证券时报网络版郑重声明经证券时报社授权,证券时报网独家全权代理《证券时报》信息登载业务。本页内容未经书面授权许可,不得转载、复制或在非证券时报网所属服务器建立镜像。欲咨询授权事宜请与证券时报网联系 (0755-83501827) 。 |
大成理财21天债券型发起式证券投资基金2013年度报告摘要2013年12月31日 2014-03-29 来源:证券时报网 作者:
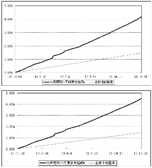
基金管理人:大成基金管理有限公司 基金托管人:中国银行股份有限公司 送出日期:2014年3月29日 §1 重要提示 基金管理人的董事会、董事保证本报告所载资料不存在虚假记载、误导性陈述或重大遗漏,并对其内容的真实性、准确性和完整性承担个别及连带的法律责任。本年度报告已经三分之二以上独立董事签字同意,并由董事长签发。 基金托管人中国银行股份有限公司根据本基金合同规定,于2014年3月27日复核了本报告中的财务指标、净值表现、利润分配情况、财务会计报告、投资组合报告等内容,保证复核内容不存在虚假记载、误导性陈述或者重大遗漏。 基金管理人承诺以诚实信用、勤勉尽责的原则管理和运用基金资产,但不保证基金一定盈利。 基金的过往业绩并不代表其未来表现。投资有风险,投资者在作出投资决策前应仔细阅读本基金的招募说明书及其更新。 本年度报告摘要摘自年度报告正文,投资者欲了解详细内容,应阅读年度报告正文。 本报告中财务资料已经审计。普华永道中天会计师事务所(特殊普通合伙)为本基金出具了无保留意见的审计报告,请投资者注意阅读。 本报告期自2013年01月01日起至12月31日止。 §2 基金简介 2.1 基金基本情况 ■ 2.2 基金产品说明 ■ 2.3 基金管理人和基金托管人 ■ 2.4 信息披露方式 ■ §3 主要财务指标、基金净值表现及利润分配情况 3.1 主要会计数据和财务指标 金额单位:人民币元 ■ 注:本期已实现收益指基金本期利息收入、投资收益、其他收入(不含公允价值变动收益)扣除相关费用后的余额,本期利润为本期已实现收益加上本期公允价值变动收益,由于本基金采用摊余成本法核算,因此,公允价值变动收益为零,本期已实现收益和本期利润的金额相等。 3.2 基金表现 3.2.1 基金份额净值增长率及其与同期业绩比较基准收益率的比较 大成理财21天债券发起式A ■ 大成理财21天债券发起式B ■ 注:1、本基金根据每日基金收益情况,以基金净收益为基准,为投资者每日计算当日收益并分配,并在运作期期末集中支付。 2、本表净值收益率的计算所采取的运作周期,是以基金合同生效日为起始日并持有至报告期末的基金份额所经历的运作周期。 3.2.2 自基金合同生效以来基金累计净值增长率变动及其与同期业绩比较基准收益率变动的比较 ■ 注:按基金合同规定,基金管理人应当自基金合同生效之日起六个月内使基金的投资组合比例符合基金合同的有关约定。截至报告期末,本基金的各项投资比例已达到基金合同中规定的各项比例。 3.2.3 自基金合同生效以来基金每年净值增长率及其与同期业绩比较基准收益率的比较 ■ 注:本基金合同生效日为2012年11月29日,2012年度主要财务指标的计算期间为2012年11月29日至2012年12月31日,不按整个自然年度进行折算。 3.3 过去三年基金的利润分配情况 ■ §4 管理人报告 4.1 基金管理人及基金经理情况 4.1.1 基金管理人及其管理基金的经验 大成基金管理有限公司经中国证监会证监基金字[1999]10号文批准,于1999年4月12日正式成立,是中国证监会批准成立的首批十家基金管理公司之一,注册资本为2亿元人民币,注册地为深圳。目前公司由四家股东组成,分别为中泰信托有限责任公司(48%)、光大证券股份有限公司(25%)、中国银河投资管理有限公司(25%)、广东证券股份有限公司(2%)。