证券时报网络版郑重声明经证券时报社授权,证券时报网独家全权代理《证券时报》信息登载业务。本页内容未经书面授权许可,不得转载、复制或在非证券时报网所属服务器建立镜像。欲咨询授权事宜请与证券时报网联系 (0755-83501827) 。 |
信达澳银稳定价值债券型证券投资基金招募说明书(更新)摘要2013年第1期 2013-05-21 来源:证券时报网 作者:
基金管理人:信达澳银基金管理有限公司 基金托管人:中国建设银行股份有限公司 二〇一三年五月 重要提示 信达澳银稳定价值债券型证券投资基金(以下简称“本基金”)于2009年2月5日经中国证监会证监许可【2009】102号文核准募集。根据相关法律法规,本基金基金合同已于2009年4月8日生效,基金管理人于该日起正式开始对基金财产进行运作管理。 基金管理人保证招募说明书的内容真实、准确、完整。本招募说明书经中国证监会核准,但中国证监会对本基金募集的核准,并不表明其对本基金的价值和收益做出实质性判断或保证,也不表明投资于本基金没有风险。 基金管理人依照恪尽职守、诚实信用、谨慎勤勉的原则管理和运用基金财产,基金管理人不保证基金一定盈利,也不保证最低收益。 本基金投资于证券市场,基金净值会因为证券市场波动等因素产生波动,投资者在投资本基金前,应全面了解本基金的产品特性,充分考虑自身的风险承受能力,理性判断市场,对认购基金的意愿、时机、数量等投资行为作出独立决策,获得基金投资收益,亦承担基金投资中出现的各类风险,包括:因整体政治、经济、社会等环境因素对证券价格产生影响而形成的系统性风险,个别证券特有的非系统性风险,由于基金投资人连续大量赎回基金产生的流动性风险,基金管理人在基金管理实施过程中产生的基金管理风险等。 本基金是债券基金,风险低于股票基金、混合基金,高于货币市场基金,属于风险较低、收益较低的品种。 基金的过往业绩并不预示其未来表现。 投资有风险,投资者在进行投资决策前,请仔细阅读本基金的《招募说明书》及《基金合同》。 本招募说明书中与托管业务相关的更新信息已经本基金托管人复核。本招募说明书所载内容截止日为2013年4月7日,所载财务数据和净值表现截至2013年3月31日(财务数据未经审计)。 一、基金管理人 (一)基金管理人概况 名称:信达澳银基金管理有限公司 住所:广东省深圳市福田区深南大道7088号招商银行大厦24层 办公地址:广东省深圳市福田区深南大道7088号招商银行大厦24层 邮政编码:518040 成立日期:2006年6月5日 批准设立机关:中国证券监督管理委员会 批准设立文号:中国证监会证监基金字【2006】071号 法定代表人:何加武 电话:0755-83172666 传真:0755-83199091 联系人:郑妍 经营范围:基金募集、基金销售、资产管理和中国证监会许可的其他业务 组织形式:有限责任公司 注册资本:壹亿元人民币 股本结构:中国信达资产管理股份有限公司出资5400万元,占公司总股本的54%;康联首域集团有限公司(Colonial First State Group Limited)出资4600万元,占公司总股本的46% 存续期间:持续经营 (二)主要人员情况 1、董事、监事、高级管理人员 董事: 何加武先生,董事长,代总经理,中南财经大学本科毕业。1982年8月至1996年1月在中国建设银行总行工作,历任科长、副处长、处长、副主任。1996年1月至1997年6月任中国信达信托投资公司副总经理,1997年6月至2003年6月任宏源证券股份有限公司总经理,2003年6月至2005年1月任宏源证券股份有限公司副董事长,2005年1月至2006年4月任中国信达资产管理公司金融风险研究中心研究员,2006年4月起任信达澳银基金管理有限公司董事长,2012年12月5日起代行信达澳银基金管理有限公司总经理,2013年3月12日起任信达新兴财富资产管理有限公司董事长兼总裁。 施普敦(Michael Stapleton)先生,副董事长,澳大利亚墨尔本Monash大学经济学学士。1996年至1998年担任JP摩根投资管理有限公司(澳大利亚)机构客户经理,1998年加入康联首域投资有限公司机构业务开发部门,负责澳大利亚机构客户销售和关系管理,2002年加入首域投资国际(伦敦),历任机构销售总监、机构业务开发主管,2009年6月起担任首域投资有限公司(香港)亚洲及日本区域董事总经理。 万鹏先生,董事,北京联合大学经济学学士,经济师。1989至1999年在建设银行工作,历任支行员工、总行计财部科员。1999年至2007年在中国信达资产管理公司工作,历任资金财务部高级副经理、公司党委秘书、秘书组组长。