良好的流动性。基金的投资组合将遵循以下限制: (1)本基金持有一家上市公司的股票,其市值不超过基金资产净值的10%; (2)本基金持有的全部权证,其市值不得超过基金资产净值的3%; (3)本基金管理人管理的全部基金持有一家公司发行的证券,不超过该证券的10%; (4)本基金管理人管理的全部基金持有的同一权证,不得超过该权证的10%; (5)本基金进入全国银行间同业市场进行债券回购的资金余额不得超过基金资产净值的40%; (6) 本基金封闭期内投资于债券等固定收益类资产的比例不低于基金资产的80%,投资于股票(包括中小板、创业板及其他经中国证监会核准上市的股票)等权益类证券的比例不超过基金资产的20%。本基金封闭期结束转换为上市开放式基金(LOF)后,本基金投资于债券等固定收益类资产的比例不低于基金资产的80%,投资于股票(包括中小板、创业板及其他经中国证监会核准上市的股票)等权益类证券的比例不超过基金资产的20%,且现金或者到期日在一年以内的政府债券不低于基金资产净值的5%; (7)本基金投资于同一原始权益人的各类资产支持证券的比例,不得超过基金资产净值的10%; (8)本基金持有的全部资产支持证券,其市值不得超过基金资产净值的20%; (9)本基金持有的同一(指同一信用级别)资产支持证券的比例,不得超过该资产支持证券规模的10%; (10)本基金管理人管理的全部基金投资于同一原始权益人的各类资产支持证券,不得超过其各类资产支持证券合计规模的10%; (11)本基金应投资于信用级别评级为BBB以上(含BBB)的资产支持证券。基金持有资产支持证券期间,如果其信用等级下降、不再符合投资标准,应在评级报告发布之日起3个月内予以全部卖出; (12)基金财产参与股票发行申购,本基金所申报的金额不超过本基金的总资产,本基金所申报的股票数量不超过拟发行股票公司本次发行股票的总量; (13)本基金在任何交易日买入权证的总金额,不得超过上一交易日基金资产净值的0.5%。 基金管理人投资流通受限证券,应事先根据中国证监会相关规定,明确基金投资流通受限证券的比例,制订严格的投资决策流程和风险控制制度,防范流动性风险、法律风险和操作风险等各种风险。 如果法律法规对本基金合同约定投资组合比例限制进行变更的,以变更后的规定为准。法律法规或监管部门取消上述限制,如适用于本基金,则本基金投资不再受相关限制。 因证券市场波动、上市公司合并、基金规模变动、股权分置改革中支付对价等基金管理人之外的因素致使基金投资比例不符合上述规定投资比例的,基金管理人应当在10个交易日内进行调整。 基金管理人应当自基金合同生效之日起6个月内使基金的投资组合比例符合基金合同的有关约定。基金托管人对基金的投资的监督与检查自本基金合同生效之日起开始。 2.禁止行为 为维护基金份额持有人的合法权益,基金财产不得用于下列投资或者活动: (1)承销证券; (2)向他人贷款或者提供担保; (3)从事承担无限责任的投资; (4)买卖其他基金份额,但是国务院另有规定的除外; (5)向其基金管理人、基金托管人出资或者买卖其基金管理人、基金托管人发行的股票或者债券; (6)买卖与其基金管理人、基金托管人有控股关系的股东或者与其基金管理人、基金托管人有其他重大利害关系的公司发行的证券或者承销期内承销的证券; (7)从事内幕交易、操纵证券交易价格及其他不正当的证券交易活动; (8)依照法律法规有关规定,由中国证监会规定禁止的其他活动; (9)法律法规或监管部门取消上述限制,如适用于本基金,则本基金投资不再受相关限制。 七、基金财产净值的估算方法和公告方式 1、证券交易所上市的有价证券的估值 (1)交易所上市的有价证券(包括股票、权证等),以其估值日在证券交易所挂牌的市价(收盘价)估值;估值日无交易的,且最近交易日后经济环境未发生重大变化,以最近交易日的市价(收盘价)估值;如最近交易日后经济环境发生了重大变化的,可参考类似投资品种的现行市价及重大变化因素,调整最近交易市价,确定公允价格。 (2)交易所上市实行净价交易的债券按估值日收盘价估值,估值日没有交易的,且最近交易日后经济环境未发生重大变化,按最近交易日的收盘价估值。