证券时报网络版郑重声明经证券时报社授权,证券时报网独家全权代理《证券时报》信息登载业务。本页内容未经书面授权许可,不得转载、复制或在非证券时报网所属服务器建立镜像。欲咨询授权事宜请与证券时报网联系 (0755-83501827) 。 |
TCL集团股份有限公司公告(系列) 2013-05-16 来源:证券时报网 作者:
证券代码:000100 证券简称:TCL集团 公告编号:2013-041 TCL集团股份有限公司 第四届董事会第二十五次会议决议公告 TCL集团股份有限公司及董事会全体成员保证公告内容的真实、准确和完整,不存在虚假记载、误导性陈述或者重大遗漏。 TCL集团股份有限公司(以下简称“本公司”或“公司”)第四届董事会第二十五次会议于2013年5月11日以电子邮件和传真形式发出通知,并于2013年5月14日下午14点在深圳市南山区科技园TCL大厦19楼第一会议室以通讯方式召开。本次董事会应参与表决董事8人,实际参与表决董事8人。会议以记名投票方式表决。本次会议的召开符合《公司法》及本公司《章程》的有关规定。 一、会议以 7票赞成, 0票弃权, 0票反对 审议并通过《关于公司关联交易及董事薪酬的议案》。(关联董事薄连明先生回避对该议案的表决。) 详情见与本决议公告同日发布在指定信息披露媒体上的《关于公司关联交易及董事薪酬的公告》。 二、会议以 8票赞成, 0票弃权, 0票反对 审议并通过《关于广东证监局现场检查的整改报告》。 详情见与本决议公告同日发布在指定信息披露媒体上的《关于广东证监局现场检查的整改报告》。 三、会议以 8票赞成, 0票弃权, 0票反对 审议并通过《关于通知召开本公司2013年第一次临时股东大会的议案》。 详情见与本决议公告同日发布在指定信息披露媒体上的《TCL集团股份有限公司2013年第一次临时股东大会通知》。 特此公告。 TCL集团股份有限公司 董事会 2013年5月14日
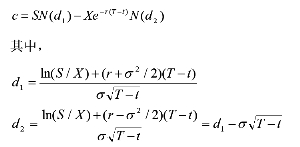
证券代码:000100 证券简称:TCL集团 公告编号:2013-042 TCL集团股份有限公司 关于公司关联交易及董事薪酬的公告 TCL集团股份有限公司及董事会全体成员保证公告内容的真实、准确和完整,不存在虚假记载、误导性陈述或者重大遗漏。 ■ 一、前言 华星光电为本公司的控股子公司,注册资本为100亿元人民币,其中本公司持股55%,深超科技持股30%,三星电子持股15%。 华星光电所处的液晶面板行业是技术密集和资本密集型产业,管理团队和核心技术团队在实施精细化管理、提升运营效率及提高研发生产实力中起重要作用。日前,同行业的竞争对手都已经公布了在国内投资建立高世代液晶面板产线的投资计划,行业竞争日益激烈。 为保留核心管理团队及核心技术团队,保持并提升公司在面板产业的竞争能力。进一步发挥公司在液晶面板和彩电整机一体化协同的能力,提升公司在液晶显示领域的技术能力。华星光电董事会决定向其高级管理人员和骨干员工进行定向增资扩股,使华星光电的核心管理团队及核心技术员工持有华星光电的股份,建立起良好的激励机制和管理架构,与华星光电共同发展。 由于华星光电本次股权激励计划中,激励对象包括TCL集团董事、华星光电CEO薄连明先生,由此构成TCL集团有关共同投资及股权转让的关联交易及董事薪酬事项。 根据深圳证券交易所《股票上市规则》(2012年修订)及公司《章程》等有关规定,公司于2013年5月14日召开第四届董事会第二十五次会议,审议通过了《关于公司关联交易及董事薪酬的议案》,董事薄连明先生作为关联董事,在董事会上回避了对本议案的表决。 本次事项尚需提交公司2013年第一次临时股东大会审议。 本次交易未构成重大资产重组。 