截至2013年12月31日,本基金管理人共管理2只封闭式证券投资基金:景宏证券投资基金及景福证券投资基金,4只ETF及2只ETF联接基金:深证成长40ETF、大成深证成长40ETF联接基金、中证500沪市ETF及大成中证500沪市ETF联接基金、中证100ETF、中证500深市ETF,1只QDII基金:大成标普500等权重指数基金及31只开放式证券投资基金:大成景丰债券型证券投资基金(LOF)、大成价值增长证券投资基金、大成债券投资基金、大成蓝筹稳健证券投资基金、大成精选增值混合型证券投资基金、大成货币市场证券投资基金、大成沪深300指数证券投资基金、大成财富管理2020生命周期证券投资基金、大成积极成长股票型证券投资基金、大成创新成长混合型证券投资基金(LOF)、大成景阳领先股票型证券投资基金、大成强化收益债券型证券投资基金、大成策略回报股票型证券投资基金、大成行业轮动股票型证券投资基金、大成中证红利指数证券投资基金、大成核心双动力股票型证券投资基金、大成保本混合型证券投资基金、大成内需增长股票型证券投资基金、大成中证内地消费主题指数证券投资基金、大成可转债增强债券型证券投资基金、大成新锐产业股票型证券投资基金、大成景恒保本混合型证券投资基金、大成优选股票型证券投资基金(LOF)、大成现金增利货币市场基金、大成月添利理财债券型证券投资基金、大成理财21天债券型发起式基金、大成现金宝场内实时申赎货币市场基金、大成景安短融债券型证券投资基金、大成景兴信用债债券型证券投资基金、大成景旭纯债债券型证券投资基金及大成景祥分级债券型证券投资基金。 4.1.2 基金经理(或基金经理小组)及基金经理助理简介 ■ 注:1、任职日期、离任日期为本基金管理人作出决定之日。 2、证券从业年限的计算标准遵从行业协会《证券业从业人员资格管理办法》的相关规定。 4.2 管理人对报告期内本基金运作遵规守信情况的说明 本报告期内,本基金管理人严格遵守《证券法》、《证券投资基金法》、《大成理财21天债券型发起式证券投资基金基金合同》和其他有关法律法规的规定,在基金管理运作中,大成理财21天债券型发起式证券投资基金的投资范围、投资比例、投资组合、证券交易行为、信息披露等符合有关法律法规、行业监管规则和基金合同等规定,本基金没有发生重大违法违规行为,没有运用基金财产进行内幕交易和操纵市场行为以及进行有损基金投资人利益的关联交易,整体运作合法、合规。本基金将继续以取信于市场、取信于社会投资公众为宗旨,承诺将一如既往地本着诚实信用、勤勉尽责的原则管理和运用基金财产,在规范基金运作和严格控制投资风险的前提下,努力为基金份额持有人谋求最大利益。 4.3 管理人对报告期内公平交易情况的专项说明 4.3.1 公平交易制度和控制方法 根据《证券投资基金管理公司公平交易制度指导意见》的规定,基金管理人制订了《大成基金管理有限公司公平交易制度》及《大成基金管理有限公司异常交易监控与报告制度》。基金管理人旗下投资组合严格按照制度的规定,参与股票、债券的一级市场申购、二级市场交易等投资管理活动,内容包括授权、研究分析、投资决策、交易执行、业绩评估等与投资管理活动相关的各个环节。研究部负责提供投资研究支持,投资部门负责投资决策,交易管理部负责实施交易并实时监控,监察稽核部负责事前监督、事中检查和事后稽核,风险管理部负责对交易情况进行合理性分析,通过多部门的协作互控,保证了公平交易的可操作、可稽核和可持续。 4.3.2 公平交易制度的执行情况 报告期内,基金管理人严格执行了公平交易的原则和制度。 基金管理人运用统计分析方法和工具,对旗下所有投资组合间连续4个季度的日内、3日内及5日内股票及债券交易同向交易价差进行分析。分析结果表明:债券交易同向交易频率较低;股票同向交易溢价率较大主要来源于市场因素(如个股当日价格振幅较高)及组合经理交易时机选择,即投资组合成交时间不一致以及成交价格的日内较大变动导致个别些组合间的成交价格差异较大,但结合交易价差专项统计分析,未发现违反公平交易原则的异常情况。 4.3.3 异常交易行为的专项说明 报告期内,基金管理人旗下所有投资组合未发现存在异常交易行为。主动投资组合间股票交易存在11笔同日反向交易,原因为投资策略需要。主动型投资组合与指数型投资组合之间或指数型投资组合之间存在股票同日反向交易,参与交易所公开竞价同日反向交易成交较少的单边交易量超过该股当日成交量5%的仅有2笔,原因为投资策略需要;主动投资组合间债券交易存在1笔同日反向交易,原因为投资策略需要。投资组合间相邻交易日反向交易的市场成交比例、成交均价等交易结果数据表明该类交易不对市场产生重大影响,无异常。 4.4 管理人对报告期内基金的投资策略和业绩表现的说明 4.4.1 报告期内基金投资策略和运作分析 2013年是内外部经济金融形势极其复杂多变的一年。世界经济总体缓慢复苏,但不确定、不稳定因素依然较多,主要经济体货币政策预期变化等导致资本流向多变,新兴经济体增长放缓引发各方面的担忧。