如最近交易日后经济环境发生了重大变化的,可参考类似投资品种的现行市价及重大变化因素,调整最近交易市价,确定公允价格; (3)交易所上市未实行净价交易的债券按估值日收盘价减去债券收盘价中所含的债券应收利息得到的净价进行估值;估值日没有交易的,且最近交易日后经济环境未发生重大变化,按最近交易日债券收盘价减去债券收盘价中所含的债券应收利息得到的净价进行估值。如最近交易日后经济环境发生了重大变化的,可参考类似投资品种的现行市价及重大变化因素,调整最近交易市价,确定公允价格; (4)交易所上市不存在活跃市场的有价证券,采用估值技术确定公允价值。交易所上市的资产支持证券,采用估值技术确定公允价值,在估值技术难以可靠计量公允价值的情况下,按成本估值。 2、处于未上市期间的有价证券应区分如下情况处理: (1)送股、转增股、配股和公开增发的新股,按估值日在证券交易所挂牌的同一股票的市价(收盘价)估值;该日无交易的,以最近一日的市价(收盘价)估值; (2)首次公开发行未上市的股票、债券和权证,采用估值技术确定公允价值,在估值技术难以可靠计量公允价值的情况下,按成本估值。 (3)首次公开发行有明确锁定期的股票,同一股票在交易所上市后,按交易所上市的同一股票的市价(收盘价)估值;非公开发行有明确锁定期的股票,按监管机构或行业协会有关规定确定公允价值。 3、全国银行间债券市场交易的债券、资产支持证券等固定收益品种,采用估值技术确定公允价值。 4、同一债券同时在两个或两个以上市场交易的,按债券所处的市场分别估值。 5、如有确凿证据表明按上述方法进行估值不能客观反映其公允价值的,基金管理人可根据具体情况与基金托管人商定后,按最能反映公允价值的价格估值。 6、相关法律法规以及监管部门有强制规定的,从其规定。如有新增事项,按国家最新规定估值。 如基金管理人或基金托管人发现基金估值违反基金合同订明的估值方法、程序及相关法律法规的规定或者未能充分维护基金份额持有人利益时,应立即通知对方,共同查明原因,双方协商解决。 根据有关法律法规,基金资产净值计算和基金会计核算的义务由基金管理人承担。本基金的基金会计责任方由基金管理人担任,因此,就与本基金有关的会计问题,如经相关各方在平等基础上充分讨论后,仍无法达成一致的意见,按照基金管理人对基金资产净值的计算结果对外予以公布。 八、《基金合同》的变更、终止 (一)基金合同的变更 1. 下列涉及到基金合同内容变更的事项应召开基金份额持有人大会,基金合同变更的内容应经基金份额持有人大会决议同意。 (1)终止基金合同; (2)转换基金运作方式,但本基金封闭期到期后转为上市开放式基金(LOF)除外; (3)变更基金类别; (4)变更基金投资目标、投资范围或投资策略; (5)变更基金份额持有人大会程序; (6)更换基金管理人、基金托管人; (7)提高基金管理人、基金托管人的报酬标准。但根据适用的相关规定提高该等报酬标准的除外; (8)本基金与其他基金的合并; (9) 基金管理人有权在封闭期届满前召集基金份额持有人大会,审议是否在封闭期届满后延长封闭期及延长封闭期的期限; (10)终止基金上市,但因本基金不再具备上市条件而被深圳证券交易所终止上市的除外; (11)对基金合同当事人权利、义务产生重大影响,需召开基金份额持有人大会的变更基金合同等其他事项; (12)法律法规、基金合同或中国证监会规定的其他情形。 但出现下列情况时,可不经基金份额持有人大会决议,由基金管理人和基金托管人同意变更后公布,并报中国证监会备案: (1)调低基金管理费、基金托管费和其他应由基金承担的费用; (2)在法律法规和本基金合同规定的范围内变更基金的申购费率、赎回费率或收费方式; (3)因相应的法律法规发生变动必须对基金合同进行修改; (4)对基金合同的修改不涉及本基金合同当事人权利义务关系发生重大变化; (5)基金合同的修改对基金份额持有人利益无实质性不利影响; (6)按照法律法规或本基金合同规定不需召开基金份额持有人大会的其他情形。 2.关于变更基金合同的基金份额持有人大会决议应报中国证监会核准或备案,并于中国证监会核准或出具无异议意见后生效执行。