证券时报网络版郑重声明经证券时报社授权,证券时报网独家全权代理《证券时报》信息登载业务。本页内容未经书面授权许可,不得转载、复制或在非证券时报网所属服务器建立镜像。欲咨询授权事宜请与证券时报网联系 (0755-83501827) 。 |
诺安价值增长股票证券投资基金2011年度报告摘要 2012-03-26 来源:证券时报网 作者:
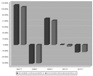
基金管理人:诺安基金管理有限公司 基金托管人:中国工商银行股份有限公司 送出日期:2012年3月26日 §1 重要提示 1.1 重要提示 基金管理人的董事会、董事保证本报告所载资料不存在虚假记载、误导性陈述或重大遗漏,并对其内容的真实性、准确性和完整性承担个别及连带的法律责任。本年度报告已经三分之二以上独立董事签字同意,并由董事长签发。 基金托管人中国工商银行股份有限公司根据本基金合同规定,于2012年3月20日复核了本报告中的财务指标、净值表现、利润分配情况、财务会计报告、投资组合报告等内容,保证复核内容不存在虚假记载、误导性陈述或者重大遗漏。 基金管理人承诺以诚实信用、勤勉尽责的原则管理和运用基金资产,但不保证基金一定盈利。 基金的过往业绩并不代表其未来表现。投资有风险,投资者在作出投资决策前应仔细阅读本基金的招募说明书及其更新。 本年度报告摘要摘自年度报告正文,投资者欲了解详细内容,应阅读年度报告正文。 本报告期自2011年1月1日起至12月31日止。 §2 基金简介 2.1 基金基本情况 ■ 2.2 基金产品说明 ■ 2.3 基金管理人和基金托管人 ■ 2.4 信息披露方式 ■ §3 主要财务指标、基金净值表现及利润分配情况 3.1 主要会计数据和财务指标 金额单位:人民币元 ■ 注:① 上述基金业绩指标不包括持有人交易基金的各项费用,计入费用后实际收益水平要低于所列数字。 ② 本期已实现收益指基金本期利息收入、投资收益、其他收入(不含公允价值变动收益)扣除相关费用后的余额,本期利润为本期已实现收益加上本期公允价值变动收益。 ③ 期末可供分配利润是采用资产负债表中未分配利润与未分配利润中已实现部分的孰低数。 3.2 基金净值表现 3.2.1 基金份额净值增长率及其与同期业绩比较基准收益率的比较 ■ 注:本基金的业绩比较基准为:80%×富时中国A600指数+20%×富时中国国债全价指数。 3.2.2 自基金合同生效以来基金份额累计净值增长率变动及其与同期业绩比较基准收益率变动的比较 ■ 3.2.3 过去五年基金每年净值增长率及其与同期业绩比较基准收益率的比较 ■ 3.3 过去三年基金的利润分配情况 本基金过去三年无利润分配。 §4 管理人报告 4.1 基金管理人及基金经理情况 4.1.1 基金管理人及其管理基金的经验 截至2011年12月,本基金管理人共管理18只开放式基金:诺安平衡证券投资基金、诺安货币市场基金、诺安股票证券投资基金、诺安优化收益债券型证券投资基金、诺安价值增长股票证券投资基金、诺安灵活配置混合型证券投资基金、诺安成长股票型证券投资基金、诺安增利债券型证券投资基金、诺安中证100指数证券投资基金、诺安中小盘精选股票型证券投资基金、诺安主题精选股票型证券投资基金、诺安全球黄金证券投资基金、上证新兴产业交易型开放式指数证券投资基金、诺安上证新兴产业交易型开放式指数证券投资基金联接基金、诺安保本混合型证券投资基金、诺安多策略股票型证券投资基金、诺安油气能源股票证券投资基金(LOF)和诺安全球收益不动产证券投资基金。 4.1.2 基金经理(或基金经理小组)及基金经理助理简介 ■ 注:①此处的任职日期和离任日期均为公司作出决定并对外公告之日。 ②证券从业的含义遵从行业协会《证券业从业人员资格管理办法》的相关规定等。 4.2 管理人对报告期内本基金运作遵规守信情况的说明 报告期间,诺安价值增长股票证券投资基金管理人严格遵守了《中华人民共和国证券投资基金法》及其他有关法律法规,遵守了《诺安价值增长股票证券投资基金基金合同》的规定,遵守了本公司管理制度。本基金投资管理未发生违法违规行为。 