国内经济总体平稳,但一度出现较为明显的下行压力,经济增长进入换挡期,产能过剩问题较为突出,一季度GDP同比增长7.7%,二季度进一步回落至7.4%,三季度反弹至7.8%,四季度景气程度有所回落,全年GDP同比增长 7.7%。通胀形势稳定,全年CPI增长2.6%。2013年,流动性的宽松对货币市场和债券市场的收益率产生了巨大影响。年初,受主要发达经济体加码量化宽松政策影响,外汇流入大幅增加,银行体系流动性较为宽裕,收益率呈下行趋势;5~6月份,由于美国开始讨论退出QE,国内经济亦面临一定下行压力,外汇流入有所放缓,加之税收集中入库等短期因素叠加,流动性供应暂时出现减少,加上央行严格的管控措施,7天回购达到30%,各期限收益大幅上行。市场逐渐认识到央行对金融行业高杠杆、非标资产快速扩张的低容忍态度,收益率经历短暂下行后随之一路上行,在年末创出近年新高。去年唯一的亮点在于年末浮息债的估值的提升,由于4季度同业存单的发行,SHIBOR的市场化程度有所提升,对以SHIBOR为定价基准的浮息债价值得以逐步体现。 具体来看,2013年全年7天回购利率均值达到4.12%,为2000年以来最高水平。1个月Shibor利率上半年均值为4.24%,下半年达到5.36%,逼近2011年下半年的水平。3个月Shibor利率年均值为4.44%,但期间波动较大,6月初至6月21日,其上行近200 BP;7月下旬至11月底,稳定在4.6%附近,随着同业存单的发行,其上行近100BP。各类货币市场工具收益率均出现大幅上行,1年期金融债全年上行200 BP,其中上半年上行63 BP,下半年上行138 BP。各评级短融上行幅度达到180-220BP,创历史新高。 本年度,在投资操作上存在一定的不足,一季度,对市场解读过于乐观,加大债券的配置比例,同时提高杠杆比例,放大了组合的久期风险和信用风险。随着6月份“钱荒”的冲击,组合遭受了较大的损失,近半年积累的浮盈眨眼化为浮亏,3、4季度随着规模的缩减,组合处于持续调整中,为防范风险,同时考虑到资金成本,亦降低了杠杆的操作。4季度,组合抓住了浮息债的机会,彻底扭转了被动的局面,组合剩余期限和资产配置大为改善。 4.4.2 报告期内基金的业绩表现 报告期内本基金A级净值收益率为3.8607%,B级净值收益率4.1651%,期间业绩比较基准收益率为1.3500%。 4.5 管理人对宏观经济、证券市场及行业走势的简要展望 展望2014年,从投资、出口、消费三方面来看,地产和基建投资难以继续维持较高增速,制造业投资在去产能的背景下不能有较高期望。出口和消费对GDP的贡献短期内波动较小,另外2014年大部分省份调低了增长目标,并提出降低投资目标,防范债务风险,防止产能过剩,因此2014年经济增速大概率低于2013年。2014年CPI翘尾与2013年接近,预计全年CPI同比增速在2.5%-2.7%之间。从宏观层面来看,对债券市场相对有利。困扰市场的两个因素在于央行的态度和银行间流动性。目前来看,央行货币政策的的态度明显有了转变,其操作的及时性和力度较以前明显提升,银行间流动性亦有了一定程度的好转,回购利率有望回至利率走廊中下限,市场存在修复性行情。2014年仍需关注央行及银监会的监管举措,同时非标的压制将造成债券供给的超预期,对收益率的波动形成较大影响。 基于上述分析,2014年将适当提高组合久期。在类属配置方面,在充分做好流动性管理的前提下,适当提高银行同业存款的投资比例。在短融投资方面,进一步提升短融的整体信用评级,力争在保持组合流动性的前提下,为投资者带来长期稳定的投资收益。 4.6 管理人对报告期内基金估值程序等事项的说明 本基金管理人指导基金估值业务的领导小组为公司估值委员会,公司估值委员会主要负责估值政策和估值程序的制定、修订以及执行情况的监督。估值委员会由股票投资部、研究部、固定收益部、风险管理部、基金运营部、监察稽核部、委托投资部指定人员组成。公司估值委员会的相关成员均具备相应的专业胜任能力和相关工作经历,估值委员会成员中包括两名投资组合经理。 股票投资部、研究部、固定收益部、风险管理部和委托投资部负责关注相关投资品种的动态,评判基金持有的投资品种是否处于不活跃的交易状态或者最近交易日后经济环境发生了重大变化或证券发行机构发生了影响证券价格的重大事件,从而确定估值日需要进行估值测算或者调整的投资品种;提出合理的数量分析模型对需要进行估值测算或者调整的投资品种进行公允价值定价与计量;定期对估值政策和程序进行评价,以保证其持续适用;基金运营部负责日常的基金资产的估值业务,执行基金估值政策,并负责与托管行沟通估值调整事项;监察稽核部负责审核估值政策和程序的一致性,监督估值委员会工作流程中的风险控制,并负责估值调整事项的信息披露工作。 