二、华星光电股权激励计划概述 1、激励对象: 激励对象为华星光电的董事、监事、中高级管理人员,核心技术(业务)人员,以及未来引进的核心员工。 2、激励方式及额度: 本次员工持股激励计划拟向激励对象和TCL集团设立的公司定向授予合计不超过华星光电新增3.5亿元注册资本的认购权,其中激励对象设立的公司或合伙企业以现金认购不超过1.16亿元注册资本,TCL集团设立的公司以现金认购不低于2.34亿元注册资本,认购价格均为1.06元/1元注册资本。以上认购事项于2013年完成。 如果华星光电的经营管理团队能够在未来两年内达成如下的业绩条件,TCL集团设立的公司将按照约定价格向激励对象设立的公司或合伙企业转让股权,具体如下: ■ 自激励对象授权日至2015年6月30日如果华星光电分红,则TCL集团设立的公司相应调整转让价格,激励对象按调整后的转让价格认购。 如果华星光电经营管理团队的经营业绩不能达到上述约定的条件,TCL集团设立的公司将不再向激励对象设立的公司或合伙企业转让该年度对应的股权,该部分股权及收益归TCL集团设立的公司所有。 华星光电的CEO在华星光电董事会授权范围内批准激励对象名单及激励额度。 三、关联交易及董事薪酬的审批和授权事项 公司在2011年第二次临时股东大会审议通过了《深圳市华星光电技术有限公司合资经营合同》,其中各出资方同意在为实施员工激励计划而持股的新股东增资时(增资额度不超过华星光电注册资本的3.5%,即3.5亿元注册资本)放弃增资认购权。 由于华星光电本次股权激励计划中,激励对象包括TCL集团董事、华星光电CEO薄连明先生,由此构成TCL集团有关共同投资及股权转让的关联交易及董事薪酬事项。 (一)关联交易事项 1、关联方基本情况 关联方:华星光电激励对象设立的有限合伙企业,TCL集团董事、华星光电CEO薄连明先生为该有限合伙企业的合伙人,因此构成TCL集团与该有限合伙企业的关联关系。公司将在该有限合伙企业完成注册后及时公告进展情况。 2、关联交易标的基本情况 ⑴公司名称:深圳市华星光电技术有限公司 ⑵企业性质:有限责任公司(中外合资) ⑶公司注册地及主要办公地点:深圳市光明新区塘明大道9-2号 ⑷法定代表人:李东生 ⑸注册资本:人民币1,000,000万元 ⑹营业执照号:440301104348211 ⑺主营业务:在光明新区高新技术产业园区筹建第8.5代薄膜晶体管液晶显示器件生产线;薄膜晶体管液晶显示器件相关产品及其配套产品的研发、生产与销售(生产项目依据深圳市人居环境委员会深环批函[2009]099号执行);货物及技术进出口。 ⑻股权及控制关系:本公司持有55%的股权,深超投持有30%的股权,三星电子株式会社持有15%的股权。本公司为华星光电的控股股东。 2013年3月1日,深超科技将其所持华星光电30%股权在深圳联合产权交易所挂牌,挂牌价格为人民币318,153.424658万元(约合1.06元每1元注册资本),公司未放弃优先受让权,参与了竞购。目前公司已与深超科技签署了《企业国有产权转让合同》,成为此次股权竞购的受让方。详细情况请见公司于2013年5月2日在《中国证券报》、《证券时报》、《证券日报》以及巨潮资讯网等媒体发布的《关于竞购深圳市深超科技投资有限公司所持深圳市华星光电技术有限公司30%股权的摘牌公告》。本次股权转让完成后,本公司将持有华星光电85%的股权。 ⑼交易标的主要财务数据: 单位:元 ■ 3、交易的定价政策及定价依据 本次股权激励计划中,TCL集团设立的公司与激励对象在股权支付对价、方式上保持一致。2013年3月1日,深超科技将其所持华星光电30%股权在深圳联合产权交易所挂牌,挂牌价格为人民币318,153.424658万元(约合1.06元每1元注册资本),公司通过公开竞标的方式参与了竞购,并成为该次股权竞购的受让方。