证券时报网络版郑重声明经证券时报社授权,证券时报网独家全权代理《证券时报》信息登载业务。本页内容未经书面授权许可,不得转载、复制或在非证券时报网所属服务器建立镜像。欲咨询授权事宜请与证券时报网联系 (0755-83501827) 。 |
交银施罗德货币市场证券投资基金(更新)招募说明书摘要 2016-03-05 来源:证券时报网 作者:
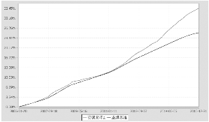
(上接B59版) 电话:(025)68206846 传真:(021)22268089 联系人:何庭宇 客户服务电话:400-928-2266/021-22267995 网址:www.dtfunds.com 基金管理人可根据有关法律法规的要求,选择其它符合要求的机构销售本基金,并及时公告。 (二) 注册登记机构 名称:中国证券登记结算有限责任公司 住所:北京市西城区太平桥大街17号 办公地址:北京市西城区太平桥大街17号 法定代表人:周明 电话:(010)59378839 传真:(010)59378907 联系人:朱立元 (三) 出具法律意见书的律师事务所 名称:上海源泰律师事务所 住所:上海浦东南路256号华夏银行大厦1405室 办公地址:上海浦东南路256号华夏银行大厦1405室 负责人:廖海 电话:(021)51150298 传真:(021)51150398 联系人:廖海 经办律师:梁丽金、刘佳 (四) 审计基金财产的会计师事务所 名称:德勤华永会计师事务所(特殊普通合伙) 住所:上海市延安东路222号外滩中心30楼 办公地址:上海市延安东路222号外滩中心30楼 执行事务合伙人:卢伯卿 电话:(021)61418888 传真:(021)63350177 联系人:陶坚 经办注册会计师:陶坚、吴凌志 四、基金的名称 本基金名称:交银施罗德货币市场证券投资基金。 五、基金的类型 本基金类型:契约型开放式 六、基金的投资目标 本基金属于货币市场基金,投资目标是在力求本金稳妥和资产充分流动性的前提下,追求超过业绩比较基准的投资收益。 七、基金的投资方向 本基金主要投资于货币市场工具,包括: 1、现金; 2、通知存款; 3、一年以内(含一年)的银行定期存款、大额存单; 4、剩余期限在397天以内(含397天)的债券; 5、期限在一年以内(含一年)的中央银行票据; 6、期限在一年以内(含一年)的债券回购; 7、剩余期限在397天以内(含397天)的资产支持证券; 8、中国证监会、中国人民银行认可的其他具有良好流动性的货币市场工具。 八、基金的投资策略 (一)短期利率水平预期策略 深入分析国家货币政策、短期资金市场利率波动、资本市场资金面的情况和流动性的变化,对短期利率走势形成合理预期,并据此调整基金货币资产的配置策略。 (二)收益率曲线分析策略 根据收益率曲线的变化趋势,采取相应的投资管理策略。货币市场收益率曲线的形状反映当时短期利率水平之间的关系,反映市场对较短期限经济状况的判断及对未来短期经济走势的预期。 (三)组合剩余期限策略、期限配置策略 通过对组合资产剩余期限的设计、跟踪、调整,达到保持合理的现金流,锁定组合剩余期限,以满足可能的、突发的现金需求,同时保持组合的稳定收益;特别在债券投资中,根据收益率曲线的情况,投资一定剩余期限的品种, 稳定收益,锁定风险,满足组合目标期限。 (四)类别品种配置策略 在保持组合资产相对稳定的条件下,根据各类短期金融工具的市场规模、收益性和流动性,决定各类资产的配置比例;再通过评估各类资产的流动性和收益性利差,确定不同期限类别资产的具体资产配置比例。 (五)流动性管理策略 在满足基金投资人申购、赎回的资金需求前提下,通过基金资产安排(包括现金库存、资产变现、剩余期限管理或以其他措施),在保持基金资产高流动性的前提下,确保基金的稳定收益。 (六)无风险套利策略 无风险套利策略包括: 跨市场套利策略:根据各细分短期金融工具的流动性和收益特征,动态调整基金资产在各个细分市场之间的配置比例。