本基金的日常估值程序由基金运营部基金估值核算员执行,并与托管银行的估值结果核对一致。基金估值政策的议定和修改采用集体讨论机制,基金经理及投资经理作为估值小组成员,对本基金持仓证券的交易情况、信息披露情况保持应有的职业敏感,向估值委员会提供估值参考信息,参与估值政策讨论。对需采用特别估值程序的证券,基金管理人及时启动特别估值程序,由估值委员会讨论议定特别估值方案并与托管行沟通后由基金运营部具体执行。 本基金管理人参与估值流程各方之间不存在任何重大利益冲突,截止报告期末未与外部估值定价服务机构签约。 4.7 管理人对报告期内基金利润分配情况的说明 本基金管理人严格按照本基金基金合同的规定进行收益分配。据本基金基金合同中收益分配有关原则的规定:本基金根据每日基金收益情况,以基金净收益为基准,为投资者每日计算当日收益并分配,并在运作期期末集中支付。本报告期内本基金应分配利润11,970,023.88元,报告期内已分配利润11,970,023.88元。 §5 托管人报告 5.1 报告期内本基金托管人遵规守信情况声明 本报告期内,中国银行股份有限公司(以下称“本托管人”)在对大成理财21天债券型发起式证券投资基金(以下称“本基金”)的托管过程中,严格遵守《证券投资基金法》及其他有关法律法规、基金合同和托管协议的有关规定,不存在损害基金份额持有人利益的行为,完全尽职尽责地履行了应尽的义务。 5.2 托管人对报告期内本基金投资运作遵规守信、净值计算、利润分配等情况的说明 本报告期内,本托管人根据《证券投资基金法》及其他有关法律法规、基金合同和托管协议的规定,对本基金管理人的投资运作进行了必要的监督,对基金资产净值的计算、基金费用开支等方面进行了认真地复核,未发现本基金管理人存在损害基金份额持有人利益的行为。 5.3 托管人对本年度报告中财务信息等内容的真实、准确和完整发表意见 本报告中的财务指标、净值表现、收益分配情况、财务会计报告(注:财务会计报告中的“金融工具风险及管理”部分未在托管人复核范围内)、投资组合报告等数据真实、准确和完整。 §6 审计报告 本基金2013年度财务会计报告已经普华永道中天会计师事务所(特殊普通合伙)审计,注册会计师签字出具了标淮无保留意见的审计报告。投资者欲了解本基金审计报吿详细内容,应阅读年度报告正文。 §7 年度财务报表 7.1 资产负债表 会计主体:大成理财21天债券型发起式证券投资基金 报告截止日: 2013年12月31日 单位:人民币元 ■ 注:1. 报告截止日2013年12月31日,基金份额净值1.0000元,基金份额总额114,841,710.67份,其中A类基金份额总额为29,044,154.85份,B类基金份额的份额总额为85,797,555.82份。 2. 本财务报表的实际编制期间为2013年度和2012年11月29日(基金合同生效日)至2012年12月31日。 7.2 利润表 会计主体:大成理财21天债券型发起式证券投资基金 本报告期:2013年1月1日至2013年12月31日 单位:人民币元 ■ 7.3 所有者权益(基金净值)变动表 会计主体:大成理财21天债券型发起式证券投资基金 本报告期:2013年1月1日至2013年12月31日 单位:人民币元 ■ 报表附注为财务报表的组成部分。 本报告 7.1 至 7.4 财务报表由下列负责人签署: ______张树忠______ ______刘彩晖______ ____范瑛____ 基金管理人负责人 主管会计工作负责人 会计机构负责人 7.4 报表附注 7.4.1 基金基本情况 大成理财21天债券型发起式证券投资基金(以下简称“本基金”)经中国证券监督管理委员会(以下简称“中国证监会”)证监许可[2012]1466号《关于核准大成理财21天债券型发起式证券投资基金募集的批复》核准,由大成基金管理有限公司依照《中华人民共和国证券投资基金法》和《大成理财21天债券型发起式证券投资基金基金合同》负责公开募集。本基金为契约型开放式基金,存续期限不定,首次设立募集不包括认购资金利息共募集3,620,599,047.33元,业经普华永道中天会计师事务所有限公司普华永道中天验字(2012)第475号验资报告予以验证。