本次股权激励的增资及行权价格参照了深超科技转让所持华星光电30%股权的最终成交价格定价,定价方式遵循了公允性原则。 2013年对华星光电新增注册资本的认购价格为:1.06元/1元注册资本; 2014年行权价格为:1.10元/1元注册资本; 2015年行权价格为:1.15元/1元注册资本; 4、交易协议的主要内容 公司将在有关交易协议签署后披露进展情况。 5、交易目的和对公司相关年度财务状况和经营成果的影响 华星光电股权激励计划的实施,将加强管理层和核心研发团队的稳定性,积极主动地提升技术研发实力、企业运营效率和市场开拓能力,有利于企业盈利能力的提升。 根据《企业会计准则第11号—股份支付》和《企业会计准则第22号—金融工具的确认和计量》的规定,公司选择用Black-Scholes 期权定价模型对华星光电期权的公允价值进行测算: ■ S=授权日的单位市场价值 X= 行权价格 T-t=期权剩余期限(单位:年) r= 无风险收益率 σ=预计波动率 N(.)为标准正态分布累积函数 ln(.)为自然对数函数 (2)参数选取情况说明(假设2013年5月14日为股票期权授权日) 授权日的单位市场价值:深超科技转让所持华星光电30%股权的最终成交价 期权剩余年限:考虑可能存在提早行权,期权有效期采用中点法进行计算,即期权有效期=等待期+行权期/2,各行权期的有效期分别为1.0年、2.0年。 无风险收益率:公司以金融机构人民币存款基准利率来代替无风险收益率,按期权有效期的长短不同采用不同的存款基准利率,第一个行权期的无风险收益率为3.00%,第二个行权期的无风险收益率为3.75%。 历史波动率:本计划的历史波动率取类似上市公司在授权日前360交易日的波动率30.71%计算。 根据以上参数计算,各行权期的期权成本估算如下: ■ 假如华星光电未来两年能达成业绩条件,TCL集团设立的公司将本次认购的2.34亿元注册资本对应的股权全部按照约定价格向激励对象设立的公司或合伙企业转让,根据以上参数计算得出期权费用在各行权期的费用摊销情况见下表: ■ 上述对公司相关年度的期权费用由华星光电承担, 上表仅为预测数据,应以审计师出具的年度审计报告为准。 6、关联交易金额 2013年关于共同投资的关联交易金额为不低于2.4804亿元,且不超过3.71亿元;2014年股权转让的关联交易金额不超过1.287亿元;2015年股权转让的关联交易金额不超过1.3455亿元。 交易金额合计不超过6.3425亿元,占公司最近一期经审计净资产的5.40%(按公司2012年度经审计净资产11,746,295,610元计)。 7、独立董事事前认可和独立意见 本次交易事项已得到公司独立董事的事前认可,独立董事发表了如下独立意见:董事会对公司关联交易及董事薪酬的审议程序合法,定价公允,交易公平、公正、公开,有利于公司业务的发展,没有对上市公司独立性构成影响,没有发现有侵害中小股东利益的行为和情况,符合中国证监会和深交所的有关规定。 (二)董事薪酬事项 董事薄连明先生的薪酬测算如下: 本次华星光电股权激励计划中,对TCL集团董事、华星光电CEO薄连明先生的激励计划为:2013年首次现金认购华星注册资本不超过1,000万元人民币,预计授予2014年期权为不超过1,000万元华星光电注册资本的认购权(以2013年华星光电业绩达成为条件,如达成业绩,则从TCL集团设立的持股公司中以1.10元/1元注册资本的价格受让,2014年4月1日起可行权),授予2015年期权为不超过1,000万元华星光电注册资本的认购权(以2014年华星业绩达成为条件,如达成业绩,则从TCL集团设立的持股公司中以1.15元/1元注册资本的价格受让,2015年4月1日起可行权)。根据上述期权价值估算,薄连明先生获得的期权在各年度费用分别不超过: ■ 上述期权费用仅为预测数据,应以审计师出具的年度审计报告为准。 