证券时报网络版郑重声明经证券时报社授权,证券时报网独家全权代理《证券时报》信息登载业务。本页内容未经书面授权许可,不得转载、复制或在非证券时报网所属服务器建立镜像。欲咨询授权事宜请与证券时报网联系 (0755-83501827) 。 |
广东长青(集团)股份有限公司发行股份及支付现金购买资产并募集配套资金暨重大资产重组预案 2013-06-24 来源:证券时报网 作者:
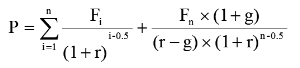
(上接C8版) 注销前,北京佰能本杰光电技术有限公司的基本情况如下: ■ 股权情况如下: ■ (二)佰能蓝天对外投资情况 截至2013年3月31日,佰能蓝天没有对外投资。 五、标的资产最近两年及一期的主要财务指标 (一)佰能电气的财务指标 佰能电气2011年度、2012年度及2013年第一季度未经审计合并财务数据和财务指标情况如下: 单位:万元 ■ 注:佰能电气2013年一季度末归属于母公司所有者权益比2012年末下降1,682.42万元,一方面是2013年1季度实现归属于母公司净利润1,467.58万元,导致净资产增加,另一方面,公司于2013年年初分配2012年股利3,150万元,导致净资产减少。 佰能电气2013年3月31日、2012年12月31日、2011年12月31日资产负债率分别为91.58%、90.49%、93.53%。佰能电气资产负债率较高主要是预收账款余额较高所致,根据初步审计数据,2013年3月31日、2012年12月31日、2011年12月31日佰能电气预收账款余额分别为109,212.82万元、101,180.54万元、99,906.84万元,预收账款占负债总额的比例分别为70.16%、68.74%、68.54%。佰能电气预收账款金额较大是行业特使的经营模式导致的,一般而言,佰能电气签订合同时即约定对方应分别于合同签订、设计后、发货前、发货后等阶段按照一定比例支付合同款,工程项目一般持续时间在2-5年,故随着佰能电气项目承建项目数量的增加,签约数量及合同金额亦相应增加,预收账款也维持在较高水平且出现了一定的增长。 (二)佰能蓝天的财务指标 佰能蓝天2011年度、2012年度及2013年第一季度未经审计财务数据和财务指标情况如下: 单位:万元 ■ 六、标的资产主要资产情况 (一)房屋所有权 截至2013年3月31日,佰能电气及下属控股子公司拥有的房屋建筑物情况如下表所示: ■ (二)土地使用权 截至2013年3月31日,佰能电气及下属控股子公司拥有的土地使用权状况如下: ■ (三)专利 截至2013年3月31日,佰能电气及下属控股子公司拥有的专利情况如下: 1、发明专利 ■ 2、实用新型专利 ■ 3、外观设计专利 ■ (四)商标 截至2013年3月31日,佰能电气拥有的商标情况如下: ■ (五)软件著作权 截至2013年3月31日,佰能电气及下属控股子公司拥有的软件著作权状况如下: ■ 七、业务资质情况 截至本预案签署日,佰能电气及下属控股公司拥有的业务资质情况如下: ■ 注:上表中部分证书即将到期的,将在到期前提交续期材料,进行更换。 八、主营业务情况 (一)佰能电气 1、主营业务 佰能电气主营业务是工业自动化领域范围内的工业计算机控制系统、电气供配电传动及控制系统和工业检测及控制仪表技术的开发和应用,是国内为数不多的能够提供国内外大型钢铁冶金行业电气、仪表、自动化控制系统整体解决方案的系统集成商之一,在国内电控工程领域具有较高的知名度与影响力。佰能电气能够为冶金行业的各个工序,如采矿、选矿、石灰窑、烧结、球团、焦化、炼铁,炼钢、轧钢等,提供电气、仪表、自动化系统整体规划、方案论证、工程设计、设备制造、安装指导、编程调试、技术培训、现场施工管理等专业服务。佰能电气产品的最终用户主要为国内外的大型钢铁企业,国内的最终用户包括柳钢、宝钢、武钢、重钢、马钢、太钢、新疆八钢、汉钢、邯钢、首钢、沧州纵横等,国外的的最终用户主要分布在印度、土耳其、伊朗、印尼、越南、哥伦比亚等国家。 另外,佰能电气拥有100%股权的柳州佰能主要从事余热发电业务,具体方式为利用柳钢烧结环冷机纯低温余热进行发电,属于自动化控制技术在节能领域实现的创新。 2、行业概况 自动控制是指在无人直接干预的情况下,利用外加设备或装置,使得机器、设备或生产过程的某个工作状态或参数自动地按照预定的程序运行。工业自动化控制技术是现代工业的支撑技术之一,被广泛应用于冶金控制、航天控制、化工控制等领域。 工业自动化控制的行业结构如下: ■ 在工业自动化领域内,供应商必须能够提供系统的整体解决方案,才能满足客户所要求实现的自动化控制诉求。具体到冶金行业中,一个控制系统的解决方案包括供应商根据客户的方案规划、工艺特点、设备要求等实际情况,利用自身掌握的技术,为客户完成整套控制系统的设计、制造、安装和调试工作。 控制系统一般可分为软硬件两部分,其中硬件部分一般分为传动、控制仪表和配电,软件部分则包括工业控制软件、网络应用软件、数据库软件、数据分析软件等,具体情况如下: ■ 设备或生产线的控制系统由于客户选用的工艺、工作环境、在工艺段中的位置不同,其具体原理设计、硬件选用、软件编程也不同,因此一般会根据客户需要进行定制。 3、市场发展和竞争情况 佰能电气主要从事冶金工业领域的电气自动化控制技术和设备的开发和应用,为客户提供包含硬件设备和软件产品的整体电气自动化控制系统解决方案。冶金行业是自动控制领域中技术要求最高的领域之一,对设备控制精度的要求高,对供应商的技术水平和对行业的理解程度要求也较高。 冶金行业本身作为经济活动重要的生产资料提供者,较易受到宏观经济的影响。因此,以冶金企业为主要客户的冶金自动化市场受宏观经济波动影响较大。2008年国际金融危机爆发后,冶金行业受到较大冲击,大幅削减了设备投资,从而使得冶金自动化市场出现萎缩。 由于钢铁行业持续不景气,国内众多钢铁企业寻求通过成本控制、加大技术改造力度等方式来改善经营业绩,谋求利润增长,同时,现有钢铁企业改造、落后产能淘汰等方面,给冶金自动化行业带来了新的市场机会。 目前,国内冶金行业主要的控制系统解决方案提供商有金自天正(600560)、宝信软件(600845)及佰能电气等,国外从事冶金工业自动化控制系统解决方案的企业包括西门子(SIEMENS)、ABB、施耐德(Schneider Electric)等国际知名工程公司。 4、业务模式 (1)佰能电气 一般而言,佰能电气电气自动化工程业务过程包括投标及主合同签订、方案设计、采购及检验、安装调试、验收等阶段,其中,设计阶段大约需要1年时间,材料采购及发货需要4-5个月,设备调试需要3-4个月,整个工程总时间需要2年以上,具体的业务流程如下: ■ 冶金行业中,由于整个钢铁企业建设工程设计及施工的组织比较复杂,技术要求比较高,管理难度比较大,需要整体协调的工作比较多,业主往往都选择项目管理承包商进行项目管理承包。项目管理承包商代表业主对工程项目进行全过程、全方位的项目管理,包括进行工程的整体规划、项目定义、工程招标、选择设计/采购/施工承包商、并对设计、采购、施工过程进行全面管理。如中钢设备,以及中国中冶(601618)下属的中冶南方工程技术有限公司、中冶赛迪工程技术股份有限公司、中冶京诚工程技术有限公司等都具有担任项目管理承包商的实力。 佰能电气作为专业从事冶金行业中电气自动化这个专业模块的解决方案提供商,受限于规模、技术方面的因素,不具备承担项目管理承包商的条件,故由于行业本身特殊的经营模式,在承接大型项目时,佰能电气多是配合项目管理承包商共同参与整个钢铁企业建设工程的投标,并与项目管理承包商签署项目合同,所以佰能电气在整个电气自动化方案设计、设备采购、建设施工过程中虽然接受项目管理承包商的管理,但仍以满足用户在技术参数、生产工艺等方面的要求为最终目标。 (2)柳州佰能 佰能电气和广西柳州钢铁(集团)公司(下称“柳钢”)为了合作开发利用柳钢烧结环冷机余热资源进行纯低温余热发电项目,以BOT合作方式设立了柳州佰能,作为项目公司。整个余热发电项目工程基于烧结机生产过程中产生的大量余热资源进行发电,在建造、运行和转让(BOT)的基础上实施,由佰能电气承担余热发电项目的设计、建设、运行管理所需资金以及运营风险,同时享有约定期限内余热发电项目产生的收益,佰能电气和柳钢协议约定的合作期限为13年。 (二)佰能蓝天 佰能蓝天成立于2012年10月,由佰能电气和原佰能电气环境资源和清洁能源部的业务骨干共同创立,由于刚刚开业,目前尚处于亏损状态。佰能蓝天未来将承接佰能电气原有的余热利用、余热发电、烟气脱硫、二氧化碳减排等业务,在工业及民用领域的节约能源、环境保护、资源循环利用等各个方面开展业务。佰能蓝天的主要业务人员于佰能电气任职期间在钢铁、冶金、建材、化工、城市建设等领域进行过大量的基础研究和工程实践,在烧结机余热发电(如柳州佰能余热发电项目)和氨法脱硫等方面均拥有一定的技术和业务积累。随着我国对节能及环境保护的日益重视,尤其国家最新发布的《“十二五”节能减排综合性工作方案》和相继出台的关于节能减排的一些优惠政策,未来节能环保产业的发展前景广阔。 (三)与长青集团现有业务的相关性 本次交易的标的资产佰能电气下属子公司柳州佰能从事余热发电业务,佰能蓝天从事资源综合利用、节能减排工程等业务,长青集团现有业务则包括垃圾发电和生物质发电。 佰能电气、佰能蓝天与长青集团均致力于研发环境保护、资源回收等方面的专业技术,并通过承接环保、节能减排工程项目以BOT或BO模式开展业务,交易标的与长青集团在业务模式、经营行业方面均有一定的相关性。在业务开展过程中,长青集团主要侧重于项目投资,佰能蓝天则侧重于工程设计、建设施工、运营管理及技术服务,双方在业务上的互补性较强。同时,佰能电气还可以利用在电气自动化方面的专业优势,为长青集团现有的电厂项目提供技术支持。 因此标的资产所经营的业务与长青集团现有业务之间存在一定的互补性和相关性。 九、过去盈利增长情况和未来盈利能力 (一)过去三年盈利增长情况 佰能蓝天成立于2012年10月,目前尚处于业务拓展期,没有可共参考的历史财务数据。以下仅就佰能电气的历史收入和盈利情况进行简要分析: 1、营业收入历史分析 单位:万元 ■ 2012年度佰能电气合并利润表营业收入较2011年度增加约1.05亿元,净利润增加约2,896万元,归属于母公司所有者的损益增加约2,937万元;2011年度佰能电气合并利润表营业收入较2010年度增加约388万元,净利润增加约225万元,归属于母公司所有者的损益增加约246万元。根据初审数据,佰能电气营业收入的大致构成情况如下: 单位:万元 ■ 如上表所述,利润增长主要来源于营业毛利的增长,具体原因如下: (1)余热发电收入增长 2009年4月佰能电气与广西柳州钢铁(集团)公司签订了“广西柳州钢铁(集团)公司烧结环冷机余热发电BOT项目”,BOT经营权13年,其中1号电站于2011年3月开始运行,随发电量增加和结算单价上涨,余热发电收入和利润增加。 (2)佰能电气业务量及合同收入稳定增加 在市场上承接大型工程项目增加,2010年至2012年单个合同金额在100万元以上的工程项目完成数及项目收入额经统计如下: ■ 佰能电气从事冶金工业领域的电气自动化控制技术和设备的开发和应用,主要服务对象为国内外大型钢铁企业,在近年来钢铁行业整体不景气的大环境下,佰能电气的业务承接数量和收入情况没有出现大幅度下滑,反而稳中有增,原因如下: a、国内钢铁行业目前所谓的产能过剩,主要是结构性的过剩,与国家经济结构调整有关。相对于国家规模和经济体量来说,与发达国家相比还有很大差距,有相当大的刚性需求。近年来,国内各大钢铁企业并没停产,而是在低利润运行。在此背景下,虽然行业内部新建工程较少,但技术改造量较大,故作为技术改造重点电气自动化并没有出现业务显著萎缩的情况,相应的,佰能电气的业务量也保持稳定; b、钢铁工业装备是在高温、高粉尘等相对特殊的环境下运行,其运行寿命周期较短,例如炼铁高炉,一代炉龄一般在十几年左右,每年需要更新的工程量也相当巨大; c、佰能电气是行业内前往境外参与钢铁建设项目时间较早的企业之一,在国际市场上占有一定优势,得益于这些年发展中国家经济发展需要以及发达国家将钢铁等影响环境、消耗资源的产业向发展中国家的转移,佰能电气境外业务承接量也相对稳定; d、近年来,佰能电气和中钢设备双方联合承包了大量的国内外钢铁建设工程,双方优势互补、配合默契,中钢设备每年承包合同金额规模达上百亿元,佰能电气作为中钢设备的主要合作者,所承包电气自动化工程也有很大增长。 2、净利润历史分析 受益于行业和企业自身的发展,佰能电气2010-2012年三年净利润复合增长率为37.40%,具体各年情况如下: 单位:万元 ■ 历史净利润增长的原因详见本节“1、营业收入历史分析”。 (二)未来盈利能力 结合以往的发展经验,以及未来持续增长的行业发展态势和企业稳定的发展情况,根据未审定报表和初步预测,佰能电气未来盈利情况如下: ■ 佰能电气合并报表未来几年预测数据较2011年、2012年比变化较大,主要的利润贡献来源包括: (1)佰能电气业务的稳步发展 截至2013年3月31日,佰能电气已经签署但尚未执行完毕的单个合同金额100万元以上的工程项目合同合计76个,合同金额16.2亿元,该等合同将在近年内执行完毕。 (2)柳州佰能发电量的提升 佰能电气下属子公司柳州佰能自2011年3月1号22MW发电机组开始运行以来,发电量逐步提高,设计满负荷发电量为每年19,272万度,柳州佰能正在建设的2号20MW发电机组也即将投入使用,设计满负荷发电量为每年17,520万度,以上两个发电机组在未来年度将为佰能电气合并报表带来稳定的收入。 上述因素为佰能电气实现盈利预测目标提供了保障。鉴于本次发行股份及支付现金购买资产的审计、评估、盈利预测及审核工作尚未完成,因此本次交易对方最终实际承诺的业绩以正式评估报告中的金额为准,标的资产业绩预测数据以经审核的盈利预测报告为准。 十、交易标的预估值 (一)本次交易交易标的预估值情况 发行股份及支付现金购买资产预案阶段,评估机构对佰能电气采用收益法进行了预估,对佰能蓝天采用资产基础法进行了预估,其已基本满足本阶段方案要求,佰能电气100%股权预估值为138,320.87万元,佰能蓝天6.42%股权预估值为139.34万元。 待正式评估阶段,评估机构将会采取收益法和资产基础法对标的资产进行评估。 (二)本次预估的假设条件和评估方法 1、佰能电气 (1)一般假设 a.本次评估是以企业持续经营为评估假设前提。以评估对象在公开市场上进行交易、正处于使用状态且将继续使用下去为评估假设前提; b.假设评估基准日后被评估单位所处国家和地区的政治、经济和社会环境无重大变化; c.假设评估基准日后国家宏观经济政策、产业政策和区域发展政策无重大变化; d.假设和被评估单位相关的利率、汇率、赋税基准及税率、政策性征收费用等评估基准日后不发生重大变化; e.假设评估基准日后被评估单位的管理层是负责的、稳定的,且有能力担当其职务; f.假设被评估单位完全遵守所有相关的法律法规; g.假设评估基准日后无不可抗力对被评估单位造成重大不利影响。 (2)具体假设 a.假设评估基准日后佰能电气在现有管理方式和管理水平的基础上,经营范围、方式与目前保持一致; b.假设佰能电气生产经营所消耗的主要原材料、辅料的供应及价格无重大变化; c.假设佰能电气保持现有的收入取得方式和信用政策不变,不会遇到重大的款项回收问题; d.假设佰能电气与客户目前已签署的建设合同在预测期间内不会发生重大变化; e.预估值对应的收益预测不包含公司房屋出租收益、理财收益、以及参股投资产生的收益。 (3)评估方法 本次评估采用收益法,收益法是指通过将被评估企业预期收益资产化或折现以确定评估对象价值的评估思路。 