经向中国证监会备案,《大成理财21天债券型发起式证券投资基金基金合同》于2012年11月29日正式生效,基金合同生效日的基金份额总额为3,620,599,047.33份基金份额,其中认购资金利息折合264,980.64份基金份额。本基金的基金管理人为大成基金管理有限公司,基金托管人为中国银行股份有限公司。 本基金分设两级基金份额:A级基金份额和B级基金份额。两级基金份额针对不同级别的基金份额持有人,分设不同的基金代码,收取不同销售服务费并单独公布基金日收益和基金7日年化收益率。基金A级基金份额针对在单个基金账户保留份额在500万份以下的持有人,B级基金份额针对在单个基金账户保留份额在500万份以上(含500万)的持有人。若A级基金份额持有人在单个基金账户保留的A级基金份额超过500万份时,本基金的注册登记机构自动将其在该基金账户持有的A级基金份额升级为B级基金份额。B级基金份额持有人在单个基金账户保留的最低基金份额为500万份。若B级基金份额持有人在单个基金账户保留的B级基金份额低于500万份时,本基金的注册登记机构自动将其在该基金账户持有的B级基金份额转为A 级基金份额。 根据《中华人民共和国证券投资基金法》和《大成理财21天债券型发起式证券投资基金基金合同》的有关规定,本基金的投资范围为现金、通知存款、一年以内(含一年)的银行定期存款和大额存单、剩余期限(或回售期限)在397天以内(含397天)的债券(国债、金融债、公司债、企业债、次级债等)、中期票据、资产支持证券、期限在一年以内(含一年)的债券回购、期限在一年以内(含一年)的中央银行票据、短期融资券、超级短期融资券,及法律法规或中国证监会允许本基金投资的其他固定收益类金融工具。本基金的业绩比较基准为:七天通知存款税后利率。 本财务报表由本基金的基金管理人大成基金管理有限公司于2014年3月25日批准报出。 7.4.2 会计报表的编制基础 本基金的财务报表按照财政部于2006年2月15日颁布的《企业会计准则-基本准则》和38项具体会计准则、其后颁布的企业会计准则应用指南、企业会计准则解释以及其他相关规定(以下合称“企业会计准则”)、中国证监会颁布的《证券投资基金信息披露XBRL模板第3号<年度报告和半年度报告>》、中国证券投资基金业协会颁布的《证券投资基金会计核算业务指引》、《大成理财21天债券型发起式证券投资基金基金合同》和在财务报表附注7.4.4所列示的中国证监会发布的有关规定及允许的基金行业实务操作编制。 7.4.3 遵循企业会计准则及其他有关规定的声明 本基金2013年度和2012年11月29日(基金合同生效日)至2012年12月31日止期间财务报表符合企业会计准则的要求,真实、完整地反映了本基金2013年和2012年12月31日的财务状况以及2012年11月29日(基金合同生效日)至2012年12月31日止期间的经营成果和基金净值变动情况等有关信息。 7.4.4 重要会计政策和会计估计 7.4.4.1 会计年度 本基金会计年度为公历1月1日起至12月31日止。本期财务报表的实际编制期间为2013年度和2012年11月29日(基金合同生效日)至2012年12月31日止期间。 7.4.4.2 记账本位币 本基金的记账本位币为人民币。 7.4.4.3 金融资产和金融负债的分类 (1)金融资产的分类 金融资产于初始确认时分类为:以公允价值计量且其变动计入当期损益的金融资产、应收款项、可供出售金融资产及持有至到期投资。金融资产的分类取决于本基金对金融资产的持有意图和持有能力。本基金现无金融资产分类为可供出售金融资产及持有至到期投资。 本基金目前以交易目的持有的债券投资分类为以公允价值计量且其变动计入当期损益的金融资产。以公允价值计量且其公允价值变动计入损益的金融资产在资产负债表中以交易性金融资产列示。 本基金持有的其他金融资产分类为应收款项,包括银行存款、买入返售金融资产和其他各类应收款项等。应收款项是指在活跃市场中没有报价、回收金额固定或可确定的非衍生金融资产。 (2)金融负债的分类 金融负债于初始确认时分类为:以公允价值计量且其变动计入当期损益的金融负债及其他金融负债。本基金目前暂无金融负债分类为以公允价值计量且其变动计入当期损益的金融负债。本基金持有的其他金融负债包括卖出回购金融资产款和其他各类应付款项等。 7.4.4.4 金融资产和金融负债的初始确认、后续计量和终止确认 金融资产或金融负债于本基金成为金融工具合同的一方时,于交易日按公允价值在资产负债表内确认。