经公司第四届董事会第二十五次会议审议,董事会同意公司按照华星光电股权激励计划认购不高于3.5亿元华星光电新增注册资本,认购价格为1.06元/1元注册资本,并在华星光电达成业绩条件时对该部分注册资本对应的股权进行转让;同意华星光电股权激励计划中对公司董事薄连明先生的激励计划;授权公司董事长确定及签署实施本次股权激励公司需签署的相关协议及文件。 本次事项尚需提交公司2013年第一次临时股东大会审议,与该关联交易有利害关系的关联人将放弃在股东大会上对该议案的投票权。 特此公告。 TCL集团股份有限公司 董事会 2013年5月14日
证券代码:000100 证券简称:TCL集团 公告编号:2013-043 TCL集团股份有限公司 关于广东证监局现场检查的整改报告 根据中国证监会《上市公司现场检查办法》(证监会公告[2010]12号)等文件的要求,2013年3月11日至3月22日,广东证监局对公司2011年以来公司治理、财务核算、信息披露等情况进行了现场检查指导。2013年5月2日,广东证监局对公司出具了《现场检查结果告知书》(〔2013〕44号,以下简称“《告知书》”)。本公司接到《告知书》后,公司董事会高度重视,立即组织相关部门人员学习,本着认真整改、规范运作的态度,结合公司的实际情况,针对《告知书》提出的问题进行逐项核查分析。 自上市以来,公司一直十分重视公司治理工作,并一直致力于制度流程的建立和完善,至今已建立起符合公司业务规模和经营管理需要的组织结构,并遵循不兼容职务相分离的原则,合理的设置部门和岗位,科学规划职责和权限,形成各司其职,各负其责、相互配合、相互制约的内部控制体系。但通过此次广东证监局的现场检查梳理,仍然发现公司在规范运作、内部控制、财务核算以及信息披露等方面还存在一些需要改善的环节。公司董事会经研究认为:建立完善、高效的现代企业制度一直是公司的目标,也是中国资本市场持续健康发展的基础。良好的公司治理既是公司健康可持续发展的重要保证,也可以提升公司透明度和市场形象,保护股东和利益相关方的权益,形成公司回馈股东、市场支持公司的良性互动,从而实现股东、管理层、员工、以及利益相关者等各方共赢。本次现场暴露出的问题,主要是由于公司部分业务人员对《上市公司信息披露管理办法》、《深圳证券交易所股票上市规则》、《企业会计准则基本准则》等制度的认识理解还不够深入,未能对公司的相关制度和流程完全严格的落实和执行。公司将对本次检查中发现的问题,认真进行整改。并以此次整改为契机,加强对公司的董事、监事和高级管理人员的培训,提高公司董事、监事、高级管理人员对于规范运作重要性的认识;根据公司业务的发展需要,进一步完善内部控制体系建设;通过对相关业务人员进行相关法律、法规和公司规章制度的学习和培训,加强各项内部控制制度流程的落实和执行;通过内部问责等办法,强化对公司各项制度流程的执行力度,促进公司规范化运作水平的提升。 在此,公司董事会感谢广东证监局对公司规范运作的指导和建议,整改的建议对完善公司法人治理结构,规范公司运作,提升信息披露质量,提高公司经营管理水平等方面都将产生积极的影响。公司对于本次现场检查中发现的问题,逐项制定整改措施,明确整改责任人、整改期限,并形成整改报告,该整改报告已经本公司第四届董事会第二十五次会议审议通过,现将整改措施及整改情况报告如下: (一)公司治理及内部控制存在的问题 1、关联交易未履行相关审议程序,也未及时进行披露。 问题具体情况: 公司于2012年6月将所持有的翰林汇信息产业股份有限公司(下称“翰林汇”)的480万股股份转让给公司董事、总裁(COO)薄连明先生的交易,没有按照公司章程的规定履行必要的决策程序,并披露相关信息。 整改措施: 上述情况的发生,说明公司工作流程存在疏漏。