如,当交易所市场回购利率高于银行间市场回购利率时,可增加交易所市场回购的配置比例;另外,还包括一级市场发行定价和二级市场流通成交价之间的无风险套利机会。 跨品种套利策略:根据各细分市场中不同品种的风险参数、流动性补偿和收益特征,动态调整不同期限结构品种的配置比例。 (七)滚动配置策略 根据具体投资品种的市场特性,采用持续滚动投资的方法,以提高基金资产的整体持续的变现能力。如,对N天期回购协议进行每天等量配置,提高基金资产的流动性;在公开市场操作中,跟随人民银行每周的滚动发行,持续同品种投资,达到剩余期限的直线分布。 (八)信用利差策略 通过对资产支持证券的信用评估,分析预期违约率和违约损失率的变化趋势,评估其信用利差是否合理,并预测其变化趋势,通过其信用质量的改善和信用利差的缩小获利。 九、基金的业绩比较标准 本基金业绩比较基准为六个月银行定期存款利率(税后)。 若未来市场发生变化导致此业绩基准不再适用,基金管理人可根据市场发展状况及本基金的投资范围和投资策略,调整本基金的业绩比较基准。 十、基金的风险收益特征 本货币市场基金是具有较低风险、中低收益、流动性强的证券投资基金品种。 十一、基金投资组合报告 本基金管理人的董事会及董事保证本报告所载资料不存在虚假记载、误导性陈述或重大遗漏,并对其内容的真实性、准确性和完整性承担个别及连带责任。 本基金托管人中国农业银行根据本基金合同规定,于2016年1月20日复核了本报告中的财务指标、净值表现和投资组合报告等内容,保证复核内容不存在虚假记载、误导性陈述或者重大遗漏。 本投资组合报告期为2015年10月1日起至12月31日,所载财务数据未经审计师审计。 1、报告期末基金资产组合情况 ■ 2、报告期债券回购融资情况 ■ 注:报告期内债券回购融资余额占基金资产净值的比例为报告期内每个银行间市场交易日融资余额占资产净值比例的简单平均值。 债券正回购的资金余额超过基金资产净值的20%的说明 本基金本报告期内债券正回购的资金余额未超过资产净值的20%。 3、基金投资组合平均剩余期限 (1)投资组合平均剩余期限基本情况 ■ 报告期内投资组合平均剩余期限超过180天情况说明 本基金本报告期内投资组合平均剩余期限未超过180天。 (2)报告期末投资组合平均剩余期限分布比例 ■ 4、报告期末按债券品种分类的债券投资组合 ■ 5、报告期末按摊余成本占基金资产净值比例大小排序的前十名债券投资明细 ■ 6、“影子定价”与“摊余成本法”确定的基金资产净值的偏离 ■ 7、报告期末按公允价值占基金资产净值比例大小排序的前十名资产支持证券投资明细 本基金本报告期末未持有资产支持证券。 8、投资组合报告附注 (1)基金计价方法说明。 本基金采用摊余成本法计价,即计价对象以买入成本列示,按票面利率或商定利率并考虑其买入时的溢价与折价,在其剩余期限内按照实际利率和摊余成本逐日摊销计算损益。 (2)本基金报告期每日持有剩余期限小于397天但剩余存续期超过397天的浮动利率债券的摊余成本均未超过当日基金资产净值的20%。 (3)报告期内本基金投资的前十名证券的发行主体未被监管部门立案调查,在本报告编制日前一年内本基金投资的前十名证券的发行主体未受到公开谴责和处罚。 (4)其他各项资产构成 ■ (5)投资组合报告附注的其他文字描述部分 由于四舍五入的原因,分项之和与合计项之间可能存在尾差。 十二、基金的业绩 基金业绩截止日为2015年12月31日,所载财务数据未经审计师审计。 基金管理人依照恪尽职守、诚实信用、谨慎勤勉的原则管理和运用基金财产,但不保证基金一定盈利,也不保证最低收益。基金的过往业绩并不代表其未来表现。投资有风险,投资者在做出投资决策前应仔细阅读本基金的招募说明书。 (一)基金份额净值收益率及其与同期业绩比较基准收益率的比较 ■ 注:本基金收益分配按月结转份额。 (二)自基金合同生效以来基金份额累计净值收益率变动及其与同期业绩比较基准收益率变动的比较 交银施罗德货币市场证券投资基金 份额累计净值收益率与业绩比较基准收益率历史走势对比图 (2006年1月20日至2015年12月31日) 1、 交银货币A ■ 注:图示日期为2006年1月20日至2015年12月31日。