2007年至2008年在幸福人寿股份有限公司担任董事会秘书。2008年至2012年在信达财产保险股份有限公司担任副总裁、党委委员。2012年3月起在中国信达资产管理公司担任监事会办公室主任。 黄慧玲(Ng Hui Lin)女士,董事,新加坡国立大学工商管理学士。历任DBS资产管理公司(DBS Asset Management)营销主管,SG资产管理公司(SG Asset Management )商业开发经理,亨德森全球投资(Henderson Global Investors)业务拓展经理,首域投资有限公司(新加坡)渠道销售总监,摩根士丹利投资管理公司执行总监、副总裁。2010年4月起任首域投资有限公司(新加坡)东南亚区的董事总经理。 支德勤先生,独立董事,湖北财经专科学校毕业,高级经济师。历任中国人民银行襄樊分行行长、中国人民银行西藏自治区分行副行长、中国人民银行会计司副司长、中国人民银行武汉分行副行长、中国银行业监督管理委员会湖北监管局副局长、中国银行业监督管理委员会河南监管局局长、中国银行业监督管理委员会湖北监管局巡视员、中国银行业监督管理委员会党委巡视组组长、第十届湖北省政协经济委员会副主任,现任住房和城乡建设部住房公积金督察员、武汉农村商业银行股份有限公司独立董事。支德勤先生具备良好的诚信记录及职业操守,未发现有被监管机构予以行政处罚或采取行政监管措施的情况。 孙志新先生,独立董事,山西财经学院财政金融学学士,高级经济师。历任中国建设银行总行人事教育部副处长,总行教育部副主任,总行监察室主任,广东省分行党组副书记、副行长,广西区分行党委书记、行长,总行人力资源部总经理(党委组织部部长),总行个人业务管理委员会副主任,总行党校(高级研修院)常务副校长,总行人力资源部总经理(党委组织部部长),总行工会常务副主席,总行监事会监事。孙志新先生具备良好的诚信记录及职业操守,未发现有被监管机构予以行政处罚或采取行政监管措施的情况。 刘颂兴先生,独立董事,香港中文大学工商管理硕士。历任W.I.Carr(远东)有限公司投资分析师,霸菱国际资产管理有限公司投资分析师、投资经理,纽约摩根担保信托公司Intl投资管理副经理,景顺亚洲有限公司投资董事,汇丰资产管理(香港)有限公司(2005年5月起改组为汇丰卓誉投资管理公司)股票董事,中银保诚资产管理有限公司投资董事,新鸿基地产有限公司企业策划总经理,中国平安资产管理(香港)有限公司高级副总裁兼股票投资董事,中国国际金融(香港)有限公司资产管理部执行董事,Seekers Advisors(香港)有限公司执行董事兼投资总监。2012年6月19日起全职担任广发资产管理(香港)有限公司董事总经理。刘颂兴先生具备良好的诚信记录及职业操守,未发现有被监管机构予以行政处罚或采取行政监管措施的情况。 监事: 张国英女士,河北大学经济学硕士,历任中国人民银行石家庄市支行团委书记,中国建设银行河北省分行副行长、党委书记,中国信达资产管理公司石家庄办事处主任、党委书记、中国信达资产管理公司党委组织部和人力资源部部长,现任中国信达资产管理股份有限公司党委组织部和人力资源部总经理,2008年11月兼任信达澳银基金管理有限公司监事。 潘广建先生,英国伯明翰大学工商管理硕士,加拿大注册会计师协会会计师。曾任职于德勤会计师事务所稽核部、香港期货交易所监察部,1997年起历任山一证券分析员、证券及期货事务监察委员会中介团体及投资产品部助理经理、强制性公积金计划管理局强制性公积金计划及产品经理、景顺亚洲业务发展经理、景顺长城基金管理公司财务总监、AXA国卫市场部总经理、银联信托有限公司市场及产品部主管、荷兰银行投资管理有限公司大中华区总经理助理,2007年5月起任首域投资(香港)有限公司中国业务开发总监,2007年8月起兼任信达澳银基金管理有限公司监事。 高级管理人员: 黄晖女士,督察长,加拿大Concordia University经济学硕士。17年证券、基金从业经历,具有证券与基金从业资格、基金业高管人员任职资格,历任大成基金管理有限公司研究部分析师、市场部副总监、规划发展部副总监、机构理财部总监等职务,其间参与英国政府“中国金融人才培训计划”(FIST项目),赴伦敦任职于东方汇理证券公司(伦敦),其后借调到中国证监会基金部工作,参与老基金重组、首批开放式基金评审等工作。2005年8月加入信达澳银基金管理有限公司,任督察长兼董事会秘书。 王战强先生,副总经理兼投资总监,武汉大学经济学硕士,16年证券研究、投资从业经历,具有证券与基金从业资格。历任国泰君安证券公司研究所电信行业分析员、行业公司研究部主管、证券投资部研究主管。