对于取得债券投资支付的价款中包含的债券起息日或上次除息日至购买日止的利息,单独确认为应收项目。应收款项和其他金融负债的相关交易费用计入初始确认金额。 债券投资按票面利率或商定利率每日计提应收利息,按实际利率法在其剩余期限内摊销其买入时的溢价或折价;同时于每一计价日计算影子价格,以避免债券投资的账面价值与公允价值的差异导致基金资产净值发生重大偏离。对于应收款项和其他金融负债采用实际利率法,以摊余成本进行后续计量。 金融资产满足下列条件之一的,予以终止确认:(1) 收取该金融资产现金流量的合同权利终止;(2) 该金融资产已转移,且本基金将金融资产所有权上几乎所有的风险和报酬转移给转入方;或者(3) 该金融资产已转移,虽然本基金既没有转移也没有保留金融资产所有权上几乎所有的风险和报酬,但是放弃了对该金融资产控制。 金融资产终止确认时,其账面价值与收到的对价的差额,计入当期损益。 当金融负债的现时义务全部或部分已经解除时,终止确认该金融负债或义务已解除的部分。终止确认部分的账面价值与支付的对价之间的差额,计入当期损益。 7.4.4.5 金融资产和金融负债的估值原则 为了避免债券投资的账面价值与公允价值的差异导致基金资产净值发生重大偏离,从而对基金持有人的利益产生稀释或不公平的结果,基金管理人于每一计价日采用债券投资的公允价值计算影子价格。当基金资产净值与影子价格的偏离达到或超过基金资产净值的0.25%时,基金管理人应根据风险控制的需要调整组合,使基金资产净值更能公允地反映基金资产价值。 计算影子价格时按如下原则确定债券投资的公允价值: (1)存在活跃市场的金融工具按其估值日的市场交易价格确定公允价值;估值日无交易,但最近交易日后经济环境未发生重大变化且证券发行机构未发生影响证券价格的重大事件的,按最近交易日的市场交易价格确定公允价值。 (2)存在活跃市场的金融工具,如估值日无交易且最近交易日后经济环境发生了重大变化,参考类似投资品种的现行市价及重大变化等因素,调整最近交易市价以确定公允价值。 (3)当金融工具不存在活跃市场,采用市场参与者普遍认同且被以往市场实际交易价格验证具有可靠性的估值技术确定公允价值。估值技术包括参考熟悉情况并自愿交易的各方最近进行的市场交易中使用的价格、参照实质上相同的其他金融工具的当前公允价值、现金流量折现法和期权定价模型等。采用估值技术时,尽可能最大程度使用市场参数,减少使用与本基金特定相关的参数。 7.4.4.6 金融资产和金融负债的抵销 本基金持有的资产和承担的负债基本为金融资产和金融负债。当本基金1) 具有抵销已确认金额的法定权利且该种法定权利现在是可执行的;且2)交易双方准备按净额结算时,金融资产与金融负债按抵销后的净额在资产负债表中列示。 7.4.4.7 实收基金 实收基金为对外发行基金份额所募集的总金额。每份基金份额面值为1.00元。由于申购和赎回引起的实收基金变动分别于基金申购确认日及基金赎回确认日认列。上述申购和赎回包括因类别调整而引起的A、B类基金份额之间的转换所产生的实收基金变动。 7.4.4.8 收入/(损失)的确认和计量 债券投资在持有期间按实际利率计算确定的金额扣除在适用情况下由债券发行企业代扣代缴的个人所得税后的净额确认为利息收入。 债券投资处置时其处置价格扣除相关交易费用后的净额与账面价值之间的差额确认为投资收益。 应收款项在持有期间确认的利息收入按实际利率法计算,实际利率法与直线法差异较小的则按直线法计算。 7.4.4.9 费用的确认和计量 本基金的管理人报酬、托管费和销售服务费在费用涵盖期间按基金合同约定的费率和计算方法逐日确认。 其他金融负债在持有期间确认的利息支出按实际利率法计算,实际利率法与直线法差异较小的则按直线法计算。 7.4.4.10 基金的收益分配政策 每一基金份额享有同等分配权。申购的基金份额享有确认当日的分红权益,而赎回的基金份额不享有确认当日的分红权益。本基金以份额面值1.00元固定份额净值交易方式,每日计算当日收益并全部分配结转至应付收益科目,每个运作期到期日将该运作期收益结转到投资人基金账户。 7.4.4.11 分部报告 本基金以内部组织结构、管理要求、内部报告制度为依据确定经营分部,以经营分部为基础确定报告分部并披露分部信息。 经营分部是指本基金内同时满足下列条件的组成部分:(1) 该组成部分能够在日常活动中产生收入、发生费用;(2)本基金的基金管理人能够定期评价该组成部分的经营成果,以决定向其配置资源、评价其业绩;(3)本基金能够取得该组成部分的财务状况、经营成果和现金流量等有关会计信息。