本次收益法评估模型选用企业自由现金流折现模型。现金流量折现法的描述具体如下: 股东全部权益价值=企业整体价值-付息债务价值 a.企业整体价值 企业整体价值是指股东全部权益价值和付息债务价值之和。根据被评估单位的资产配置和使用情况,企业整体价值的计算公式如下: 企业整体价值=经营性资产价值+溢余资产价值+非经营性资产负债价值 i.经营性资产价值 经营性资产是指与被评估单位生产经营相关的,评估基准日后企业自由现金流量预测所涉及的资产与负债。经营性资产价值的计算公式如下: ■ 其中:P:评估基准日的企业经营性资产价值; Fi:评估基准日后第i年预期的企业自由现金流量; Fn:预测期末年预期的企业自由现金流量; r:折现率(此处为加权平均资本成本,WACC); n:预测期; i:预测期第i年; g:永续期增长率。 其中,企业自由现金流量计算公式如下: 企业自由现金流量=息前税后净利润+折旧与摊销-资本性支出-营运资金增加额 其中,折现率(加权平均资本成本,WACC)计算公式如下: ■ 其中:ke:权益资本成本; kd:付息债务资本成本; E: 权益的市场价值; D: 付息债务的市场价值; t: 所得税率。 其中,权益资本成本采用资本资产定价模型(CAPM)计算。计算公式如下: ■ 其中: rf:无风险收益率; MRP:市场风险溢价; βL:权益的系统风险系数; rc: 企业特定风险调整系数。 ii.溢余资产价值 溢余资产是指评估基准日超过企业生产经营所需,评估基准日后企业自由现金流量预测不涉及的资产。溢余资产单独分析和评估。 iii.非经营性资产、负债价值 非经营性资产、负债是指与被评估单位生产经营无关的,评估基准日后企业自由现金流量预测不涉及的资产与负债。非经营性资产、负债单独分析和评估。 b.付息债务价值 付息债务是指评估基准日被评估单位需要支付利息的负债。付息债务以核实后的账面值作为评估值。 2、佰能蓝天 (1)一般假设 a.本次评估是以企业持续经营为评估假设前提。以评估对象在公开市场上进行交易、正处于使用状态且将继续使用下去为评估假设前提; b.假设被评估单位完全遵守所有相关的法律法规; (2)评估方法 本次评估采用资产基础法,是指以被评估企业评估基准日的资产负债表为基础,合理评估企业表内及表外各项资产、负债价值,确定评估对象价值的评估方法。 (三)评估增值的原因 最近三年,佰能电气的股权转让均为佰能电气员工或关联方员工之间的转让,转让价格系出于维持佰能电气稳定发展、将员工与公司以资本纽带捆绑的考虑,并未将行业前景、未来盈利等于计算在内,因此以往的转让价格与本次的预估值之间存在较大差异。 本次标的资产的预估值与账面值有较大差异,是由于佰能电气的业务特点、资产特点、账面值构成、收益能力以及预估采用的评估方法造成的,具体分析如下: 1、业务和资产特点 目前佰能电气主要两大收益来源是佰能电气本部和下属全资子公司柳州佰能。 佰能电气主营业务是工业自动化领域范围内的工业计算机控制系统、电气供配电传动及控制系统和工业检测及控制仪表技术的开发和应用的系统集成商。公司属于人力密集型、技术密集型企业,并依赖人才优势、技术优势赢得稳定的优质客户资源、项目资源,给公司创造了稳定收益。佰能电气的固定资产占总资产比重较小,仅为1%左右,同时,佰能电气及其下属公司拥有1项发明专利、16项实用新型专利、1项外观设计专利、37项著作权以及多项行业许可和认定的专业资质及证书,属于典型的轻资产、重技术、重人才、重市场且处于稳步发展和提升阶段的高新技术企业。 佰能电气拥有100%股权的柳州佰能从事余热发电业务,为柳钢提供电能。在项目合同约定期内电价及成本均已约定,为柳州佰能带了稳定、安全、丰厚的收益,另外该公司属于自动化控制技术在节能领域实现的创新,在投资方面得到政府大力支持和补贴,属于投资小,但回报高、收益有保障、供需双方共赢、社会效益良好的企业。 2、评估方法 佰能电气本部采用收益法进行预估的原因是其近几年业务稳定增长,未来收益可以可靠预测,收益法能从盈利角度能较好反映公司价值;柳州佰能经营的是BOT项目,其投资是为了实现项目的收益权,合同期届满项目资产移交合同对方,因此,柳州佰能只有通过收益法才能合理反映公司价值。 账面值反映的是公司账面记录的各项资产和负债的历史成本;收益法是从决定资产现行公平市场价值的基本依据——资产的预期获利能力的角度评价资产,因此两者出现了较大差异。 3、盈利能力 佰能电气较好的收益能力源于公司核心竞争力,柳州佰能较好收益源于该公司经营优质项目资源——余热发电BOT项目。 (1)佰能电气 佰能电气是国内为数不多的能够提供国内外大型钢铁冶金行业电气、仪表、自动化控制系统整体解决方案的系统集成商之一,在国内电控工程领域具有较高的知名度与影响力。佰能电气能够为冶金行业的各个工序,如采矿、选矿、石灰窑、烧结、球团、焦化、炼铁,炼钢、轧钢等,提供电气、仪表、自动化系统整体规划、方案论证、工程设计、设备制造、安装指导、编程调试、技术培训、现场施工管理等专业服务。佰能电气具有较强的市场竞争能力,近年来毛利率逐步增加,2010年至2012年的毛利率分别为17.98%、19.10%、22.58%。同时,佰能电气在市场上承接大型工程项目也有所增加,近三年单个合同金额在100万元以上的工程项目完成数及项目收入额经统计如下: ■ (2)柳州佰能 柳州佰能经营的余热发电项目,经营期13年,电价、成本均在合同中约定,机组运行状态良好,因此该项目风险小,收益稳定。柳州佰能近三年的主要财务指标如下: ■ 4、账面值构成 账面值为公司账面记录的各项资产和负债的历史成本,不能反映公司各类资产的公允价值,在重组并购完成后,通过合并对价分摊将公司所拥有的房产、土地使用权、无形资产专有技术、著作权等按照公允价值进行量化后,公允价值将大大高于账面值。 收益法预估值,还包含了账面上无法体现的管理优势、人才资源、客户资源、项目资源、政府支持等无形资产,导致预估值与账面值差异较大。 综上所述,佰能电气账面值不能真实反映各类资产的公允价值,也不能很好反映公司价值;佰能电气适合采用收益法进行估值,在收益能够可靠预测的基础上,合理确定公司价值,就会出现公司价值与账面值差异较大的情况。 (四)评估盈利预测的基础 (1)佰能电气 佰能电气营业收入构成包括工程收入、建安收入、备件收入、服务收入等。目前,盈利预测数据营业收入是佰能电气基于目前在执行合同未来执行进度,统计历史年度新增合同量,并考虑历史年度营业收入增长趋势后,综合确定未来年度可实现收入的数据,并根据历史年度可实现的项目毛利及在执行合同的收益水平确定未来项目收益数据,该营业收入的增长趋势相比历史趋势是稳健的,毛利率及各项税费率都是参考了历史平均水平,公司历史经营业绩未受行业不景气的影响,但是在进行盈利预测时,按照谨慎性原则,预测期的各项参数均为稳健的和可实现的。 (2)柳州能源 盈利预测数据的基础是参考1号机组目前运行可实现的发电量,以及即将建设投入使用的2号机组可实现发电量,再按照合同约定的电价、工业水、除盐水成本价,并结合历史数据进行分析对比后确定未来各项参数,该公司的盈利预测数据是可靠的。 十一、交易标的出资及合法存续情况 1、截至本预案签署日,佰能电气、佰能蓝天股东已全部缴足注册资本,实际出资与工商登记资料相符,不存在任何虚假出资、延期出资、抽逃出资等违反作为股东所应当承担的义务及责任的行为。 2、本次通过发行股份及支付现金购买的资产为中钢设备、金隅集团、佰能共合和赵庆锋、孙丽等43名自然人持有的佰能电气100%的股权、陈立刚、黄学科、刘强、王志强持有的佰能蓝天6.42%的股权,中钢设备、金隅集团、佰能共合和赵庆锋、孙丽等44名自然人分别承诺持有的佰能电气和佰能蓝天股权均系依合法方式取得,对该股权拥有合法、完整的处置权利;不存在质押、担保或其他第三方权利等限制性情形,亦不存在被查封、冻结、托管等限制转让情形。