2006年6月加入信达澳银基金管理有限公司,历任投资研究部首席分析师、投资副总监、执行投资总监、投资总监、总经理助理兼投资总监、副总经理兼投资总监;信达澳银精华灵活配置混合型证券投资基金基金经理(2008年7月30日至2010年5月25日),信达澳银领先增长股票型证券投资基金基金经理(2008年12月25日至今)。 于鹏先生,副总经理,中国人民大学经济学学士。19年证券、基金从业经历,具有证券与基金从业资格,历任中国建设银行总行信托投资公司证券总部驻武汉证券交易中心交易员、计划财务部会计、深圳证券营业部计划财务部副经理、经理;中国信达信托投资公司北京证券营业部总经理助理兼计财部经理;宏源证券股份有限公司北京营业部副总经理、机构管理总部业务监控部经理兼清算中心经理、资金财务总部副总经理、资金管理总部总经理兼客户资金存管中心总经理等职务。2005年10月加入信达澳银基金管理有限公司,历任财务总监、总经理助理兼财务总监、副总经理。 王学明先生,副总经理,中南大学商学院管理科学与工程博士研究生,19年证券、基金从业经历,具有中国律师从业资格、证券与基金从业资格,历任中国建设银行信托投资公司证券业务部综合处副处长;中国信达信托投资公司证券总部证券业务管理部经理;宏源证券股份有限公司机构管理总部副总经理、综合管理总部副总经理兼浙江管理总部副总经理、董事会办公室主任等职务。2005年10月加入信达澳银基金管理有限公司,历任运营总监、总经理助理兼运营总监、副总经理。2013年3月12日起任信达新兴财富资产管理有限公司副总裁兼投资总监。 其他经理层人员: 封雪梅女士,总经理助理兼市场总监,首都经济贸易大学经济学硕士。15年银行、基金从业经历,具有证券与基金从业资格、中国注册会计师资格。历任中国工商银行北京分行营业部信贷部经理,大成基金管理有限公司市场开发部产品设计师、金融工程部产品设计师、规划发展部高级经理;2006年2月加入信达澳银基金管理有限公司,历任市场副总监兼北京分公司副总经理、市场总监,总经理助理兼市场总监。 周慢文先生,宏观战略研究中心研究主管兼行政总监,北京大学经济学硕士。13年基金从业经历,具有基金从业资格,历任大成基金管理有限公司研究发展部研究员助理、市场部产品设计师、金融工程部数量分析师、规划发展部高级经理,宝盈基金管理有限公司市场开发部副总监,2006年2月加入信达澳银基金管理有限公司,历任公司监察稽核副总监兼董事会办公室主任、行政总监。2013年3月12日起任信达新兴财富资产管理有限公司副总裁兼财富管理总监。 2、基金经理 (1)现任基金经理
(2)历任基金经理
3、公司投资审议委员会 公司投资审议委员会由5名成员组成,设主席1名,执行委员1名,委员3名。名单如下: 主席:何加武,董事长,代总经理 执行委员:王战强,副总经理兼投资总监 委员:王学明,副总经理 曾国富,研究副总监、基金经理 孔学峰,固定收益副总监、基金经理 上述人员之间不存在亲属关系。 二、基金托管人 1、基本情况 名称:中国建设银行股份有限公司(简称:中国建设银行) 住所:北京市西城区金融大街25号 办公地址:北京市西城区闹市口大街1号院1号楼 法定代表人:王洪章 成立时间:2004年09月17日 组织形式:股份有限公司 注册资本:贰仟伍佰亿壹仟零玖拾柒万柒仟肆佰捌拾陆元整 存续期间:持续经营 基金托管资格批文及文号:中国证监会证监基字[1998]12号 联系人:田青 联系电话:(010) 6759 5096 中国建设银行股份有限公司拥有悠久的经营历史,其前身“中国人民建设银行”于1954年成立,1996年易名为“中国建设银行”。中国建设银行是中国四大商业银行之一。中国建设银行股份有限公司由原中国建设银行于2004年9月分立而成立,承继了原中国建设银行的商业银行业务及相关的资产和负债。中国建设银行(股票代码:939)于2005年10月27日在香港联合交易所主板上市,是中国四大商业银行中首家在海外公开上市的银行。2006年9月11日,中国建设银行又作为第一家H股公司晋身恒生指数。2007年9月25日中国建设银行A股在上海证券交易所上市并开始交易。A股发行后中国建设银行的已发行股份总数为:250,010,977,486股(包括240,417,319,880股H股及9,593,657,606股A股)。 截至2012 年12月31日,中国建设银行资产总额139,728.28亿元,较上年末增长13.77%。2012年,中国建设银行实现净利润1,936.02亿元,较上年同期增长14.26%。年化资产回报率为1.47%,年化加权净资产收益率为21.98%。利息净收入3532.02亿元,较上年同期增长15.97%。净利差为2.58%,净利息收益率为2.75%,均较上年同期提高0.01个百分点。