如果两个或多个经营分部具有相似的经济特征,并且满足一定条件的,则合并为一个经营分部。 本基金目前以一个单一的经营分部运作,不需要披露分部信息。 7.4.4.12 其他重要的会计政策和会计估计 重要会计估计及其关键假设 根据本基金的估值原则和中国证监会允许的基金行业估值实务操作,本基金计算影子价格过程中确定债券投资的公允价值时采用的估值方法及其关键假设如下: 在银行间同业市场交易的债券品种,根据中国证监会证监会计字[2007]21号《关于证券投资基金执行<企业会计准则>估值业务及份额净值计价有关事项的通知》采用估值技术确定公允价值。本基金持有的银行间同业市场债券按现金流量折现法估值,具体估值模型、参数及结果由中央国债登记结算有限责任公司独立提供。 7.4.5 会计政策和会计估计变更以及差错更正的说明 7.4.5.1 会计政策变更的说明 本基金本报告期未发生会计政策变更。 7.4.5.2 会计估计变更的说明 本基金本报告期未发生会计估计变更。 7.4.5.3 差错更正的说明 本基金在本报告期间无须说明的会计差错更正。 7.4.6 税项 根据财政部、国家税务总局财税[2002]128号《关于开放式证券投资基金有关税收问题的通知》、财税[2004]78号《关于证券投资基金税收政策的通知》、财税[2008]1号《关于企业所得税若干优惠政策的通知》及其他相关财税法规和实务操作,主要税项列示如下: (1)以发行基金方式募集资金不属于营业税征收范围,不征收营业税。 (2)基金买卖债券的差价收入暂免征营业税和企业所得税。 (3)对基金取得的企业债券利息收入,由发行债券的企业在向基金派发利息时代扣代缴20%的个人所得税,暂不征收企业所得税。 7.4.7 关联方关系 ■ 注:1.本基金基金管理人于2013年10月29日成立了合资子公司大成创新资本管理有限公司,其中大成基金管理有限公司持有52%的股权。 2. 中国证监会于2005年11月6日作出对广东证券取消业务许可并责令关闭的行政处罚。 3. 下述关联交易均在正常业务范围内按一般商业条款订立。 7.4.8 本报告期及上年度可比期间的关联方交易 7.4.8.1 通过关联方交易单元进行的交易 本报告期内及上年度可比期间本基金无通过关联方交易单元进行的交易。 7.4.8.2 关联方报酬 7.4.8.2.1 基金管理费 单位:人民币元 ■ 注:支付基金管理人大成基金的管理人报酬按前一日基金资产净值0.27%的年费率计提,逐日累计至每月月底,按月支付。其计算公式为: 日管理人报酬=前一日基金资产净值 X 0.27% / 当年天数。 7.4.8.2.2 基金托管费 单位:人民币元 ■ 注:支付基金托管人中国银行的托管费按前一日基金资产净值0.08%的年费率计提,逐日累计至每月月底,按月支付。其计算公式为: 日托管费=前一日基金资产净值 X 0.08% / 当年天数。 7.4.8.2.3 销售服务费 单位:人民币元 ■ 注:支付基金销售机构的销售服务费按前一日基金资产净值的约定年费率计提,逐日累计至每月月底,按月支付给大成基金,再由大成基金计算并支付给各基金销售机构。A级基金份额和B级基金份额约定的销售服务费年费率分别为0.30%和0.01%。销售服务费的计算公式为: 对应级别日销售服务费=前一日对应级别基金资产净值 X约定年费率 / 当年天数。 7.4.8.3 与关联方进行银行间同业市场的债券(含回购)交易 单位:人民币元 ■ 7.4.8.4 各关联方投资本基金的情况 7.4.8.4.1 报告期内基金管理人运用固有资金投资本基金的情况 份额单位:份 ■ ■ 注:1、期间申购份额为期间收益再投资份额。 2、基金管理人大成基金管理有限公司认购本基金的交易委托中国银行办理,本基金管理人投资本基金的费率标准按照法律法规及交易所相关规定计算并支付,无认购费。 7.4.8.4.2 报告期末除基金管理人之外的其他关联方投资本基金的情况 本基金本期末及上年度可比期间无除基金管理人之外的其他关联方投资本基金的情况。 7.4.8.5 由关联方保管的银行存款余额及当期产生的利息收入 单位:人民币元 ■ 注:本基金的银行活期存款由基金托管人中国银行保管,按银行同业利率计息。 7.4.8.6 本基金在承销期内参与关联方承销证券的情况 本报告期内及上年度可比期间本基金未在承销期内参与关联方承销证券。 