为规范公司治理,经公司第四届董事会第二十三次会议审议通过,撤消翰林汇公司股份转让交易,将该项交易恢复原状,并进行了内部问责。详情请见2013年4月8日发布在指定信息披露媒体上的公告。 公司以后将加强相关业务人员以及董事、监事、高管对《深圳证券交易所股票上市规则》、《公司章程》等制度的学习和培训,进一步提升规范运作的意识,确保公司各项工作规范、有序推进。公司将进一步加大信息披露工作的宣传力度,以工作会议、内部培训会等形式,加强对信息披露责任主体的培训,同时加强对公司控股子公司股权变更等重大事项的关注,在今后的工作中将严格按照《上市公司信息披露管理办法》、《深圳证券交易所股票上市规则》和本公司《信息披露管理办法》的规定,不断提高信息披露工作水平,确保信息披露的真实、准确、完整。 整改责任人员:公司董事长、董事会秘书 整改完成时间:已经整改,持续改善 2、内部审计机构缺乏独立性。 整改措施: 为了加强TCL集团的内部审计工作,保障内部审计机构和内部审计人员有效履行经济监督和经济评价职能,发挥内部审计在经营活动中的作用,根据中华人民共和国审计署《关于内部审计工作的规定》、中国证监会《上市公司章程指引》、《上市公司治理准则》和《公司章程》的规定,公司建立了《内部审计章程》、《审计工作制度》和《审计管理规程》等制度,明确了内部审计的组织形式、职责权限以及审计工作程序,在制度上保障了内部审计工作的独立性。 此前,公司内部审计的主管领导由公司执行董事、总裁薄连明先生担任,2012年12月份,薄连明先生开始担任公司下属子公司华星光电CEO职务,负责华星光电的全面经营管理,内部审计相关事务由公司财务总监黄旭斌先生管理,由此对公司内部审计的独立性带来了影响。2013年5月,公司已将内部审计工作的主管领导由财务总监黄旭斌先生调整为董事长李东生先生代表董事会分管内部审计工作。为便于日常审计工作的管理,由董事长授权公司副总裁黄伟先生代管内部审计的日常业务,并将内部审计工作定期或不定期向董事长报告,确保内部审计工作的独立性。 今后,公司将严格依照《上市公司治理准则》、《上市公司章程指引》、《公司章程》和《企业内部控制基本规范》等制度规定,切实加强董事会对内部审计工作的指导和监督,包括指导、监督内部审计部门对内部审计制度与内部控制制度的执行和完善,指导、监督内部审计根据公司的经营和管理需要开展各项审计工作,并对内部审计工作的绩效进行考核和评价等。同时,进一步完善年度审计工作计划的审批和审计报告制度,规范内部审计工作日常汇报记录等工作。 整改责任人员:公司董事会秘书,审计中心负责人 整改完成时间:已完成整改 3、相关投资未履行内部审批程序。 问题具体情况: 2011年5月,公司董事长李东生批准同意华星光电投资6.9亿元建设4.5代LCD实验线的项目。上述投资行为未按照公司《内部控制具体规范第5号一一固定资产、无形资产、其他长期资产》第九条的规定,履行TCL集团战略与投资部门、财务部门的审批程序。 整改措施: 为规范公司法人治理结构,加强企业内部控制和管理,提高企业经营管理水平和风险防范能力,促进企业可持续发展,公司已制定了一系列的内部控制制度和内部控制具体规范,对各个环节规定了严格的审批流程,要求公司各产业、各下属子公司各类业务按照权限与职责归口管理。 华星光电的相关投资事项按照公司的相关制度规定,应由华星光电报公司战略与投资部门、财务部门审核,报公司CEO批准。由于本公司董事长、CEO李东生先生时任华星光电的董事,华星光电的该投资事项已经过华星光电董事会的审批,并在华星光电董事会审批前向公司战略与投资部门、财务部门进行了报备,公司没有再重复审批。 公司以后将进一步加强内部控制规范的实施,完善相应的权限设置和风险防范措施,提高企业内部控制意识,避免不完备审批流程的再次出现。 