本次交易的标的权属状况清晰,过户或转移不存在法律障碍。 十二、交易标的关联方资金占用情况 截至2013年3月31日,佰能电气、佰能蓝天均不存在被原股东非经营性资金占用的情形。 第六章 本次交易对上市公司的影响 由于与交易标的相关的资产评估、审计和盈利预测审核工作正在进行之中,具体评估和财务数据尚未确定,以下分析均以交易标的资产价值的预估值、预测值和拟发行股份为基础进行测算。 一、本次交易对公司业务的影响 本次交易前,公司主要从事燃气具的生产制造和研发以及生物质发电业务,本次发行后公司将新增工业电气自动化、余热发电等业务,有利于提高公司综合竞争能力。 本次交易之后,佰能电气将成为上市公司的全资子公司,同时公司将能够控制佰能蓝天100%的股权。一方面,本公司可以完全享有佰能电气和佰能蓝天所带来的收益;另一方面,本公司可利用自身上市公司的资本平台优势和配套资金,发挥协调效益,加速业务发展。 二、本次交易对公司盈利能力的影响 本次交易完成后,佰能电气和佰能蓝天的相关业务和资产将全部进入上市公司,有助于增强公司的盈利能力,提升抗风险能力和经营效率,为上市公司及全体股东带来良好的回报。 2013年至2016年,佰能电气预计实现净利润情况如下: ■ 据此,本次交易完成后,上市公司的盈利能力将得到大幅度提升,竞争实力增强,符合公司及全体股东的利益。 鉴于与本次交易相关的审计、评估和盈利预测工作尚未完成,佰能电气的最终盈利预测数据以本公司再次召开董事会后披露的《广东长青(集团)股份有限公司发行股份及支付现金购买资产并募集配套资金暨重大资产重组报告书》为准。 三、本次交易对同业竞争的影响 本次交易,公司将通过发行股份及支付现金的方式购买佰能电气100%股权和佰能蓝天由少数股东持有的6.42%股权。本次交易完成后,公司将持有佰能电气100%股权,并能够控制佰能蓝天100%的股权。收购完成后,公司的控股股东及实际控制人仍为何启强和麦正辉,控股股东及实际控制人未发生变更。公司与控股股东、实际控制人及其控制的其他企业之间不存在同业竞争。因此,本次交易不会产生同业竞争。 四、本次交易对关联交易的影响 (一)本次交易前佰能电气的关联交易情况 本次交易前,佰能电气因工业电气自动化业务的经营需要,与中钢设备存在持续性的关联交易(具体行业经营模式参见本预案“第五节 交易标的基本情况”之“八、主营业务情况”),与其参股的金时佰德存在持续性的关联交易,佰能电气的相关股东曾经担任董事、监事和高级管理人员的北京时代凌宇科技有限公司、浙江联能电气有限公司与佰能电气之间存在持续性的关联交易。 2011年度、2012年度以及2013年1-3月佰能电气的关联交易情况如下: 1、销售产品、提供劳务 ■ 2011年度、2012年度及2013年1-3月关联销售、提供劳务主要为分包工程项目、房屋收入、LED产品销售,佰能电气公司销售产品、提供劳务的关联方主要为中钢设备,分包其业务实现的收入分别为19,203.95万元、35,284.79万元和2,454.04万元,占佰能电气同期关联收入的比重均在90%以上,分别占佰能电气同期营业收入的比重分别44.18%、65.38%和30.29%。佰能电气关联交易收入均按照市场价格定价。 2、采购 ■ 存货关联采购主要是向北京时代凌宇科技有限公司、金时佰德、浙江联能电气有限公司等关联方采购电气设备;固定资产采购主要是向北京市科实五金有限责任公司购买房屋;无形资产采购主要是2012年度采购金额较大是柳州佰能向北京市科实五金有限责任公司采购土地。 (二)本次交易后佰能电气的关联交易情况 本次交易后,预计佰能电气与中钢设备之间的关联交易仍将持续。预测2013年4-12月、2014年度、2015年度和2016年度,佰能电气的关联交易情况如下: 1、销售产品、提供劳务 ■ 根据佰能电气提供的未经审计的2013年度4-12月、2014年度、2015年度未经审计盈利预测数,佰能电气预计关联销售均为分包中钢设备工程项目,均按照市场价格定价。 2、采购 ■ 根据佰能电气提供的未经审计的2013年4-12月、2014年度、2015年度未经审计盈利预测数,佰能电气预计主要关联采购均为向金时佰德采购商品,均按照市场价格定价。 (三)佰能电气的关联交易形成原因 本次重组前后,佰能电气的主要关联交易为从中钢设备分包工程项目,是由佰能电气的经营模式决定的。 冶金行业中,由于整个钢铁企业建设工程设计及施工的组织比较复杂,技术要求比较高,管理难度比较大,需要整体协调的工作比较多,业主往往都选择项目管理承包商进行项目管理承包。项目管理承包商代表业主对工程项目进行全过程、全方位的项目管理,包括进行工程的整体规划、项目定义、工程招标、选择设计/采购/施工承包商、并对设计、采购、施工过程进行全面管理。如中钢设备,以及中国中冶(601618)下属的中冶南方工程技术有限公司、中冶赛迪工程技术股份有限公司、中冶京诚工程技术有限公司等都具备担任项目管理承包商的实力。 佰能电气作为专业从事冶金行业中电气自动化这个专业模块的解决方案提供商,受限于规模、技术方面的因素,不具备承担项目管理承包商的条件,故由于行业本身特殊的经营模式,在承接大型项目时,佰能电气多是配合项目管理承包商共同参与整个钢铁企业建设工程的投标,并与项目管理承包商签署项目合同。所以佰能电气在整个电气自动化方案设计、设备采购、建设施工过程中虽然接受项目管理承包商的管理,但仍以满足用户在技术参数、生产工艺等方面的要求为最终目标。 佰能电气与中钢设备基于历史渊源长期合作,在长期的合作中,佰能电气为中钢设备承担项目管理承包商的项目提供了专业化、个性化的产品及服务,双方建立了一定相互信任的关系。分工边界清晰,分工的边界在商务合同中界定,双方技术人员配置交叉互补。 佰能电气与中钢设备合作的基本模式是:佰能电气与中钢设备各自搜集项目信息,根据每个项目的特点,共同开展前期工作,共同参加前期用户考察。 双方与用户之间的技术谈判分组进行,部分合同的电气部分的技术附件由佰能单独与业主签署。具体项目中的主体电气自动化部分由佰能电气负责,部分技术附件中的电气自动化章节由佰能电气的工程师签署,工程项目的主体电气自动化部分造价由佰能电气报给中钢设备,中钢设备公司汇总成一个完整的工程报价报给用户。 (四)本次交易对关联交易的影响 本次交易前,交易对方中钢设备、金隅集团、佰能共合和赵庆锋、孙丽等44名自然人与上市公司及其关联方不存在关联关系。 本次交易完成后,何启强、麦正辉仍为公司的控股股东、实际控制人,本次交易本身不构成关联交易,也不存在控股股东、实际控制人通过关联交易损害上市公司利益的情形。 本次交易后,佰能电气将成为上市公司的全资子公司,同时公司将能够控制佰能蓝天100%的股权,中钢设备、金隅集团分别将持有上市公司7.94%、5.90%股份,持股比例高于5%,佰能共合及赵庆锋、孙丽等44名自然人持有的股份均低于5%(以上比例根据向不超过10名其他特定投资者发行不超过3,421.30万股股份募集配套资金后的各股东持股情况计算)。 根据未经审计的数据,模拟合并计算的长青集团、佰能电气2011年、2012年、2013年1-3月营业收入中,与中钢设备的关联交易收入具体情况如下: 单位:万元 ■ 如前文所述,佰能电气与中钢设备之间的关联交易系由于行业特性所致,交易价格将根据市场机制决定,不会对上市公司的利益造成损害。 本次交易后,长青集团将严格按照《公司章程》、《关联交易决策制度》等公司制度规范可能发生的关联交易,相关关联交易仍将严格遵守市场原则,同时避免不必要的关联交易,避免损害佰能电气及长青集团股东权益的情况发生。 独立财务顾问认为:本次交易本身不构成关联交易,不存在控股股东、实际控制人通过关联交易损害上市公司利益的情形。