4.3 管理人对报告期内公平交易情况的专项说明 4.3.1 公平交易制度的执行情况 本基金管理人一贯公平对待旗下管理的所有基金和组合,并根据《证券投资基金管理公司公平交易制度指导意见》制定了《诺安基金管理有限公司公平交易制度》以及相应的流程,并通过系统和人工等方式在各环节严格控制,保证了公平交易的严格执行,本报告期内未出现任何违反公平交易制度的行为。 4.3.2 本投资组合与其他投资风格相似的投资组合之间的业绩比较 本基金与诺安股票证券投资基金(简称“诺安股票”)为投资风格相似的投资组合。报告期内,本基金的净值增长率为-22.69%,诺安股票的净值增长率为-27.72%,两者相差5.03个百分点。 对两只基金进行业绩归因分析表明:1、本基金的行业选择效用比诺安股票的行业选择效用高5.38%;2、本基金的个股选择效用比诺安股票的个股选择效用高7.02%。因此行业选择效用和个股选择效用是造成净值增长率差异的主要原因。 4.3.3 异常交易行为的专项说明 报告期内,本基金不存在异常交易情况。 4.4 管理人对报告期内基金的投资策略和业绩表现的说明 4.4.1 报告期内基金投资策略和运作分析 在2011年前三个季度,基于对市场风格以及估值的谨慎观点,本基金在防御性较强的权重行业上保持了较高的配置比例,在一定程度上减少了净值损失。但是,在第四季度,由于宏观形势趋于明朗,市场估值水平趋于合理,基金对持股结构进行了调整,增持了部分中小市值个股,但由于当期市场出现了快速下跌,对净值造成了较大损失。此外,本基金重点配置的部分自下而上选择个股在系统性风险的影响下也出现了明显调整。 纵观2011年的运作,尽管对于市场估值两极分化带来的风险有所认识,但是,由于对市场调整的深度估计不足,并且坚持了左侧操作的原则,本基金未能完全回避市场的系统性调整,导致基金全年出现了明显的负收益。 4.4.2 报告期内基金的业绩表现 截至报告期末,本基金份额净值为0.7496元。本报告期基金份额净值增长率为-22.69%,同期业绩比较基准收益率为-21.48%。 4.5 管理人对宏观经济、证券市场及行业走势的简要展望 展望2012年全年,我们对宏观经济持谨慎乐观的态度。尽管由于地产调整以及海外因素,宏观经济在上半年预计将出现同比增速下降的情况,但是,从人均资本存量等指标衡量,中国经济仍然具有较为强劲的内生增长动力,同时,中国政府仍然具有较大的经济调控手段,因此,经济出现超预期下降的可能性较小。在相对较为乐观的预期下,地产调控导致的相关产业链收缩恰好可以为消费需求的扩张以及新兴产业的崛起提供必要的资源空间。 展望2012年全年,我们目前认为证券市场将呈现震荡企稳的格局。这是因为,一方面,如上所述,我们对宏观经济形势持谨慎乐观态度,因此,至少在对下半年及2013年的经济形势能有大体的判断之前,我们对货币环境的前景持谨慎态度,市场缺乏系统性上涨的货币基础。另一方面,我们认为以银行为代表的权重行业估值水平实际已经较为充分的反映了对经济增长的隐忧,因此,市场下跌空间也较为有限。 展望2012年全年,我们相对看好部分中小市值个股。在过去的几年中,市场对于中小市值股票的观点发生了明显的变化,从前两年的全面普涨一变而为去年的全面下跌。尽管我们不认同所有中小市值股票都有很大增长空间这类观点,我们同样不认同对中小市值股票一概否定的观点。从自下而上的角度来看,我们认为,部分中小市值股票确实具有广阔的发展空间与坚实的基本面基础,由于中小市值股票已经出现了显著调整,其中的部分标的已经进入了价值投资区间,因此,我们认为,未来的一到两年中中小盘个股将出现大幅分化,市场的主要投资机会将主要在于业绩能够保持持续快速增长的部分中小盘品种。 4.6 管理人对报告期内基金估值程序等事项的说明 报告期内,本基金管理人严格遵守《企业会计准则》、《证券投资基金会计核算业务指引》以及中国证券监督管理委员会颁布的《关于证券投资基金执行〈企业会计准则〉估值业务及份额净值计价有关事项的通知》与《关于进一步规范证券投资基金估值业务的指导意见》等相关规定和基金合同的约定,日常估值由本基金管理人与本基金托管人一同进行,基金份额净值由本基金管理人完成估值后,经本基金托管人复核无误后由本基金管理人对外公布。