整改责任人员:公司董事会秘书、战略与投资部门和财务部门负责人 整改完成时间:已完成整改 (二)财务核算存在的问题 1、预提的广告费计入当期营业费用。 问题具体情况: 公司下属的惠州TCL电器销售有限公司等企业每年按内部文件要求计提品牌基金并上缴公司品牌管理中心,由其统一负责公司品牌宣传推广活动,2012年末品牌基金预提余额535万元。上述行为违反了《企业会计准则基本准则》第二十三、第二十四、第二十五条等有关规定。 整改措施: 为了整合品牌资源,树立并提升TCL品牌及企业整体形象,公司制定了《TCL集团股份有限公司品牌共同基金章程》,成立品牌管理中心,包括惠州TCL电器销售有限公司在内的公司相关业务单位按照销售收入的一定比例提取品牌共同基金,由品牌管理中心集中进行TCL品牌的宣传推广活动。发生的品牌宣传费用在品牌基金中列支。 公司将对各下属企业广告宣传费等期间费用的计提情况进行全面梳理,期末统计已实际发生但尚未支付价款的合同金额,按照实际发生的金额确认费用,严格按照《企业会计准则》的要求规范核算,避免出现费用跨期核算的情况。今后公司将加强财务人员对《企业会计准则》的学习,不断提升会计基础工作水平。 整改责任人员:公司财务总监(CFO) 整改完成时间:已整改完成 2、提前确认销售收入。 问题具体情况: 2012年12月10日,公司下属的深圳TCL光电科技有限公司(以下简称TCL光电)签订销售合同,合同价款2346万元。TCL光电于2012年确认了上述业务收入,但迟至2013年1月11日才收到1346万元款项,上述行为不符合公司收入确认的会计政策。 整改措施: TCL光电于2012年12月份签订了销售合同(合同价款2346万元),并于12月份办理了移交签收手续,开具了相应的销售发票。由于交易对方年底筹措资金的原因,未能在12月底前将该款项及时汇出,延迟至2013年1月11日支付1346万元。鉴于12月份已签订合同并办理移交手续,且公司评估收款风险可控(在完成财务决算工作前已收到超过50%的款项),认为其风险与报酬已转移,故在2012年确认了该笔收入。 该项目对本公司归属于上市公司股东净利润的影响约为337万元,对公司2012年会计报表未产生重大影响。公司对2012年度会计报表不做调整。 公司将根据各子公司的实际情况和商业特点,制定并严格执行收入确认政策。对于特殊销售模式,将结合现行法律法规和《企业会计准则》的相关规定,综合考虑各方面风险,明确收入确认标准及其时点,并根据相关要求进行披露。公司将加强财务人员对《企业会计准则》的学习,严格按照《企业会计准则》要求进行账务处理。 整改责任人员:公司财务总监(CFO)、TCL光电财务经理 整改完成时间:已整改完成 3、未及时确认费用。 问题具体情况: 2011年8月,公司出资300万元联合19家企业设立了广东省半导体照明产业联合创新中心。该创新中心章程约定:盈余不得分红;终止清算后剩余财产用于发展与创新中心宗旨相关事业,不得分配。截至检查日,公司将上述出资列为其他应收款挂账处理。 整改措施: 本公司已将该款项在2013年确认费用,会计分录如下: 借:管理费用 3,000,000 贷:其他应收款 3,000,000 公司今后将加强财务人员对《企业会计准则》的学习,严格按照《企业会计准则》要求进行账务处理。 整改责任人员:公司财务总监(CFO) 整改完成时间:已整改完成 4、所得税费用核算错误。 问题具体情况: 华星光电在核算2012年所得税费用时未考虑公司无形资产摊销年限与税法存在差异、公司获得与资产相关的政府补助应进行纳税调整等因素,造成华星光电2012年所得税费用少计。 整改措施: 该无形资产主要是华星光电研发费用资本化形成的非专有技术,转入无形资产后,按18个月的受益期间进行摊销。