手续费及佣金净收入962.18亿元,较上年同期增长7.51%。 中国建设银行在中国内地设有1.4万余个分支机构,并在香港、新加坡、法兰克福、约翰内斯堡、东京、首尔、纽约、胡志明市、悉尼、墨尔本设有分行,在莫斯科、台北设有代表处,海外机构已覆盖到全球13 个国家和地区,基本完成在全球主要金融中心的网络布局,24 小时不间断服务能力和基本服务架构已初步形成。中国建设银行筹建、设立村镇银行26家,拥有建行亚洲、建银国际,建行伦敦、建信基金、建信金融租赁、建信信托、建信人寿、中德住房储蓄银行等多家子公司,为客户提供一体化全面金融服务能力进一步增强。 2012年,本集团各方面良好表现,得到市场与社会各界广泛认可,先后荣获国内外知名机构授予的30多个重要奖项。在英国《银行家》杂志联合Brand Finance发布的“世界银行品牌500强”以及Interbrand发布的“2012年度中国最佳品牌”中,位列中国银行业首位;在美国《财富》杂志“世界500强排名”中列第77位,较上年上升31位。此外,本集团还荣获了国内外重要机构授予的包括公司治理、中小企业服务、私人银行、现金管理、托管、投行、投资者关系和企业社会责任等领域的多个专项奖。 中国建设银行总行设投资托管业务部,下设综合处、基金市场处、证券保险资产市场处、理财信托股权市场处、QFII托管处、核算处、清算处、监督稽核处、涉外资产核算团队、养老金托管处、托管业务系统规划与管理团队、上海备份中心等12个职能处室、团队,现有员工210人。自2007年起,托管部连续聘请外部会计师事务所对托管业务进行内部控制审计,并已经成为常规化的内控工作手段。 2、主要人员情况 杨新丰,投资托管业务部总经理,曾就职于中国建设银行江苏省分行、广东省分行、中国建设银行总行会计部、营运管理部,长期从事计划财务、会计结算、营运管理等工作,具有丰富的客户服务和业务管理经验。 纪伟,投资托管业务部副总经理,曾就职于中国建设银行南通分行、中国建设银行总行计划财务部、信贷经营部、公司业务部,长期从事大客户的客户管理及服务工作,具有丰富的客户服务和业务管理经验。 张军红,投资托管业务部副总经理,曾就职于中国建设银行青岛分行、中国建设银行零售业务部、个人银行业务部、行长办公室,长期从事零售业务和个人存款业务管理等工作,具有丰富的客户服务和业务管理经验。 郑绍平,投资托管业务部副总经理,曾就职于中国建设银行总行投资部、委托代理部,长期从事客户服务、信贷业务管理等工作,具有丰富的客户服务和业务管理经验。 3、基金托管业务经营情况 作为国内首批开办证券投资基金托管业务的商业银行,中国建设银行一直秉持“以客户为中心”的经营理念,不断加强风险管理和内部控制,严格履行托管人的各项职责,切实维护资产持有人的合法权益,为资产委托人提供高质量的托管服务。经过多年稳步发展,中国建设银行托管资产规模不断扩大,托管业务品种不断增加,已形成包括证券投资基金、社保基金、保险资金、基本养老个人账户、QFII、企业年金等产品在内的托管业务体系,是目前国内托管业务品种最齐全的商业银行之一。截至2012年12月31日,中国建设银行已托管285只证券投资基金。建设银行专业高效的托管服务能力和业务水平,赢得了业内的高度认同。中国建设银行在2005年及自2009年起连续四年被国际权威杂志《全球托管人》评为“中国最佳托管银行”,在2007年及2008年连续被《财资》杂志评为“国内最佳托管银行”奖,并获和讯网2011年度和2012年度中国“最佳资产托管银行”奖,和境内权威经济媒体《每日经济观察》2012年度“最佳基金托管银行”奖。 三、相关服务机构 (一)销售机构及联系人 1、直销机构 名称:信达澳银基金管理有限公司 住所:广东省深圳市福田区深南大道7088号招商银行大厦24层 办公地址:广东省深圳市福田区深南大道7088号招商银行大厦24层 法定代表人:何加武 电话:0755-83077068 传真:0755-83077038 联系人:王丽燕 公司网址:www.fscinda.com 邮政编码:518040 2、代销机构