基金管理人应在上述基金份额持有人大会决议生效按照《信息披露办法》的有关规定在指定媒体公告。 (二)本基金合同的终止 有下列情形之一的,本基金合同经中国证监会核准后将终止: 1.基金份额持有人大会决定终止的; 2.基金管理人因解散、破产、撤销等事由,不能继续担任基金管理人的职务,而在6个月内无其他适当的基金管理公司承接其原有权利义务; 3.基金托管人因解散、破产、撤销等事由,不能继续担任基金托管人的职务,而在6个月内无其他适当的托管机构承接其原有权利义务; 4.中国证监会和本合同规定的其他情况。 (三)基金财产的清算 1.基金财产清算组 (1)基金合同终止时,成立基金财产清算组,基金财产清算组在中国证监会的监督下进行基金清算。 (2)基金财产清算组成员由基金管理人、基金托管人、具有从事证券相关业务资格的注册会计师、律师以及中国证监会指定的人员组成。基金财产清算组可以聘用必要的工作人员。 (3)基金财产清算组负责基金财产的保管、清理、估价、变现和分配。基金财产清算组可以依法进行必要的民事活动。 2.基金财产清算程序 基金合同终止,应当按法律法规和本基金合同的有关规定对基金财产进行清算。基金财产清算程序主要包括: (1)基金合同终止后,发布基金财产清算公告; (2)基金合同终止时,由基金财产清算组统一接管基金财产; (3)对基金财产进行清理和确认; (4)对基金财产进行估价和变现; (5)制作清算报告; (6)聘请会计师事务所对清算报告进行审计; (7)聘请律师事务所出具法律意见书; (8)将基金财产清算结果报告中国证监会; (9)参加与基金财产有关的民事诉讼; (10)公布基金财产清算结果; (11)对基金剩余财产进行分配。 3.清算费用 清算费用是指基金财产清算组在进行基金财产清算过程中发生的所有合理费用,清算费用由基金财产清算组优先从基金财产中支付。 4.若在封闭期届满前基金合同终止,则本基金依据基金财产清算的分配方案,将基金财产清算后的全部剩余资产扣除基金财产清算费用、交纳所欠税款并清偿基金债务后,根据前述“虚拟清算”的原则计算并确定增利A、增利B基金份额持有人分别应得的剩余资产比例,并据此比例对增利A、增利B的基金份额持有人进行剩余基金资产的分配。 若在封闭期届满,即本基金转为上市开放式基金(LOF)后基金合同终止,则本基金依据基金财产清算的分配方案,将基金财产清算后的全部剩余资产扣除基金财产清算费用、交纳所欠税款并清偿基金债务后,按基金份额持有人持有的基金份额比例进行分配。 5.基金财产按下列顺序清偿: (1)支付清算费用; (2)交纳所欠税款; (3)清偿基金债务; (4)按基金份额持有人持有的基金份额比例进行分配。 基金财产未按前款(1)-(3)项规定清偿前,不分配给基金份额持有人。 6.基金财产清算的公告 基金财产清算公告于基金合同终止并报中国证监会备案后5个工作日内由基金财产清算组公告;清算过程中的有关重大事项须及时公告;基金财产清算结果经会计师事务所审计,律师事务所出具法律意见书后,由基金财产清算组报中国证监会备案并公告。 7.基金财产清算账册及文件的保存 基金财产清算账册及有关文件由基金托管人保存15年以上。 九、争议的处理和适用的法律 对于因基金合同的订立、内容、履行和解释或与基金合同有关的争议,基金合同当事人应尽量通过协商、调解途径解决。不愿或者不能通过协商、调解解决的,任何一方均有权将争议提交中国国际经济贸易仲裁委员会,按照中国国际经济贸易仲裁委员会届时有效的仲裁规则进行仲裁。仲裁地点为北京市。仲裁裁决是终局的,对各方当事人均有约束力,仲裁费用由败诉方承担。 争议处理期间,基金合同当事人应恪守各自的职责,继续忠实、勤勉、尽责地履行基金合同规定的义务,维护基金份额持有人的合法权益。 本基金合同受中国法律管辖。 十、基金合同存放地和投资者取得基金合同的方式 本基金合同正本一式八份,除中国证监会和银行业监督管理机构各持两份外,基金管理人和基金托管人各持有两份。每份均具有同等的法律效力。 本基金合同可印制成册,供投资人在基金管理人、基金托管人、代销机构和注册登记机构办公场所查阅,但其效力应以基金合同正本为准。 本版导读:
|