本基金建仓期为自基金合同生效日起的6个月。截至建仓期结束,本基金各项资产配置比例符合基金合同及招募说明书有关投资比例的约定。 2、交银货币B ■ 注:图示日期为2007年6月22日至2015年12月31日。本基金建仓期为自基金合同生效日起的6个月。截至建仓期结束,本基金各项资产配置比例符合基金合同及招募说明书有关投资比例的约定。 十三、基金的费用与税收 (一) 基金费用的种类 1、 基金管理人的管理费; 2、 基金托管人的托管费; 3、 基金销售服务费; 4、 基金合同生效后的基金信息披露费用; 5、 基金合同生效后与基金相关的会计师费、律师费; 6、 基金份额持有人大会费用; 7、 基金的证券交易费用; 8、 按照国家有关规定和基金合同约定可以在基金财产中列支的其他费用。 本基金基金合同终止清算时所发生费用,按实际支出额从基金财产总值中扣除。 (二) 基金费用计提方法、计提标准和支付方式 1、与基金运作有关的费用 (1)基金管理人的管理费 本基金的管理费按基金资产净值的0.33%年费率计提。管理费的计算方法如下: H=E×0.33%÷当年天数 H为每日应付的基金管理费 E为前一日的基金资产净值 基金管理费每日计提,按月支付,由基金管理人向基金托管人发送基金管理费划款指令,基金托管人复核后于次月前2个工作日内从基金财产中一次性支付给基金管理人。若遇法定节假日、公休假等,支付日期顺延。 (2)基金托管人的托管费 本基金的托管费按基金资产净值的0.10%的年费率计提。托管费的计算方法如下: H=E×0.10%÷当年天数 H为每日应支付的基金托管费 E为前一日的基金资产净值 基金托管费每日计提,按月支付,由基金管理人向基金托管人发送基金托管费划款指令,基金托管人复核后于次月前2个工作日内从基金财产中一次性支取。若遇法定节假日、公休假等,支付日期顺延。 2. 与基金销售有关的费用 (1)申购费 本基金申购费的费率为零。 申购份额的计算如下: 申购总金额=申请总金额 申购份额=申购金额÷基金份额净值 例一:假定T日某投资人投资10,000元申购本基金,则其可得到的申购份额计算如下: 申购份额=10,000/1.00=10,000份 申购份数保留至小数点后2位,小数点2位以后的部分四舍五入,四舍五入部分所代表的资产归基金所有。 (2)赎回费 本基金赎回费的费率为零。 基金赎回金额的计算如下: 赎回金额=赎回份额×基金份额净值+该份额对应的未付收益 例二:假定某投资人在T日赎回10,000份本基金,且假设该10,000份基金份额对应的未支付收益为15.00元,则其获得的赎回金额计算如下: 赎回金额=10,000×1.00+15.00=10,015.00元 赎回总额以人民币元为单位,保留至小数点后2位,小数点2位以后的部分四舍五入,四舍五入部分所代表的资产归基金所有。 (3)转换费 1)每笔基金转换视为一笔赎回和一笔申购,基金转换费用相应由转出基金的赎回费用及转出、转入基金的申购补差费用构成。 2)转出基金的赎回费用 转出基金的赎回费用按照各基金最新的更新招募说明书及相关公告规定的赎回费率和计费方式收取,赎回费用的25%归入基金财产,其余部分用于支付注册登记费等相关手续费。 3)前端收费模式下转出与转入基金的申购补差费用 从不收取申购费用的基金或前端申购费用低的基金向前端申购费用高的基金转换,收取前端申购补差费用;从前端申购费用高的基金向前端申购费用低的基金或不收取申购费用的基金转换,不收取前端申购补差费用。申购补差费用原则上按照转出确认金额对应分档的转入基金前端申购费率减去转出基金前端申购费率差额进行补差,转出与转入基金的申购补差费率按照转出确认金额分档,并随着转出确认金额递减。 4)后端收费模式下转出与转入基金的申购补差费用 从不收取申购费用的基金或后端申购费用低的基金向后端申购费用高的基金转换,不收取后端申购补差费用,但转入的基金份额赎回的时候需全额收取转入基金的后端申购费;从后端申购费用高的基金向后端申购费用低的基金或不收取申购费用的基金转换,收取后端申购补差费用,且转入的基金份额赎回的时候需全额收取转入基金的后端申购费。