本次交易前,中钢设备不是佰能电气的控股股东,佰能电气与中钢设备所发生的关联交易并不是与控股股东或实际控制人之间的交易,佰能电气与中钢设备之间的合作主要系基于行业特性和相互信任;本次交易后,佰能电气成为长青集团下属子公司,其与中钢设备之间存在的关联交易不构成长青集团对中钢设备的依赖,长青集团将严格按照《公司章程》、《关联交易决策制度》等公司制度规范可能发生的关联交易,维护全体股东利益。 法律顾问北京国枫凯文律师事务所认为:中钢设备不是佰能电气的控股股东,佰能电气与中钢设备所发生的关联交易并不是与控股股东或实际控制人之间的交易;佰能电气与中钢设备之间的合作主要系基于行业特性;本次重大资产重组完成后,佰能电气与中钢设备之间的交易金额占长青集团整体营业收入的比例相对较低,故本次重大资产重组完成后,长青集团对中钢设备不存在依赖,该等情形对本次交易不构成实质性法律障碍。 五、本次交易对公司控制权的影响 本次交易前,公司总股本14,800万股,其中何启强和麦正辉直接持有长青集团57.00%的股份,通过新产业间接持有长青集团15.00%的股份,何启强和麦正辉直接和间接合计持有长青集团72.00%的股份,为公司控股股东、实际控制人。 本次交易中,公司拟向中钢设备、金隅集团、佰能共合和赵庆锋、孙丽等44名自然人发行股份不超过7,292.18万股,本次交易完成后,何启强、麦正辉直接和间接持有的长青集团48.23%股份,仍是长青集团的控股股东、实际控制人,控制公司的经营决策和财务决策,公司管理层也将保持稳定。本次交易不会导致上市公司控制权变化。如考虑向不超过10名其他特定投资者募集配套资金发行不超过3,421.30万股股份,何启强、麦正辉直接和间接持有的长青集团41.77%股份,仍不会导致上市公司控制权的变化。 六、本次交易对公司上市地位的影响 本次交易完成后,上市公司股本总额不超过4亿元,上市公司的股权将进一步分散,不存在社会公众持有的股份低于公司股份总数的25%的情形,不会影响公司的上市地位。 七、本次交易对公司其他方面的影响 本次交易完成后,长青集团将持有佰能电气100%股权,并将能控制佰能蓝天100%的股权。本次交易不影响标的公司员工与标的公司签订的劳动合同关系,原劳动合同关系继续有效。除此之外,公司无针对标的资产的其他资产、业务整合及人员调整计划。 第七章 本次交易的报批事项及风险因素 一、本次交易行为的方案尚需表决通过或核准的事项 本次交易行为尚需表决通过或核准的事项包括: 1、本次交易标的资产的价格经审计、评估确定后,尚需经公司再次召开董事会审议通过; 2、有权国有资产监督管理部门核准本次重大资产重组涉及的国有资产评估结果以及批准本次重大资产重组方案; 3、公司股东大会审议通过本次交易方案及相关议案; 4、中国证监会核准本次交易方案。 上述批准或核准均为本次交易的前提条件,重组方案能否取得公司股东大会及中国证监会的批准或核准存在不确定性,以及最终取得批准或核准的时间存在不确定性,提请广大投资者注意投资风险。 二、本次交易的风险提示 投资者在评价公司本次交易时,除本预案的内容和与本预案同时披露的相关文件外,还应特别认真地考虑下述各项风险因素。 (一)本次重组无法按期进行的风险 由于本次重大资产重组将受到多方因素的影响且本方案的实施尚须满足多项条件,使得重组工作时间进度存在一定的不确定性风险。本次重组可能因为以下事项的发生而不能按期进行: 1、因股价异常波动或异常交易可能涉嫌内幕交易而使本次重组被迫暂停、中止或取消; 2、本次重组的首次董事会决议公告后,6个月内无法发出股东大会通知; 3、审计或评估工作未能按时完成; 若本次重组无法进行,或需要重新召开董事会审议重组事宜的,本公司董事会重新作出发行股份及支付现金购买资产决议时,应当以该次董事会决议公告日作为发行股份的定价基准日。 本公司董事会将在本次重大资产重组过程中及时公告相关工作的进度,以便投资者了解本次交易进程,并作出相应判断。特此提请广大投资者充分注意上述重组工作时间进度以及重组工作时间进度的不确定性所可能导致的重新计算股票发行价格的风险。 (二)审批风险 本次重组尚需取得下述审批或核准以实施,包括但不限于本次交易标的资产的审计、评估及相关盈利预测工作完成后本公司再次召开董事会审议通过本次交易的相关议案、本公司召开股东大会批准本次交易、有权国有资产监督管理部门核准资产评估结果并批准本次交易、中国证监会核准本次重组等。尚需履行的审核或审批程序请见本预案第七章“一、本次重大资产重组尚需履行的批准程序”。本预案能否成功实施尚具有不确定性,请投资者关注投资风险。 (三)标的资产的估值风险 本预案披露了标的资产相关的资产评估的预估数据,该预估数据是根据截至本预案签署日已知的情况和资料对标的资产的价值所做的预计。尽管对标的资产价值预估的各项假设遵循了谨慎性原则,但仍存在一定的不确定性,本预案披露的标的资产的预估数据可能与最终的评估结果存在差异。 (四)管理风险 本次交易完成后,公司的资产和业务规模将出现大幅增长。尽管公司已建立规范的管理体系,经营状况良好,但随着公司规模迅速的扩大,组织结构和管理体系需要向更有效率的方向发展,公司经营决策和风险控制难度将增加。如公司的组织管理体系和人力资源不能满足资产规模扩大后对管理制度和管理团队的要求,公司的生产经营和业绩提升将受到一定影响。 (五)经营和整合风险 本次交易完成后,本公司的业务范围将增加工业电气自动化、余热发电等,与本公司现有的燃气具研发生产销售以及生物质发电业务存在差异,同时,公司与标的资产在经营地域、企业文化、客户类型等方面也有一定的不同。如果公司在未来经营整合过程中不能及时消除上述差异所带来的影响,则将对交易完成后的经营业绩增长带来一定的压力。 (六)佰能电气单一客户依赖及关联交易的风险 本次交易前,佰能电气因工业电气自动化业务的经营需要,与中钢设备存在持续性的关联交易(具体行业经营模式参见本预案“第五节 交易标的基本情况”之“八、主营业务情况”),中钢设备是佰能电气第一大股东,同时也是佰能电气第一大客户,2011年度、2012年度及2013年度1-3月,佰能电气从中钢设备实现的业务收入分别为19,203.95万元、35,284.79万元和2,454.04万元,占佰能电气同期营业收入的比重分别为44.18%、65.38%和30.29%。本次交易完成后,根据预估的2013年4-12月、2014年度、2015年度、2016年度数据,佰能电气从中钢设备实现的业务收入分别为36,164.03万元、46,664.70万元、51,742.47万元、57,529.37万元,占佰能电气同期营业收入的比重分别为67.77%、69.78%、71.35%和76.26%。 中钢设备对佰能电气的业务发展具有重要影响,佰能电气对中钢设备存在单一客户依赖的风险。同时,本次重组完成后,若未来佰能电气与中钢设备关联交易协议不能被严格遵守,则可能损害公司利益。 未来,公司将继续严格执行关联交易的相关制度,积极开发新客户,按照交易所上市规则和《公司章程》的要求,严格履行关联交易的批准程序,做好关联交易的及时、充分信息披露,保证关联交易的公正透明,以保护本公司全体股东的利益。 (七)税收优惠政策变化风险 佰能电气现拥有的高新技术企业证书有效期截止至2014年10月10日,按照相关规定,佰能电气2011年、2012年及2013年减按15%的税率征收企业所得税。柳州佰能现拥有资源综合利用认定证书,有效期为2013年1-12月,根据规定,柳州佰能享受减按90%收入计入当年收入总额的所得税优惠政策以及增值税即征即退100%优惠政策。上述资质有效期满后,如果佰能电气和柳州佰能不能继续保持相应资质,或者相关税收优惠政策发生变化,将可能增加佰能电气和柳州佰能的税负,从而给其盈利能力带来一定影响。 (八)本次交易形成的商誉减值风险 本次交易完成后,长青集团合并资产负债表中将形成一定金额的商誉。根据《企业会计准则》规定,本次交易形成的商誉不作摊销处理,但需在未来每年年度终了进行减值测试。如果佰能电气及其下属企业未来经营状况恶化,则存在商誉减值的风险,从而对长青集团当期损益造成不利影响,提请投资者注意。 (九)标的资产的经营风险 本次交易的标的资产佰能电气以钢铁冶金行业为主要目标市场。受经济周期影响,钢铁行业周期性波动较为明显,一旦下游行业不如经济周期的低谷,将对佰能电气的业务产生不利影响,尽管佰能电气近年来合同数量饱满、营业收入较为稳定且出现一定的增长,但下游行业的周期性波动仍将使佰能电气的主营业务面临一定的经营风险。 同时,标的资产佰能蓝天由于刚刚成立目前尚无历史经营业绩,无法通过过去数据来判断未来的经营情况,未来佰能蓝天的经营管理等方面均具有一定的不确定性。 (十)现金补偿无法收回的风险 根据公司与赵庆锋、孙丽、关山月、黄功军、张宏伟和彭燕签署的《利润预测补偿协议书》,后续利润承诺期间内,有可能出现赵庆锋、孙丽需以现金方式向公司进行补偿的情形。 若出现赵庆锋、孙丽、关山月、黄功军、张宏伟和彭燕无法按时以现金方式按《利润预测补偿协议书》相关条款支付现金补偿的情形,公司将采取必要的法律措施要求参与盈利预测补偿人员履行相关现金补偿义务。对于在履行必要的法律手段后,依然存在部分现金补偿款无法收回的风险。 (十一)股市风险 股票市场价格波动不仅取决于企业的经营业绩,还要受宏观经济周期、利率、资金供求关系等因素的影响,同时也会因国际、国内政治经济形式及投资者心理因素的变化而产生波动。因此,股票交易是一种风险较大的投资活动,投资者对此应有充分准备。长青集团本次交易事项需要有关部门审批且需要一定的时间周期方能完成,在此期间股票市场价格可能出现波动,从而给投资者带来一定的风险。 (十二)不可抗力风险 自然灾害、战争以及突发性公共卫生事件可能会对本次交易的标的资产、本公司的财产、人员造成损害,并有可能影响本次重组的进程及本公司的正常生产经营。此类不可抗力的发生可能还会给本公司增加额外成本,从而影响本公司的盈利水平。 第八章 保护投资者合法权益的相关安排 一、严格履行上市公司信息披露义务 本次交易涉及上市公司重大事件,公司已经切实按照《证券法》、《重组管理办法》、《上市公司信息披露管理办法》、《关于规范上市公司信息披露及相关各方行为的通知》的要求履行了现阶段的信息披露义务。本预案披露后,公司将继续严格履行信息披露义务,按照相关法规的要求,及时、准确、公平地向所有投资者披露可能对上市公司股票交易价格产生较大影响的重大事件与本次重组的进展情况。 二、盈利预测补偿安排 根据《重组管理办法》和中国证监会的相关规定,拟收购资产采用收益法和资产基础法进行评估并作为定价依据的,重组方应当对拟收购资产未来三年的盈利进行承诺并作出可行的补偿安排。公司与赵庆锋、孙丽、关山月、黄功军、张宏伟和彭燕签署了《利润预测补偿协议书》,赵庆锋、孙丽、关山月、黄功军、张宏伟和彭燕对佰能电气2013年度、2014年度、2015年度经审计的归属于母公司所有者的净利润进行承诺。若佰能电气实现的归属于母公司所有者的净利润(扣除偶发性财政补贴)低于承诺净利润,则以等额现金进行补偿。 (一)承诺利润数 佰能电气对应的2013年度、2014年度、2015年度经审计的归属于母公司股东的净利润(承诺年度内每年计入承诺净利润数中非经常性损益贡献的净利润每年均不超过800万元,且政府补助不得计入承诺净利润数)分别为不低于9,130万元,9,930万元和11,460万元,三年累计承诺净利润数合计为30,520万元。 如佰能电气承担与本次重大资产重组有关的律师费、审计费、评估费、财务顾问费,在计算相关年度实际净利润数时,不扣除该等费用。 (二)盈利预测差异的确定 长青集团委托负责长青集团年度审计工作的会计师事务所在长青集团每一个会计年度审计报告出具时,就年度报告中披露的佰能电气实际净利润数与赵庆锋、孙丽、关山月、黄功军、张宏伟和彭燕承诺净利润数的差异情况进行审核,并出具关于利润承诺的《专项审核报告》(该专项审核报告应经赵庆锋、孙丽、关山月、黄功军、张宏伟和彭燕审核),净利润差额以《专项审核报告》为准。 (三)补偿方式 佰能电气在承诺年度各年度实现的实际净利润数未达到累计承诺净利润数的,赵庆锋、孙丽、关山月、黄功军、张宏伟和彭燕应向长青集团进行现金补偿。承诺年度内,以后年度实现的实际净利润数超过当年度承诺净利润数的,长青集团应退还赵庆锋、孙丽、关山月、黄功军、张宏伟和彭燕以前年度已补偿的金额,退还金额以累计实际净利润数超过累计承诺净利润数为限。 长青集团当年度年报和佰能电气当年度关于利润承诺的《专项审核报告》披露后十个工作日内,赵庆锋、孙丽、关山月、黄功军、张宏伟和彭燕将补偿款以现金(包括银行转账)方式支付给长青集团。赵庆锋、孙丽、关山月、黄功军、张宏伟和彭燕应补偿现金数量按以下公式计算确定: 当年补偿款=截至当期期末累计承诺净利润数-截至当期期末累计实际净利润数—以前年度已补偿金额的总额 上述公式中,若当年补偿款小于零,则按0取值,即已经补偿的金额不冲回。 赵庆锋、孙丽、关山月、黄功军、张宏伟和彭燕按本次交易前各自所持佰能电气股权占其合计持有的佰能电气全部股权的比例计算各自应当支付的补偿现金数。 无论如何,赵庆锋、孙丽、关山月、黄功军、张宏伟和彭燕现金补偿总计不超过本次交易总对价。 (四)补偿方承诺 赵庆锋、孙丽、关山月、黄功军、张宏伟和彭燕承诺:将严格按照《利润预测补偿协议书》的要求履行承诺,如有违反,愿意接受中国证监会、证券交易所根据证券监管相关法律、法规及规范性文件作出的处罚。 (五)补偿承诺人的确定 截至本预案签署日,佰能电气股权结构如下: ■ 上述股东之间不存在关联方关系,也不存在一致行动关系,没有任何一个股东能够对佰能电气绝对控股或相对控股。 佰能电气《公司章程》规定董事会由七名董事构成,其中,董事高健雄已辞去董事职务且暂未新增补董事,其余六名董事中两名董事由中钢设备推荐、一名董事由金隅集团推荐、其余三名董事均为佰能电气经营层。佰能电气董事长在2008年前一直由中刚设备推荐的董事担任,2008年以后一直由金隅集团推荐的董事担任。从董事会构成来看,任何一方所派董事人数均未过半数,任何一方均不能对董事会形成控制。 因此,从股权结构和董事会构成来看,佰能电气无实际控制人。佰能电气负责公司日常生产经营的管理层赵庆锋、孙丽、关山月、黄功军、张宏伟和彭燕均参与了此次业绩承诺。赵庆锋、孙丽、关山月、黄功军、张宏伟和彭燕在佰能电气的内部任职情况如下: ■ 综上所述,赵庆锋、孙丽、关山月、黄功军、张宏伟和彭燕作为本次交易的业绩承诺人具备合理性。 (六)补偿承诺人的履约能力 根据《利润预测补偿协议书》,佰能电气2013年度、2014年度、2015年度经审计的归属于母公司股东的净利润(承诺年度内每年计入承诺净利润数中非经常性损益贡献的净利润每年均不超过800万元,且政府补助不得计入承诺净利润数)分别为不低于9,130万元,9,930万元和11,460万元,三年累计承诺净利润数合计为30,520万元,以上数据是在审慎预测、合理假设的基础上做出的。截至2013年3月31日,佰能电气已经签署但尚未执行完毕的、单个合同金额100万元以上的工程项目合同合计76个,合同总金额16.2亿元,该等合同将在近年内执行完毕。佰能电气下属子公司柳州佰能自2011年3月1号22MW发电机组开始运行以来,发电量逐步提高,设计满负荷发电量为每年19,272万度,柳州佰能正在建设的2号20MW发电机组也即将投入使用,设计满负荷发电量为每年17,520万度,以上两个发电机组在未来年度将为佰能电气合并报表带来稳定的收入。因此,在市场环境没有重大不利变化的情况下,佰能电气具备达到承诺业绩目标的盈利能力。 若佰能电气在承诺年度内无法达到业绩目标,则根据《利润预测补偿协议书》,赵庆锋、孙丽、关山月、黄功军、张宏伟和彭燕将按照合同约定规则向长青集团进行现金补偿。如现金不足,赵庆锋、孙丽、关山月、黄功军、张宏伟和彭燕自愿以其此次取得的长青集团股份以及其他自有财产作为担保,以确保上市公司及公司股东的利益不受损害。 