华星光电获得与资产相关的政府补助,按照会计准则的规定,先计入递延收益,然后按资产的折旧受益年限分期计入营业外收入。根据财税(2011)70号《关于专项用途财政性资金企业所得税处理问题的通知》的相关规定,该项政府补助可以作为不征税收入。 华星光电正在就上述事项与当地税务部门进行沟通,并将在2012年度所得税汇算清缴中最终确认。 整改责任人员:公司财务总监(CFO)、华星光电财务总监 整改完成时间:2013年5月31日前 (三) 信息披露方面的问题 1、未及时登记内幕信息知情人。 整改措施: 公司已经按照中国证监会《关于上市公司建立内幕知情人登记管理制度的规定》,制订了《内幕信息知情人登记管理制度》,并按照有关规定记录内幕信息知情人名单及其知悉时间、地点、依据、方式、内容等信息。由于工作人员对记录时间理解有误,将记录时间统一填写成了最后一次更新内幕知情人名单的时间。公司今后将加强内幕信息登记管理,在内幕信息依法公开披露前,严格按照有关规定及时记录,并分别填写记录时间。 整改责任人员:公司董事会秘书 整改完成时间:已完成整改 2、其他应收款账龄披露错误。 2011年9月,TCL商用系统科技(惠州)有限公司将2007年以前形成的1.11亿元应收账款转让给公司,用于抵偿公司的欠款8,800万元。公司2012年年报披露相关其他应收款账面余额8,800万元,账龄1年,但其实际账龄应为3年以上。 整改措施: 2013年公司已将该其他应收款账龄列示为3年以上。公司安排专人积极催收该款项,截止2013年4月30日,该应收款项余额已减少至7,364万元。 公司今后将加强财务人员对《企业会计准则》和信息披露规则的学习,严格按照《企业会计准则》和信息披露规则要求进行信息披露。 整改责任人员:公司财务总监(CFO) 整改完成时间:已完成整改 3、2012年年报有关控股股东的披露存在矛盾。 整改措施: 惠州市投资控股有限公司为本公司第一大股东,持有本公司830,572,858股股份,占公司总股本的9.80%。按照《公司法》第217条的规定,本公司不存在控股股东。由于工作人员疏忽,在2012年报中披露副董事长任职情况时,未对相关信息的一致性进行校对,导致上述情况发生。 公司将加强对相关业务人员的培训,提升业务人员的专业程度,不断提高信息披露工作水平。严格按照《上市公司信息披露管理办法》,确保信息披露的真实、准确、完整。 整改责任人员:公司董事会秘书 整改完成时间:已完成整改 广东证监局本次现场检查及时帮助公司查找了存在的问题和不足,在促进公司财务核算、公司治理、信息披露、促进可持续发展方面将产生深远影响。公司将以广东证监局本次现场检查为契机,严格按照《公司法》、《证券法》等相关法律法规和监管机构的要求,认真落实各项整改方案,提高信息披露水平,维护公司及全体股东利益,促进公司健康稳定发展。 TCL集团股份股份有限公司 2013年5月14日
证券代码:000100 证券简称:TCL 集团 公告编号:2013-044 TCL集团股份有限公司 关于召开本公司2013年 第一次临时股东大会的通知 TCL集团股份有限公司及董事会全体成员保证公告内容的真实、准确和完整,不存在虚假记载、误导性陈述或者重大遗漏。 ■ 特此公告 TCL集团股份有限公司董事会 2013年5月14日 附件:授权委托书 兹委托 先生/女士代表本单位(个人)出席TCL集团股份有限公司2013年第一次临时股东大会,并代为行使表决权。 委托人(签章): 身份证号码: 委托人股东帐号: 委托人持股数: 受托人(代理人)姓名: 身份证号码: 委托书有效期限: 委托日期: 年 月 日 委托人表决意见(有效表决意见: “同意”、 “反对”、 “弃权”): ■ 如委托人未明确表示表决意见,则受托人(代理人)可按自己决定表决。 本版导读:
发表评论:财苑热评: |