后端申购补差费用按照转出份额持有时间对应分档的转出基金后端申购费率减去转入基金后端申购费率差额进行补差。 5)网上直销的申购补差费率优惠 为更好服务投资者,本基金管理人已开通基金网上直销业务,个人投资者可以通过“网上直销交易平台”办理基金转换业务,其中部分转换业务可享受转换费率优惠,优惠费率只适用于转出与转入基金申购补差费用,转出基金的赎回费用无优惠。可通过网上直销交易平台办理的转换业务范围及转换费率优惠的具体情况请参阅本基金管理人网站。 具体转换费率水平请参见本基金管理人网站(www.fund001.com,www.bocomschroder.com)列示的相关转换费率表或相关公告。 6)基金管理人可以根据法律法规及基金合同的规定对上述收费方式和费率进行调整,并应于调整后的收费方式和费率在实施前依照《信息披露办法》的有关规定在中国证监会指定媒体上公告。 (4)基金转换份额的计算公式 1)前端收费模式下基金转换份额的计算公式及举例 转出确认金额=转出的基金份额×转换申请当日转出基金的基金份额净值 转出基金的赎回费=转出确认金额×对应的转出基金的赎回费率 转入确认金额=转出确认金额-转出基金的赎回费 转出与转入基金的申购补差费=转入确认金额×对应的转出与转入基金的申购补差费率/(1+对应的转出与转入基金的申购补差费率) (注:对于适用固定金额申购补差费用的,转出与转入基金的申购补差费=固定金额的申购补差费) 转入基金确认份额=(转入确认金额-转出与转入基金的申购补差费+A)/转换申请当日转入基金的基金份额净值 其中: A为货币市场基金转出的基金份额按比例结转的账户当前累计待支付收益(仅限转出基金为货币市场基金的情形,否则A为0)。 转入基金确认份额的计算精确到小数点后两位,小数点后两位以后的部分四舍五入,误差部分归基金财产。 例一:某投资者持有交银趋势前端收费模式的基金份额100,000份,持有期半年,转换申请当日交银趋势的基金份额净值为1.010元,交银成长的基金份额净值为2.2700元。若该投资者将100,000份交银趋势前端基金份额转换为交银成长前端基金份额,则转入交银成长确认的基金份额为: 转出确认金额=100,000×1.010=101,000元 转出基金的赎回费=101,000×0.5%=505元 转入确认金额=101,000-505=100,495元 转出与转入基金的申购补差费=100,495×0/(1+0)=0元 转入基金确认份额=(100,495-0)/2.2700=44,270.93份 例二:某投资者持有交银增利A类基金份额1,000,000份,持有期一年半,转换申请当日交银增利A类基金份额的基金份额净值为1.0200元,交银趋势的基金份额净值为1.010元。若该投资者将1,000,000份交银增利A类基金份额转换为交银趋势前端基金份额(非网上交易),则转入交银趋势确认的基金份额为: 转出确认金额=1,000,000×1.0200=1,020,000元 转出基金的赎回费=1,020,000×0.05%=510元 转入确认金额=1,020,000-510=1,019,490元 转出与转入基金的申购补差费=1,019,490×0.5%/(1+0.5%)=5,072.09元 转入基金确认份额=(1,019,490-5,072.09)/1.010=1,004,374.17份 例三:某投资者持有交银增利C 类基金份额100,000份,转换申请当日交银增利C类基金份额净值为1.2500元,交银精选的基金份额净值为2.2700元。若该投资者将100,000份交银增利C类基金份额转换为交银精选前端基金份额(非网上交易),则转入交银精选确认的基金份额为: 转出确认金额=100,000×1.2500=125,000元 转出基金的赎回费=0元 转入确认金额=125,000-0=125,000元 转出与转入基金的申购补差费=125,000×1.5%/(1+1.5%)=1,847.29元 转入基金确认份额=(125,000-1,847.29)/2.2700=54,252.30份 例四:某投资者持有交银货币A级基金份额100,000份,该100,000份基金份额未结转的待支付收益为61.52元,转换申请当日交银增利A/B类基金份额净值为1.2700元,交银货币的基金份额净值为1.00元。