除此次用以认购长青集团股份的佰能电气股权外,赵庆锋、孙丽、关山月、黄功军、张宏伟和彭燕的个人资产,情况如下: ■ 上述财产预计价值共6,310万元,赵庆锋、孙丽、关山月、黄功军、张宏伟和彭燕合计拥有佰能电气股权价值26,941.10万元(按预估值计算),补偿承诺人赵庆锋、孙丽、关山月、黄功军、张宏伟和彭燕合计拥有个人资产约为33,251.10万元。 综上所述,在市场环境没有重大不利变化的情况下,赵庆锋、孙丽、关山月、黄功军、张宏伟和彭燕具备本次业绩承诺现金补偿的履约能力。 三、实际净利润数超出承诺净利润数的奖励 (一)业绩奖励的方式 鉴于本次重大资产重组完成后佰能电气实际净利润数可能超出资产评估报告中收益法下各年净利润预测值,为激励赵庆锋、孙丽、关山月、黄功军、张宏伟和彭燕各年在实现承诺净利润数后进一步拓展佰能电气的业务,公司与赵庆锋、孙丽、关山月、黄功军、张宏伟和彭燕约定:在佰能电气各年实际净利润数达到承诺净利润数的前提下,如佰能电气2013年、2014年、2015年实际净利润数分别高于各年承诺净利润数,超出部分的60%作为奖励对价分别在公司2013年、2014年和2015年年报和同年关于佰能电气利润承诺的《专项审核报告》(经赵庆锋、孙丽、关山月、黄功军、张宏伟和彭燕审核)披露后十个工作日内,由公司分别以现金方式支付给赵庆锋、孙丽、关山月、黄功军、张宏伟和彭燕,该等奖励对价合计不超过5,000万元(个人所得税由赵庆锋、孙丽、关山月、黄功军、张宏伟和彭燕承担,公司履行代扣代缴义务)。 如赵庆锋、孙丽、关山月、黄功军、张宏伟和彭燕已获得的奖励对价>(佰能电气承诺年度的累计实际净利润数—合计承诺净利润数)×60%,则在2015年年度的关于佰能电气利润承诺的《专项审核报告》披露后十个工作日内赵庆锋、孙丽、关山月、黄功军、张宏伟和彭燕应向公司退回差额部分的金额。赵庆锋、孙丽、关山月、黄功军、张宏伟和彭燕退回的金额不超过其已获得的奖励对价。 (二)业绩奖励的会计处理 依据《企业会计准则》,企业合并发生当期的期末,因合并中取得的各项可辨认资产、负债及或有负债的公允价值或企业合并成本只能暂时确定的,购买方应当以所确定的暂时价值为基础对企业合并进行确认和计量。购买日后12个月内对确认的暂时价值进行调整的,视为在购买日确认和计量。 鉴于在目前尚难以对佰能电气承诺期内经营业绩超出预期的可能性和金额做出合理估计,因此无法确定该部分或有对价的公允价值。依据企业会计准则,上市公司在编制备考合并财务报表过程中未对或有对价及其对应的商誉进行确认。 如佰能电气2013年、2014年、2015年实际净利润数分别高于各年承诺净利润数,上市公司应根据披露公式计算应支付的奖励对价并记入当期损益。 如赵庆锋、孙丽、关山月、黄功军、张宏伟和彭燕已获得的奖励对价>(佰能电气承诺年度的累计实际净利润数—合计承诺净利润数)×60%,上市公司应根据披露公式计算应向赵庆锋、孙丽收回的奖励并冲减当期损益。 独立财务顾问认为:上述奖励对价的约定系由双方自由协商,且约定了收款方的纳税义务及付款方的代扣代缴义务,该等约定不违反相关法律法规的规定,会计处理符合《企业会计准则》的规定。 法律顾问北京国枫凯文律师事务所认为:上述奖励对价的约定系由双方自由协商,且约定了收款方的纳税义务及付款方的代扣代缴义务,该等约定不违反相关法律法规的规定。 四、本次发行股份锁定期限承诺 1、中钢设备、金隅集团在本次交易中所认购的公司股份,自发行结束之日起十二个月内不得转让;前述限售期届满后十二个月内转让的股份不超过所认购公司股份的25%,二十四个月内转让的股份不超过所认购公司股份的50%,三十六个月内转让的股份不超过所认购公司股份的75%。 2、截至本次重大资产重组实施完毕之日,如赵庆锋、孙丽、关山月、黄功军、张宏伟和彭燕在本次交易中所认购的公司股份,自发行结束之日起十二个月内不得转让,在长青集团再次召开董事会审议本次重大资产重组事项前另行商议股份锁定事宜。 3、截至本次重大资产重组实施完毕之日,如佰能共合、于利民、王征、高健雄、汪声娟、王敬茹、王树松、曹迎新、张立梅、曾颜峰、程丽萍、张书云、朱锋、亢晓嵘、尤春雨、张欣欣、尤宝旺、王军、黄学科、刘振华、汪凯芳、司博章、吕彦峰、吴秋灵、惠秦川、王芳、陶江平、李广德、刘强、杨波、曾永生、石建军、乔稼夫、李宪文、魏剑平、周小俊、陈立刚、王会卿、王志强持续拥有用于认购长青集团股份的资产权益的时间超过十二个月,则在本次发行中认购的长青集团股份,自本次重大资产重组实施完毕之日起十二个月内不转让;如持续拥有用于认购长青集团股份的资产权益的时间不足十二个月,则在本次发行中认购的长青集团股份,自本次重大资产重组实施完毕之日起三十六个月内不转让。 4、向不超过10名其他特定投资者募集配套资金所发行股份的限售期为发行结束之日起十二个月,在此之后按中国证监会及深圳证券交易所的有关规定执行。 本次发行结束后,由于公司送红股、转增股本等原因增持的公司股份,亦应遵守上述约定。 五、上市公司实际控制人关于股份限售期的承诺 作为长青集团的控股股东、实际控制人,何启强、麦正辉自本次重大资产重组实施完毕之日起十二个月内不转让持有的长青集团股份。 六、本次交易拟置入资产不存在权属纠纷的承诺 中钢设备、金隅集团、佰能共合和赵庆锋、孙丽等44名自然人分别承诺其持有的佰能电气或佰能蓝天股权均系依合法方式取得,对该股权拥有合法、完整的处置权利;不存在质押、担保或其他第三方权利等限制性情形,亦不存在被查封、冻结、托管等限制转让情形。本次交易的标的权属状况清晰,过户或转移不存在法律障碍。 七、其他保护投资者权益的措施 交易各方承诺并保证所提供信息的真实性、准确性和完整性,保证所提供信息不存在虚假记载、误导性陈述或者重大遗漏,并愿意承担个别和连带的法律责任。 本次交易完成后,长青集团将根据公司业务及组织架构,进一步完善股东大会、董事会、监事会制度,形成权责分明、有效制衡、科学决策、风险防范、协调运作的公司治理结构。 在本次交易完成后长青集团将继续保持上市公司的独立性,在资产、人员、财务、机构和业务上遵循“五分开”原则,规范关联交易,避免同业竞争,遵守中国证监会有关规定,规范上市公司运作。 第九章 其他重大事项 一、独立董事意见 本公司独立董事基于独立判断的立场,在仔细审阅了本次发行股份及支付现金购买资产暨重大资产重组预案的相关材料后,经审慎分析,发表如下独立意见: 1、拟通过发行股份及支付现金的方式购买中钢设备、金隅集团、佰能共合和赵庆锋、孙丽等43名自然人持有的佰能电气100%的股权、购买陈立刚、黄学科、刘强、王志强4名自然人持有的佰能蓝天6.42%的股权,并募集配套资金。我们对公司本次交易事项已进行了认真审核,并基于我们的独立判断发表独立意见。 2、本次交易中,公司发行股份价格的确定符合《上市公司重大资产重组管理办法》、《上市公司证券发行管理办法》、《上市公司非公开发行股票实施细则》等的相关规定。 3、公司第二届董事会第二十六次会议审议的《关于公司发行股份及支付现金购买资产并募集配套资金暨重大资产重组预案》等相关议案,在提交本次董事会会议审议前,已经我们事前认可。 4、公司已聘请具有从事证券、期货相关业务资格的资产评估机构对标的资产进行评估,并拟以评估值为基础作为定价依据。我们认为,公司本次向特定对象发行股份及支付现金购买资产并募集配套资金事宜的方案、定价原则符合国家相关法律、法规及规范性文件的规定。 5、经查,本次交易不构成关联交易,但构成重大资产重组。我们认为,本次交易的审议程序符合有关法律、法规和公司章程的规定,表决程序合法。公司与交易对方签署的《关于发行股份及支付现金购买资产之协议书》、《利润预测补偿协议书》及其他事项符合国家有关法律法规和政策的规定,不存在损害中小股东利益的情形。 6、公司本次发行股份及支付现金购买资产并募集配套资金暨重大资产重组有利于进一步提升本公司的综合竞争能力、市场拓展能力、资源控制能力和后续发展能力,提升公司的盈利水平,增强上市公司的抗风险能力和可持续发展的能力。 