月末、年中和年末估值复核与基金会计账务的核对同时进行。 报告期内,公司制定了证券投资基金的估值政策和程序,并由研究部、财务综合部、监察稽核部和风险管理人员、固定收益人员及基金经理等组成了估值小组,负责研究、指导基金估值业务。估值小组成员均为公司各部门人员,均具有基金从业资格、专业胜任能力和相关工作经历,且之间不存在任何重大利益冲突。基金经理作为公司估值小组的成员,不介入基金日常估值业务,但应参加估值小组会议,可以提议测算某一投资品种的估值调整影响,并有权表决有关议案但仅享有一票表决权,从而将其影响程度进行适当限制,保证基金估值的公平、合理,保持估值政策和程序的一贯性。 报告期内,本基金未签约与估值相关的定价服务。 4.7 管理人对报告期内基金利润分配情况的说明 本基金合同约定,在符合有关基金分红条件的前提下,本基金每年收益分配次数最多为六次,全年分配比例不得低于年度可供分配收益的90%;基金投资当期出现净亏损,则不进行收益分配;基金当年收益应先弥补上一年度亏损后,才可进行当年收益分配。 本报告期内,本基金未进行收益分配。 §5 托管人报告 5.1 报告期内本基金托管人遵规守信情况声明 2011年,本基金托管人在对诺安价值增长股票证券投资基金的托管过程中,严格遵守《证券投资基金法》及其他法律法规和基金合同的有关规定,不存在任何损害基金份额持有人利益的行为,完全尽职尽责地履行了基金托管人应尽的义务。 5.2 托管人对报告期内本基金投资运作遵规守信、净值计算、利润分配等情况的说明 2011年,诺安价值增长股票证券投资基金的管理人——诺安基金管理有限公司在诺安价值增长股票证券投资基金的投资运作、基金资产净值计算、基金份额申购赎回价格计算、基金费用开支等问题上,不存在任何损害基金份额持有人利益的行为,在各重要方面的运作严格按照基金合同的规定进行。本报告期内,诺安价值增长股票证券投资基金未进行利润分配。 5.3 托管人对本年度报告中财务信息等内容的真实、准确和完整发表意见 本托管人依法对诺安基金管理有限公司编制和披露的诺安价值增长股票证券投资基金2011年年度报告中财务指标、净值表现、利润分配情况、财务会计报告、投资组合报告等内容进行了核查,以上内容真实、准确和完整。 §6 审计报告 利安达会计师事务所及其经办注册会计师韦雪、赵伟于2012年3月15日出具了利安达审字[2012]第1011号“无保留意见的审计报告”。投资者可通过年度报告正文查看审计报告全文。 §7 年度财务报表 7.1 资产负债表 会计主体:诺安价值增长股票证券投资基金 报告截止日: 2011年12月31日 单位:人民币元 ■ 注:报告截止日2011年12月31日,基金份额净值0.7496元,基金份额总额8,961,149,912.37份。 7.2 利润表 会计主体:诺安价值增长股票证券投资基金 本报告期: 2011年1月1日 至 2011年12月31日 单位:人民币元 ■ 7.3 所有者权益(基金净值)变动表 会计主体:诺安价值增长股票证券投资基金 本报告期:2011年1月1日 至 2011年12月31日 单位:人民币元 ■ 报表附注为财务报表的组成部分。 本报告 7.1 至 7.4 财务报表由下列负责人签署: ______奥成文______ ______薛有为______ ____薛有为____ 基金管理公司负责人 主管会计工作负责人 会计机构负责人 7.4 报表附注 7.4.1 本报告期所采用的会计政策、会计估计与最近一期年度报告相一致的说明 本报告期所采用的会计政策、会计估计与最近一期年度报告相一致。 7.4.2 差错更正的说明 本基金本报告期无差错更正。 7.4.3 关联方关系 ■ 注:下述关联方交易均在正常业务范围内,按一般商业条款订立。 7.4.4 本报告期及上年度可比期间的关联方交易 7.4.4.1 通过关联方交易单元进行的交易 7.4.4.1.1 股票交易 本基金本报告期及上年度可比期间未通过关联方交易单元进行股票交易。 7.4.4.1.2 权证交易 本基金本报告期及上年度可比期间未通过关联方交易单元进行权证交易。 