若该投资者将100,000份交银货币A级基金份额转换为交银增利A类基金份额(非网上交易),则转入确认的交银增利A类基金份额为: 转出确认金额=100,000×1.00=100,000元 转出基金的赎回费=0元 转入确认金额=100,000-0=100,000元 转出与转入基金的申购补差费=100,000×0.8%/(1+0.8%)=793.65元 转入基金确认份额=(100,000-793.65+61.52)/1.2700=78,163.68份 2)后端收费模式下基金转换份额的计算公式及举例 转出确认金额=转出的基金份额×转换申请当日转出基金的基金份额净值 转出基金的赎回费=转出确认金额×对应的转出基金的赎回费率 转入确认金额=转出确认金额-转出基金的赎回费 转出与转入基金的申购补差费=转入确认金额×对应的转出与转入基金的申购补差费率 转入基金确认份额=(转入确认金额-转出与转入基金的申购补差费+A)/转换申请当日转入基金的基金份额净值 其中: A为货币市场基金转出的基金份额按比例结转的账户当前累计待支付收益(仅限转出基金为货币市场基金的情形,否则A为0)。 转入基金确认份额的计算精确到小数点后两位,小数点后两位以后的部分四舍五入,误差部分归基金财产。 例五:某投资者持有交银主题后端收费模式的基金份额100,000份,持有期一年半,转换申请当日交银主题的基金份额净值为1.2500元,交银稳健的基金份额净值为2.2700元。若该投资者将100,000份交银主题后端基金份额转换为交银稳健后端基金份额,则转入交银稳健确认的基金份额为: 转出确认金额=100,000×1.250=125,000元 转出基金的赎回费=125,000×0.2%=250元 转入确认金额=125,000-250=124,750元 转出与转入基金的申购补差费=124,750×0=0元 转入基金确认份额=(124,750-0)/2.2700=54,955.95份 例六:某投资者持有交银先锋后端收费模式的基金份额100,000份,持有期一年半,转换申请当日交银先锋的基金份额净值为1.2500元,交银货币的基金份额净值为1.00元。若该投资者将100,000份交银先锋后端基金份额转换为交银货币,则转入交银货币的基金份额为: 转出确认金额=100,000×1.250=125,000元 转出基金的赎回费=125,000×0.2%=250元 转入确认金额=125,000-250=124,750元 转出与转入基金的申购补差费=124,750×1.2%=1497元 转入基金确认份额=(124,750-1497)/1.00=123,253.00份 例七:某投资者持有交银蓝筹后端收费模式的基金份额100,000份,持有期三年半,转换申请当日交银蓝筹的基金份额净值为0.8500元,交银增利B类基金份额的基金份额净值为1.0500。若该投资者将100,000份交银蓝筹后端基金份额转换为交银增利B类基金份额,则转入交银增利B类基金份额的基金份额为: 转出确认金额=100,000×0.850=85,000元 转出基金的赎回费=85,000×0=0元 转入确认金额=85,000-0=85,000元 转出与转入基金的申购补差费=85,000×0.2%=170元 转入基金确认份额=(85,000-170)/1.0500=80,790.48份 例八:某投资者持有交银货币A级基金份额100,000份,该100,000份基金份额未结转的待支付收益为61.52元,转换申请当日交银增利B类基金份额净值为1.2700元,交银货币的基金份额净值为1.00元。