基金管理人可根据有关法律法规的要求,选择其它符合要求的机构代理销售本基金或变更上述代销机构,并及时公告。 (二)注册登记机构 名称:信达澳银基金管理有限公司 住所:广东省深圳市福田区深南大道7088号招商银行大厦24层 办公地址:广东省深圳市福田区深南大道7088号招商银行大厦24层 法定代表人:何加武 电话:0755-83172666 传真:0755-83196151 联系人:刘玉兰 (三)律师事务所和经办律师 名称:上海源泰律师事务所 办公地址:上海市浦东南路256号华夏银行大厦1405室 电话:021-51150298 传真:021-51150398 联系人:廖海 经办律师:梁丽金、刘佳 (四)会计师事务所和经办注册会计师 名称:德勤华永会计师事务所(特殊普通合伙)北京分所 住所:北京市东城区东长安街1号东方经贸城西二办公楼8层 办公地址:北京市东城区东长安街1号东方经贸城西二办公楼8层 法定代表人:陈建明 联系电话:010-85207788 传真:010-85181218 联系人:韦博 经办注册会计师:景宜青、韦博 四、基金的名称 信达澳银稳定价值债券型证券投资基金 五、基金的运作方式和类型 运作方式:契约型、开放式 类型:债券型证券投资基金 六、基金的投资目标 从长期来看,在有效控制本金风险的前提下,主要追求债券票息收入的最大化,力争实现基金资产的长期稳定增值。 七、基金的投资范围 本基金的投资范围为具有良好流动性的金融工具,包括国内依法发行上市的债券(包括国债、央票、金融债、企业债、公司债、可转换债券、资产支持证券等)、货币市场工具、股票(仅限于首发/增发新股和可转换债券/权证的转股)、权证(仅限于参与可分离转债申购所获得的权证)以及法律法规或中国证监会允许基金投资的其他金融工具。本基金不主动在二级市场购买股票或权证等权益类金融工具。 未来根据法律法规或监管机构相关政策的变动,基金管理人在履行适当程序后,本基金可以相应调整下述投资比例,并且还可以投资于法律法规或监管机构允许投资的其他金融工具。 基金的投资组合比例为:固定收益类资产(含可转换债券)的比例不低于基金资产的80%,持有股票等权益类证券的比例不超过基金资产的20%,现金或者到期日在一年以内的政府债券不低于基金资产净值的5%。 八、基金的投资策略 本基金秉承本公司自下而上的价值投资理念,把注意力集中在对个券公允价值的研究上,精选价值相对低估的个券品种进行投资。通过整体资产配置、类属资产配置、期限配置等手段,有效构造投资组合。 1. 公允价值分析 债券的公允值指投资者要求的足够补偿债券各种风险的收益率。债券投资研究团队通过对通货膨胀、实际利率、期限、信用、流动性、税收等因素的深入分析,运用从公司外方股东首域投资引进的公允值分析方法,确定各券种的公允值。 2. 整体资产配置 整体资产配置层面主要通过对宏观经济、市场利率、债券供求、情景分析、申购、赎回现金流情况等因素的综合分析,决定债券、逆回购、新股申购、现金等资产的配置比例,并确定债券组合的久期。若债券组合的预期持有期收益率远大于回购利率和新股申购收益率,则本基金倾向于配置较多的债券,否则将降低债券资产的配置比例。 3. 类属资产配置 根据我国债券市场的特点,本基金将整个债券市场根据品种、交易场所等细分为不同类属,定期跟踪分析不同类属的风险收益特征,并结合该类属的市场容量、流动性确定其投资比例范围,在此基础上利用信达澳银债券类属配置模型得到债券组合中不同类属资产的最优配置比例。 本基金将根据市场实际利率与公允值的差异、市场风险水平对最优配置比例进行调整。当市场实际利率高于公允值时,本基金将逐步增加这类资产的头寸,目的是获得有吸引力的收入流,反之亦然。 4. 个券选择 本层次将在对个券进行深入研究和估值的基础上选择价值相对低估的品种。具体操作中将专注于对该类属关键驱动因素的研究和分析: 国债/央票/政策性金融债-这些品种的价格风险主要是利率风险,利率水平及其变化与宏观经济紧密相关。在国债投资中主要专注于对影响利率水平及其预期、通胀水平及其预期的各种参数的分析和判断,如国际国内经济周期、GDP增长率及其变化趋势、通货膨胀率及其预期、财政货币政策等,以期预测未来的国债利率期限结构,并基于该期限结构进行估值,以期对国债个券的利率风险和投资价值做出较准确的判断,策略性地决定债券投资的期限结构,从而管理债券投资风险和收益。 企业债/短期融资券-该类属债券的投资将采取与股票投资相似的公司分析方式,对企业的公司治理、发展前景、经营管理、财务状况及偿债能力作出综合评价,从而判断企业债的信用风险,以及企业债信用风险与利率水平的关系,在强调低信用风险的前提下,适当进行企业债投资。 可转债-该类属债券的投资将采用公司分析方式,从管理人独有的QGV、ITC、MDE体系出发全面评价正股的投资价值和债券的信用风险,并分别对期权部分和债券部分进行估值,从而客观评判可转债的投资价值。 5. 新股申购 本基金在满足基金日常申购、赎回流动性基础上根据新股基本面研究择机进行新股申购,以提高基金资产的收益。 运用管理人独有的QGV、ITC、MDE体系出发全面评价新股的投资价值,结合发行价因素,综合考虑网上、网下申购的中签率进行新股申购。 6. 