7.4.4.1.3 应支付关联方的佣金 本基金本报告期及上年度可比期间未通过关联方交易单元进行交易。 7.4.4.2 关联方报酬 7.4.4.2.1 基金管理费 单位:人民币元 ■ 注:A.基金管理费按前一日的基金资产净值的1.5%的年费率计提,计算方法如下: H=E×1.5%/当年天数 H为每日应计提的基金管理费 E为前一日的基金资产净值 B. 基金管理费每日计算,逐日累计至每月月底,按月支付;由基金托管人于次月前两个工作日内从基金资产中一次性支付给基金管理人。 7.4.4.2.2 基金托管费 单位:人民币元 ■ 注:A.基金托管费按前一日的基金资产净值的0.25%的年费率计提。计算方法如下: H=E×0.25%/当年天数 H为每日应计提的基金托管费 E为前一日的基金资产净值 B. 基金托管费每日计算,逐日累计至每月月底,按月支付;由基金托管人于次月前两个工作日内从基金资产中一次性支取。 7.4.4.3 与关联方进行银行间同业市场的债券(含回购)交易 本基金于本报告期及上年度可比期间与关联方无银行间同业市场的债券(含回购)交易。 7.4.4.4 各关联方投资本基金的情况 7.4.4.4.1 报告期内基金管理人运用固有资金投资本基金的情况 份额单位:份 ■ 注:基金管理人运用固有资金投资本基金相关费率按照基金合同及招募说明书规定执行。 7.4.4.4.2 报告期末除基金管理人之外的其他关联方投资本基金的情况 本报告期末及上年度末基金管理人主要股东及其控制机构未持有本基金的基金份额。 7.4.4.5 由关联方保管的银行存款余额及当期产生的利息收入 单位:人民币元 ■ 7.4.4.6 本基金在承销期内参与关联方承销证券的情况 本基金在承销期内无参与关联方承销证券的情况。 7.4.4.7 其他关联交易事项的说明 本基金本报告期无其他关联交易事项。 7.4.5 期末( 2011年12月31日 )本基金持有的流通受限证券 7.4.5.1 因认购新发/增发证券而于期末持有的流通受限证券 本基金本报告期未持有因认购新发/增发而流通受限的证券。 7.4.5.2 期末持有的暂时停牌等流通受限股票 金额单位:人民币元 ■ 7.4.5.3 期末债券正回购交易中作为抵押的债券 7.4.5.3.1 银行间市场债券正回购 截至本报告期末2011年12月31日止,本基金从事银行间市场债券正回购交易形成的卖出回购证券款余额为0.00元,无债券作为抵押。 7.4.5.3.2 交易所市场债券正回购 截至本报告期末2011年12月31日止,本基金从事证券交易所债券正回购交易形成的卖出回购证券款余额0.00元。该类交易要求本基金在回购期内持有的证券交易所交易的债券和在新质押式回购下转入质押库的债券,按证券交易所规定的比例折算为标准券后,不低于债券回购交易的余额。 7.4.6 有助于理解和分析会计报表需要说明的其他事项 根据中国证监会公告[2008]38号《关于进一步规范证券投资基金估值业务的指导意见》有关规定,本基金自2008年9月16日起采用《中国证券业协会基金估值工作小组关于停牌股票估值的参考方法》提供的指数收益法对本基金持有的长期停牌股票进行估值。 本基金所持有的股票中百集团(000759)自2011年5月23日起,采用指数收益法进行估值,对本基金当日净利润和资产净值的影响为减少人民币25,994,016.40元,根据中百集团复牌后的市场表现及基金的实际情况,于2011年10月10日起对该股票恢复采用市价估值方法进行估值。 本基金所持有的股票鄂武商A(000501)自2011年5月25日起,采用指数收益法进行估值,对本基金当日净利润和资产净值的影响为减少人民币940,429.84 元。根据鄂武商A复牌后的市场表现及基金的实际情况,经与基金托管人协商一致,于2011年6月9日起对该股票恢复采用市价估值方法进行估值。 §8 投资组合报告 8.1 期末基金资产组合情况 金额单位:人民币元 ■ 8.2 期末按行业分类的股票投资组合 金额单位:人民币元 ■ 8.3 期末按公允价值占基金资产净值比例大小排序的前十名股票投资明细金额单位:人民币元 ■ 提示:投资者欲了解本报告期末基金投资的所有股票明细,应阅读登载于www.lionfund.com.cn网站的年度报告正文。 