若该投资者将100,000份交银货币A级基金份额转换为交银增利B类基金份额,则转入确认的交银增利B类基金份额为: 转出确认金额=100,000×1.00=100,000元 转出基金的赎回费=0元 转入确认金额=100,000-0=100,000元 转出与转入基金的申购补差费=100,000×0=0元 转入基金确认份额=(100,000-0+61.52)/1.2700=78,788.60份 (5) 网上直销的有关费率 本基金管理人已开通基金网上直销业务,个人投资者可以直接通过本公司网站的“交银施罗德基金管理有限公司网上直销交易平台”(以下简称“网上直销交易平台”)办理开户和本基金的申购、赎回、定期定额投资和转换等业务。通过网上直销交易平台办理本基金转换出业务的个人投资者将享受转换费中相应申购补差费率的优惠,其他费率标准不变。具体优惠费率请参见公司网站列示的网上直销申购、定期定额投资及转换费率表或相关公告。 本公司基金网上直销业务已开通的银行卡及各银行卡交易金额限额请参阅本公司网站。 个人投资者通过本基金管理人网上直销交易平台申购本基金的单笔最低金额为0.01元(含),单笔定期定额投资最低金额为0.01元(含),单笔转换份额不得低于100份,投资者可将其全部或部分基金份额转换成其它基金,单笔转换申请不受转入基金最低申购限额限制。 本基金管理人可根据业务情况调整上述交易费用和限额要求,并依据相关法规的要求提前进行公告。 (6)销售服务费 本基金各级基金份额按照不同的费率计提销售服务费,在通常情况下,本基金A级基金份额的销售服务费年费率为0.25%,B级基金份额的年费率为0.01%。各级基金份额的销售服务费计提的计算公式如下: H=E×R÷当年天数 H为每级基金份额每日应计提的销售服务费 E为前一日该级基金份额的基金资产净值 R为该级基金份额的销售服务费率 基金管理人可以调整对各级基金份额计提的销售服务费率,但销售服务费年费率最高不超过0.25%。基金管理人应在调整前依照《信息披露办法》和《信息披露特别规定》的有关规定在中国证监会指定媒体上公告并报中国证监会备案。 基金销售服务费每日计提,按月支付。由基金管理人向基金托管人发送基金销售管理费划付指令,基金托管人复核后于次月前2个工作日内从基金财产中一次性支付给基金管理人,若遇法定节假日、休息日等,支付日期顺延。 基金销售服务费主要用于支付销售机构佣金、以及基金管理人的基金营销广告费、促销活动费、持有人服务费等。 上述(一)基金费用的种类中4-8项费用由基金托管人根据有关法规及相应协议规定,按费用实际支出金额列入当期费用,从基金财产中支付。 (三) 不列入基金费用的项目 基金管理人和基金托管人因未履行或未完全履行义务导致的费用支出或基金财产的损失,以及处理与基金运作无关的事项发生的费用等不列入基金费用。 基金募集期间的信息披露费、会计师费、律师费及其他费用,不得从基金财产中列支。其他具体不列入基金费用的项目依据中国证监会有关规定执行。 (四)基金管理费、托管费、销售服务费率的调整 基金管理人和基金托管人可根据基金发展情况调整基金管理费率、基金托管费率和销售服务费率。调高基金管理费率、基金托管费率、销售服务费率,须召开基金份额持有人大会审议;调低基金管理费率、基金托管费率、销售服务费率,无须召开基金份额持有人大会。基金管理人必须最迟于新的费率实施日前依照《信息披露办法》和《信息披露特别规定》的有关规定在指定媒体上公告。 (五) 基金税收 基金运作过程中涉及的各类纳税主体,其纳税义务按国家税收法律法规执行。 十四、对招募说明书更新部分的说明 总体更新 (一)更新了“重要提示”中相关内容。 (二)更新了“三、基金管理人”中相关内容。 (三)更新了“四、基金托管人”中相关内容。 (四)更新了“五、相关服务机构”中相关内容。 (五)更新了“九、基金份额的申购、赎回及其他业务”中相关内容。 (六)更新了“十一、基金的投资”中“基金投资组合报告”相关内容,数据截止到2015年12月31日。 (七)更新了“十二、基金的业绩”中相关内容,数据截止到2015年12月31日。 (八)更新了“二十二、托管协议的内容摘要”中相关内容。 (九)更新了“二十四、其他应披露事项”中本次招募说明书更新期间,涉及本基金的相关信息披露。 交银施罗德基金管理有限公司 二〇一六年三月五日 本版导读:
发表评论:财苑热评: |