套利和对冲策略 本基金将根据现代金融工程理论,致力于采用各种套利和对冲策略把握市场中存在的套利机会,在承担很少风险的基础上为基金份额持有人获取稳定的套利收益。 7. 投资组合构建流程 ■ 投资组合构建流程分为两层:宏观层与微观层。 宏观层包括: 1) 确定每个券种或类属的公允值。 2) 监测市场收益率与公允值之间的差异,并按差异的正负区分为好值与劣值。 3) 在考虑风险因素的基础上,评估利率压力与债券价格趋势强度,以便明确多快可以完成一个大的组合调整。 4) 在考虑市场风险因素后,参考配置策略,由好值资产构建投资组合。 微观层则是在宏观层的框架下进行具体的研究和投资,包括: 1) 确定个券公允值应考虑的各种具体因素。 2) 根据市场的波动性、经济周期和市场趋势确定组合久期,后两个因素起辅助作用。 3) 把收益率曲线分成若干个久期段,这些久期段用于比较本基金投资组合与基准指数的久期构成差异。 4) 结合信达澳银债券类属配置模型、市场实际利率与公允值的差异、市场风险水平进行类属配置调整(固定收益研究小组将密切关注公司债的信用利差、宏观经济状况及市场氛围)。 5) 个券选择 固定收益研究小组评估个券质量,包括补偿水平、公允值。 基金经理综合这些信息,在风险控制参数内建立投资组合。投资审议委员会定期开会检讨组合情况,包括债券利差、类属质量变化、信用变化、类属表现、个券表现等。 在构建组合后,基金经理将根据市场情况的变化定期或不定期重复上述流程对投资组合进行评估和调整。 8. 投资决策程序 本基金投资决策基本原则是根据基金合同规定的投资目标、投资理念以及范围等要素,制定基金投资策略。本基金采用投资团队分级负责制的投资决策方式,本基金经理是本基金投资团队的重要成员,一方面积极参与投资团队的投资研究工作,另一方面在公司授权下主动行使投资决策和本基金的投资组合管理职责。本基金力求通过包括本基金经理在内的整个投资团队全体人员的共同努力来争取良好的投资业绩。在投资过程中,采取分级授权的投资决策机制,对于不同的投资规模,决策程序有所不同。通过这样的决策流程既充分调动投资团队的集体智慧,也使得基金经理的主观能动性得到充分的发挥。在合理控制投资风险的前提下,追求本基金持有人最优化的投资收益。 公司设立投资审议委员会,作为公司投资管理的最高决策和监督机构。投资审议委员会由总经理担任主席,投资总监任执行委员。为提高投资决策效率和专业性水平,公司授权投资总监带领投资研究部负责公司日常投资决策和投资管理。投资审议委员会定期或在认为必要时,评估基金投资业绩,监控基金投资组合风险,并对基金重大投资计划做出决策。 九、基金的业绩比较基准 中国债券总指数收益率。 中国债券总指数是由中央国债登记结算有限责任公司编制的中国全市场债券指数,拥有独立的数据源和自主的编制方法。该指数同时覆盖了国内交易所和银行间两个债券市场的主要固定收益证券,能够反映债券市场总体走势,具有较强的市场代表性。 随着法律法规和市场环境发生变化,如果上述业绩比较基准不适用本基金、或者本基金业绩比较基准中所使用的指数暂停或终止发布,或者推出更权威的能够表征本基金风险收益特征的指数,本基金管理人可以依据维护基金份额持有人合法权益的原则,根据实际情况对业绩比较基准进行相应调整。调整业绩比较基准应经基金托管人同意,报中国证监会备案,基金管理人应在调整前2个工作日在至少一种指定媒体上予以公告。 十、基金的风险收益特征 本基金为债券型基金,风险收益水平较低,长期预期风险收益高于货币市场基金、低于股票和混合基金。 十一、基金的投资组合报告 基金管理人的董事会及董事保证本报告所载资料不存在虚假记载、误导性陈述或重大遗漏,并对其内容的真实性、准确性和完整性承担个别及连带责任。 基金托管人中国建设银行股份有限公司复核了本次更新招募说明书中的投资组合报告等内容,保证复核内容不存在虚假记载、误导性陈述或者重大遗漏。 基金管理人承诺以诚实信用、勤勉尽责的原则管理和运用基金资产,但不保证基金一定盈利。 基金的过往业绩并不代表其未来表现。投资有风险,投资者在作出投资决策前应仔细阅读本基金的招募说明书。 本投资组合报告期为2013年1月1日至2013年3月31日。本报告中财务资料未经审计。 (一)报告期末基金资产组合情况
(二)报告期末按行业分类的股票投资组合 注:本基金本报告期末未持有股票。 (三)报告期末按公允价值占基金资产净值比例大小排序的前十名股票投资明细 注:本基金本报告期末未持有股票。 (四)报告期末按债券品种分类的债券投资组合
(五)报告期末按公允价值占基金资产净值比例大小排名的前五名债券投资明细
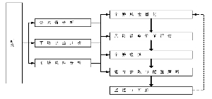