8.4 报告期内股票投资组合的重大变动 8.4.1 累计买入金额超出期初基金资产净值2%或前20名的股票明细 金额单位:人民币元 ■ 注:本期累计买入金额按买卖成交金额,不考虑相关交易费用。 8.4.2 累计卖出金额超出期初基金资产净值2%或前20名的股票明细 金额单位:人民币元 ■ 注:本期累计卖出金额按买卖成交金额,不考虑相关交易费用。 8.4.3 买入股票的成本总额及卖出股票的收入总额 单位:人民币元 ■ 8.5 期末按债券品种分类的债券投资组合 金额单位:人民币元 ■ 8.6 期末按公允价值占基金资产净值比例大小排名的前五名债券投资明细 金额单位:人民币元 ■ 注:本基金本报告期末仅持有上述债券。 8.7 期末按公允价值占基金资产净值比例大小排序的前十名资产支持证券投资明细 本基金本报告期末未持有资产支持证券。 8.8 期末按公允价值占基金资产净值比例大小排名的前五名权证投资明细 本基金本报告期末未持有权证。 8.9 投资组合报告附注 8.9.1 本基金本报告期投资的前十名证券的发行主体,本期没有出现被监管部门立案调查的情形,也没有出现在报告编制日前一年内受到公开谴责、处罚的情形。 8.9.2 本基金投资的前十名股票中,没有投资于超出基金合同规定备选股票库之外的股票。 8.9.3 期末其他各项资产构成 单位:人民币元 ■ 8.9.4 期末持有的处于转股期的可转换债券明细 本基金本报告期末未持有处于转股期的可转换债券。 8.9.5 期末前十名股票中存在流通受限情况的说明 本基金本报告期末前十名股票中不存在流通受限的情况。 8.9.6 投资组合报告附注的其他文字描述部分 由于四舍五入原因,分项之和与合计可能有尾差。 §9 基金份额持有人信息 9.4 期末基金份额持有人户数及持有人结构 份额单位:份 ■ 9.5 期末基金管理人的从业人员持有本开放式基金的情况 ■ §10 开放式基金份额变动 单位:份 ■ 注:总申购份额含红利再投、转换入份额,总赎回份额含转换出份额。 §11 重大事件揭示 11.4 基金份额持有人大会决议 ■ 11.5 基金管理人、基金托管人的专门基金托管部门的重大人事变动 ■ 11.6 涉及基金管理人、基金财产、基金托管业务的诉讼 ■ 11.7 基金投资策略的改变 ■ 11.8 为基金进行审计的会计师事务所情况 ■ 11.9 管理人、托管人及其高级管理人员受稽查或处罚等情况 ■ 11.10 基金租用证券公司交易单元的有关情况 11.10.1 基金租用证券公司交易单元进行股票投资及佣金支付情况 金额单位:人民币元 ■ 注:1、本报告期租用证券公司交易单元的变更情况: 无。 2、专用交易单元的选择标准和程序 基金管理人选择使用基金专用交易单元的证券经营机构的选择标准为: (1) 实力雄厚,信誉良好,注册资本不少于3 亿元人民币。 (2) 财务状况良好,各项财务指标显示公司经营状况稳定。 (3) 经营行为规范,最近两年未发生重大违规行为而受到中国证监会处罚。 (4) 内部管理规范、严格,具备健全的内控制度,并能满足基金运作高度保密的要求。 (5) 具备基金运作所需的高效、安全的通讯条件,交易设施符合代理本基金进行证券交易的需要,并能为本基金提供全面的信息服务。 (6)、研究实力较强,有固定的研究机构和专门的研究人员,能及时为本基金提供高质量的咨询服务。 基金管理人根据以上标准进行评估后确定证券经营机构的选择,与被选择的券商签订《专用证券交易单元租用协议》。 11.10.2 基金租用证券公司交易单元进行其他证券投资的情况 金额单位:人民币元 ■ 注:本基金租用的证券公司交易单元本期无权证交易。 §12 影响投资者决策的其他重要信息 ■ 投资者对本报告书如有疑问,可致电本基金管理人全国统一客户服务电话:400-888-8998,亦可至基金管理人网站 www.lionfund.com.cn查阅详情。 诺安基金管理有限公司 2012年3月26日 本版导读:
|