综上,公司本次重大资产重组相关事项审议程序符合有关法律、法规、规章和规范性文件的规定。符合公司和全体股东的利益,不存在损害公司公众股东利益的情况。 二、关于重组履行法定程序的完备性、合规性及提交法律文件的有效性的说明 根据深圳证券交易所的相关规定,公司董事会就本次重组履行法定程序的完备性、合规性及提交法律文件的有效性说明如下: (一)关于本次发行股份及支付现金购买资产履行法定程序完备性、合规性的说明 1、2013年3月25日,因本公司拟策划发行股份及支付现金购买资产事项,为避免公司股票交易价格在二级市场发生大幅波动,切实保护投资者利益,经公司申请,公司股票(长青集团A002616)于2013年3月25日开市起停牌。 2、停牌期间,公司确定了独立财务顾问等中介机构,并按照重大资产重组相关法律、法规、规范性文件的要求编制了本次发行股份及支付现金购买资产并募集配套资金暨重大资产重组的预案及需要提交的其他法律文件。公司聘请的独立财务顾问对本次发行股份及支付现金购买资产并募集配套资金暨重大资产重组预案出具了独立财务顾问核查意见。 3、公司的独立董事在董事会前认真审核了本次交易相关文件,对本次交易事项进行事前认可,同意提交公司董事会审议。 4、公司筹划重组事项信息披露前20个交易日内的累计涨跌幅未超过20%,因此未达到《关于规范上市公司信息披露及相关各方行为的通知》(证监公司字[2007]128号)第五条的相关标准。 (二)关于提交法律文件有效性的说明 根据《上市公司重大资产重组管理办法》、《上市公司重大资产重组申请文件》等有关法律法规、规范性文件的规定,公司向深圳证券交易所提交的法律文件合法有效。公司董事会及全体董事保证公司就本次发行股份及支付现金购买资产并募集配套资金事项所提交的法律文件不存在任何虚假记载、误导性陈述或者重大遗漏,并对提交法律文件的真实性、准确性、完整性承担个别及连带责任。 综上所述,公司董事会认为:公司本次发行股份及支付现金购买资产并募集配套资金暨重大资产重组事项履行的法定程序完整,符合相关法律法规、部门规章、规范性文件及公司章程的规定,本次向深圳证券交易所提交的法律文件合法有效。公司董事会及全体董事保证公司就本次交易所提交的法律文件不存在任何虚假记载、误导性陈述或者重大遗漏,并对提交法律文件的真实性、准确性、完整性承担个别及连带责任。 三、公司股票连续停牌前股价未发生异动说明 按照中国证券监督管理委员会《关于规范上市公司信息披露及相关各方行为的通知》和深圳证券交易所《中小企业板信息披露业务备忘录第17号:重大资产重组相关事项》的要求,公司董事会对连续停牌前股票价格波动的情况进行了自查,结果如下: 因筹划发行股份及支付现金购买资产并募集配套资金暨重大资产重组事项,长青集团股票于2013年3月25日开始停牌。长青集团本次停牌前一交易日收盘价格为15.42元/股,停牌前第21个交易日(2013年2月22日)收盘价格为14.18元/股。本次发行股份及支付现金购买资产暨重大资产重组事项公告停牌前20个交易日内(即2013年2月25日至2013年3月22日期间)公司股票收盘价格累计涨幅为8.74%,同期深证综合指数(代码:399106)的累计涨幅为1.39%,同期中小板综合指数(代码:399101)累计涨幅为1.82%,同期制造行业指数(代码:883003)累计跌幅为1.01%。 按照《关于规范上市公司信息披露及相关各方行为的通知》第五条的相关规定,剔除大盘因素和同行业板块因素影响,即剔除深证综合指数(代码:399106)、中小板综合指数(代码:399101)和制造行业指数(代码:883003)因素影响后,长青集团股价在本次停牌前20个交易日内累计涨跌幅未超过20%,无异常波动情况。 同时,本预案披露前20个交易日中,也未出现股票交易价格连续三个交易日内收盘价格涨跌幅偏离值累计超过20%的情况。 经自查及独立财务顾问核查,剔除同行业板块因素后,公司股票本次停牌前20个交易日内累计涨幅未达到《关于规范上市公司信息披露及相关各方行为的通知》(证监公司字[2007]128号)第五条规定的相关标准。 四、本次交易相关各方及相关人员在公司股票停牌前6个月内买卖上市公司股票的情况 因筹划发行股份及支付现金购买资产并募集配套资金事项,长青集团股票于2013年3月25日开始停牌。根据中国证券登记结算有限责任公司深圳分公司于2013年6月17日出具的《信息披露义务人持股及股份变更查询证明》,及本次发行股份及支付现金购买资产的相关各方及中介机构出具的《自查报告》,自长青集团董事会首次审议本次发行股份及支付现金购买资产暨重大资产重组事项并公告之日前6个月,长青集团及其董事、监事、高级管理人员;佰能电气及其董事、监事、高级管理人员;佰能蓝天及其董事、监事、高级管理人员;交易对方中钢设备、金隅集团及其董事、监事、高级管理人员;交易对方佰能共合及其普通合伙人;交易对方赵庆锋、孙丽等44名自然人;为本次交易提供服务的中介机构及相关项目人员;以及前述自然人的直系亲属等内幕信息知情人及关联人均未买卖长青集团股票。 五、不存在泄露本次重大资产重组内幕信息及利用本次重大资产重组信息进行内幕交易的情况 经自查,本次重大资产重组的交易对方及其控股股东、实际控制人不存在泄露本次重大资产重组内幕信息及利用本次重大资产重组信息进行内幕交易的情况。 六、未发现存在涉嫌本次重组相关的内幕交易情况 根据自查,本次重组相关主体未发现存在因涉嫌本次重大资产重组相关的内幕交易被立案调查或者立案侦查,及被中国证监会作出行政处罚或者司法机关依法追究刑事责任的情况,因此本次重组相关主体未发现存在依据《关于加强与上市公司重大资产重组相关股票异常交易监管的暂行规定》第十三条不得参与任何上市公司重大资产重组的情形。 第十章 独立财务顾问核查意见 公司聘请的独立财务顾问兴业证券参照《公司法》、《证券法》、《重组管理办法》、《关于规范上市公司重大资产重组若干问题的规定》等法律、法规和规定以及证监会的相关要求,通过尽职调查和对《广东长青(集团)股份有限公司发行股份及支付现金购买资产暨重大资产重组预案》等信息披露文件的审慎核查后认为: 1、长青集团本次交易符合《公司法》、《证券法》、《重组管理办法》等法律、法规和规范性文件的关于上市公司发行股份及支付现金购买资产的基本条件;资产重组预案等信息披露文件的编制符合相关法律、法规和规范性文件的要求,未发现存在虚假记载、误导性陈述或者重大遗漏的情况; 2、本次交易涉及的标的资产权属清晰,发行股份及支付现金购买资产暨重大资产重组的实施将有利于提高上市公司资产质量和盈利能力、改善上市公司财务状况、增强上市公司持续经营能力,符合上市公司及全体股东的利益; 3、本次非公开发行股票的定价方式和发行价格合规、公允,不存在损害上市公司股东利益的情形; 4、鉴于上市公司将在相关审计、评估工作完成后编制本次发行股份及支付现金购买资产暨重大资产重组报告书并再次提交董事会讨论,届时兴业证券将根据《重组管理办法》等法律法规及规范性文件的相关规定,对本次发行股份及支付现金购买资产暨重大资产重组出具独立财务顾问报告。 第十一章 全体董事的声明 本公司董事会全体董事承诺保证本《广东长青(集团)股份有限公司发行股份及支付现金购买资产暨重大资产重组预案》的内容真实、准确、完整,不存在虚假记载、误导性陈述或重大遗漏,并对本次预案内容的真实性、准确性和完整承担个别和连带的法律责任。 本次资产重组的交易标的资产的审计、评估和盈利预测审核工作尚未完成,本预案中涉及的相关数据尚未经过具有从事证券、期货相关业务资格的审计、评估机构的审计、评估。本公司董事会全体董事保证相关数据的真实性和合理性。 本公司董事签名: 何启强 麦正辉 张蓐意 竹立家 朱红军 徐海云 王建增 广东长青(集团)股份有限公司董事会 年 月 日 本版导读:
发表评论:财苑热评: |