(六)报告期末按公允价值占基金资产净值比例大小排名的前十名资产支持证券投资明细 本基金本报告期末未持有资产支持证券。 (七)报告期末按公允价值占基金资产净值比例大小排名的前五名权证投资明细 本基金本报告期末未持有权证。 (八)投资组合报告附注 1、报告期内基金投资的前十名证券的发行主体没有被监管部门立案调查的,也没有在报告编制日前一年内受到公开谴责、处罚的。 2、本基金投资的前十名股票中,没有投资超出基金合同规定备选股票库的情形。 3、其他资产构成
4、报告期末持有的处于转股期的可转换债券明细
5、报告期末前十名股票中存在流通受限情况的说明 本基金本报告期末前十名股票中不存在流通受限情况。 6、投资组合报告附注的其他文字描述部分 由于四舍五入的原因,分项之和与合计项可能存在尾差。 十二、基金的业绩 基金管理人承诺以诚实信用、勤勉尽责的原则管理和运用基金财产,但不保证基金一定盈利,也不保证最低收益。基金的过往业绩并不预示其未来表现。投资有风险,投资者在进行投资决策前,请仔细阅读本基金的《招募说明书》及《基金合同》。 (一)基金份额净值增长率及其与同期业绩比较基准收益率的比较(截至2013年3月31日): 1、 信达澳银稳定价值债券A
2、 信达澳银稳定价值债券B
(二)基金合同生效以来基金份额净值的变动情况,并与同期业绩比较基准的变动的比较 1、 信达澳银稳定价值债券A基金份额累计净值增长率与同期业绩比较基准收益率的历史走势对比图 ■ 2、 信达澳银稳定价值债券B基金份额累计净值增长率与同期业绩比较基准收益率的历史走势对比图 ■ 注:1、本基金基金合同于2009年04月08日生效,2009年06月01日开始办理申购、赎回业务。 2、本基金的投资组合比例为:固定收益类资产(含可转换债券)的比例不低于基金资产的80%,持有股票等权益类证券的比例不超过基金资产的20%,现金或者到期日在一年以内的政府债券不低于基金资产净值的5%。本基金按规定在合同生效后六个月内达到上述规定的投资比例。 十三、基金的费用与税收 (一)基金费用的种类 1.基金管理人的管理费; 2.基金托管人的托管费; 3.基金财产拨划支付的银行费用; 4.基金合同生效后的基金信息披露费用; 5.基金份额持有人大会费用; 6.基金合同生效后与基金有关的会计师费和律师费; 7.基金的证券交易费用; 8.销售服务费(对本基金B类基金份额收取); 9.依法可以在基金财产中列支的其他费用。 (二)上述基金费用由基金管理人在法律规定的范围内参照公允的市场价格确定,法律法规另有规定时从其规定。 (三)基金费用计提方法、计提标准和支付方式 1、 基金管理人的管理费 在通常情况下,基金管理费按前一日基金资产净值的0.6%年费率计提。计算方法如下: H=E×年管理费率÷当年天数 H为每日应计提的基金管理费 E为前一日基金资产净值 基金管理费每日计提,按月支付。由基金管理人向基金托管人发送基金管理费划付指令,经基金托管人复核后于次月首日起3个工作日内从基金财产中一次性支付给基金管理人,若遇法定节假日、休息日,支付日期顺延。 2、 基金托管人的托管费 在通常情况下,基金托管费按前一日基金资产净值的0.2%年费率计提。计算方法如下: H=E×年托管费率÷当年天数 H为每日应计提的基金托管费 E为前一日基金资产净值 基金托管费每日计提,按月支付。由基金管理人向基金托管人发送基金托管费划付指令,经基金托管人复核后于次月首日起3个工作日内从基金财产中一次性支付给基金托管人,若遇法定节假日、休息日,支付日期顺延。 3、 销售服务费 本基金A类基金份额不收取销售服务费,B类基金份额的销售服务费年费率为0.4%。本基金销售服务费将专门用于本基金的销售与基金份额持有人服务,基金管理人将在基金年度报告中对该项费用的列支情况作专项说明。 销售服务费按前一日B类基金资产净值的0.4%年费率计提。计算方法如下: H=E×0.4%÷当年天数 H为B类基金份额每日应计提的销售服务费 E为B类基金份额前一日基金资产净值 销售服务费每日计提,按月支付。由基金管理人向基金托管人发送销售服务费划付指令,基金托管人复核后于次月首日起5个工作日内从基金资产中划出,由基金管理人代收,基金管理人收到后按相关合同规定支付给基金销售机构等。 4、基金申购(基金合同生效后购买本基金) 投资者在申购A类基金份额时需交纳前端申购费,费率按申购金额递减,具体费率如下:
投资者如申购B类份额,则前端申购费为0。 申购费用的计算方法如下: 净申购金额=申购金额/[1+申购费率] 申购费用=申购金额-净申购金额 本基金申购费用由投资者承担,申购费不列入基金财产,主要用于基金的市场推广、销售、注册登记等各项费用。 若投资者在一个交易日内多次申购,则根据单次申购金额确定每次申购所适用的费率,分别计算每笔的申购费用。 5、基金赎回 投资者在赎回A类基金份额时需交纳赎回费,赎回费率按持有期(T)递减,最高不超过总的赎回金额的5%,持有期超过2年赎回费率则为0。具体费率如下:
注:1年按照365天计算,2年按照730天计算,其余同。 投资者如赎回B类份额,则赎回费为0。赎回费用的计算方法如下: 赎回费用=赎回金额×赎回费率 本基金赎回费总额的25%归基金财产,75%用于支付注册登记费和其他必要的手续费。 6、 基金转换 本基金已通过信达澳银直销中心及部分代销机构开通本基金与公司旗下其他基金的转换业务。本基金转换费的费率水平、计算公式、收取方式和使用方式请详见招募说明书的“基金份额的申购与赎回”章节和本基金关于转换业务的相关公告。 (四)除管理费和托管费之外的基金费用,由基金托管人根据其他有关法规及相应协议的规定,按费用支出金额支付,列入或摊入当期基金费用。 (五)不列入基金费用的项目 基金管理人和基金托管人因未履行或未完全履行义务导致的费用支出或基金财产的损失,以及处理与基金运作无关的事项发生的费用等不列入基金费用。基金合同生效前所发生的信息披露费、律师费和会计师费以及其他费用不从基金财产中支付。 (六)基金管理费、基金托管费的调整 基金管理人和基金托管人可根据基金发展情况调整基金管理费率和基金托管费率。基金管理人必须最迟于新的费率实施日2日前在指定媒体上刊登公告。 (七)基金税收 基金和基金份额持有人根据国家法律法规的规定,履行纳税义务。 十四、对招募说明书更新部分的说明 本基金管理人根据《中华人民共和国证券投资基金法》、《证券投资基金运作管理办法》、《证券投资基金销售管理办法》、《证券投资基金信息披露管理办法》及其它有关法律法规的规定,结合本基金管理人对本基金实施的投资管理活动,对本基金管理人于2012年11月21日公告的本基金的招募说明书进行了更新,主要更新的内容如下: (一)在“重要提示”部分,明确了更新招募说明书内容的截止日期及有关财务数据的截止日期; (二)在“三、基金管理人”部分,更新了管理人的相关信息: 1、 更新了基金管理人董事、高级管理人员和其他经理层人员的相关信息的相关信息; 2、 更新了基金经理的相关信息; 3、 更新了公司投资审议委员会成员的相关信息; (三)在“四、基金托管人”部分,更新了托管人的信息; (四)在“五、相关服务机构”部分,更新了代销机构、会计师事务所和经办注册会计师的相关信息的相关信息; (五)在“九、基金的投资”部分,说明了本基金最近一期投资组合报告内容,数据截至2013年3月31日; (六)在“十、基金的业绩”部分,说明了基金业绩相关数据,数据截至2013年3月31日; (七)在“二十一、基金托管协议的内容摘要”部分,更新了基金托管人的信息; (八)在“二十三、其他应披露事项”部分,更新了本基金的其他应披露事项列表。 信达澳银基金管理有限公司 二〇一三年五月二十一日 本版导读:
|
||||||||||||||||||||||||||||||||||||||||||||||||||||||||||||||||||||||||||||||||||||||||||||||||||||||||||||||||||||||||||||||||||||||||||||||||||||||||||||||||||||||||||||||||||||||||||||||||||||||||||||||||||||||||||||||||||||||||||||||||||||||||||||||||||||||||||||||||||||||||||||||||||||||||||||||||||||||||||||||||||||||||||||||||||||||||||||||||||||||||||||||||||||||||||||||||||||||||||||||||||||||||||||||||||||||||||||||||||||||||||||||||||||||||||||||||||||||||||||||||||||||||||||||||||||||||||||||||||||||||||||||||||||||||||||||||||||||||||||||||||||||||||||||||||||||||||||||||||||||||||||||||||||||||||||||||||||||||||||||||||||||||||||||||||||||||||||||||||||||||||||||||||||||||