7.4.8.7 其他关联交易事项的说明 本基金本报告期及上年度可比期间无须作说明的其他关联交易事项。 7.4.9 期末( 2013年12月31日 )本基金持有的流通受限证券 7.4.9.1 因认购新发/增发证券而于期末持有的流通受限证券 本基金本期末无因认购新发/增发证券而流通受限的证券。 7.4.9.2 期末持有的暂时停牌等流通受限股票 本基金本期末无暂时停牌等流通受限的股票。 7.4.9.3 期末债券正回购交易中作为抵押的债券 7.4.9.3.1 银行间市场债券正回购 截至本报告期末2013年12月31日止,本基金从事银行间市场债券正回购交易形成的卖出回购证券款余额36,529,781.73元,是以如下债券作为抵押: 金额单位:人民币元 ■ 7.4.9.3.2 交易所市场债券正回购 截至本报告期末2013年12月31日止,本基金无从事证券交易所债券正回购交易形成的卖出回购证券款的余额(2012年12月31日:同)。 §8 投资组合报告 8.1 期末基金资产组合情况 金额单位:人民币元 ■ 8.2 债券回购融资情况 金额单位:人民币元 ■ 注:报告期内债券回购融资余额占基金资产净值的比例为报告期内每个交易日融资余额占资产净值比例的简单平均值。 债券正回购的资金余额超过基金资产净值的20%的说明 ■ 注:本基金合同约定:“本基金进入全国银行间同业市场进行债券回购的资金余额不得超过基金资产净值的40%”。 在本报告期个别交易日内,主要受基金规模变动影响,本基金进入全国银行间同业市场进行债券回购的资金余额超过基金资产净值的40%,已按照基金合同约定及法规要求在10个交易日内进行了调整。 8.3 基金投资组合平均剩余期限 8.3.1 投资组合平均剩余期限基本情况 ■ 报告期内投资组合平均剩余期限超过180天情况说明 ■ 注:本基金合同约定:“本基金投资组合的平均剩余期限在每个交易日均不得超过141天”,在本报告期个别交易日内,主要受基金规模变动影响,本基金投资组合的平均剩余期限超过141天,已按照基金合同约定及法规要求在10个交易日内进行了调整。 8.3.2 期末投资组合平均剩余期限分布比例 ■ 8.4 期末按债券品种分类的债券投资组合 金额单位:人民币元 ■ 8.5 期末按摊余成本占基金资产净值比例大小排名的前十名债券投资明细 金额单位:人民币元 ■ 8.6 “影子定价”与“摊余成本法”确定的基金资产净值的偏离 ■ 8.7 期末按公允价值占基金资产净值比例大小排名的所有资产支持证券投资明细 本报告期末未持有资产支持证券。 8.8 投资组合报告附注 8.8.1 本基金估值采用摊余成本法估值,即估值对象以买入成本列示,按票面利率或协议利率并考虑其买入时的溢价与折价,在其剩余存续期内按照实际利率法每日计提损益。本基金通过每日计算基金收益并分配的方式,使基金份额净值保持在人民币1.0000元。 8.8.2 本报告期内不存在基金持有剩余期限小于397天但剩余存续期超过397天的浮动利率债券的摊余成本超过当日基金资产净值的20%的情况。 8.8.3 本基金投资的前十名证券的发行主体未出现本期被监管部门立案调查,或在报告编制日前一年内受到公开谴责、处罚的情形。 8.8.4 期末其他各项资产构成 单位:人民币元 ■ 8.8.5 投资组合报告附注的其他文字描述部分 由于四舍五入原因,分项之和与合计可能有尾差。 §9 基金份额持有人信息 9.1 期末基金份额持有人户数及持有人结构 份额单位:份 ■ 注:1、上述机构/个人投资者持有份额占总份额比例的计算中,对分级份额,比例的分母采用各自级别的份额,对合计数,比例的分母采用下属分级基金份额的合计数(即期末基金份额总额)。 2、持有人户数为有效户数,即存量份额大于零的账户。 9.2 期末基金管理人的从业人员持有本基金的情况 ■ 注:1、上述占基金总份额比例的计算中,对分级份额,比例的分母采用各自级别的份额,对合计数,比例的分母采用下属分级基金份额的合计数(即期末基金份额总额); 2、本公司高级管理人员、基金投资和研究部门负责人持有本基金份额总量的数量区间:0; 3、本基金的基金经理持有本基金份额总量的数量区间:0。 9.3 发起式基金发起资金持有份额情况 ■ 注:本报告期间基金管理人固有资金持有份额变化均由收益分配引起。比例的分母采用各分级基金份额的合计数。 §10 开放式基金份额变动 单位:份 ■ §11 重大事件揭示 11.1 基金份额持有人大会决议 ■ 11.2 基金管理人、基金托管人的专门基金托管部门的重大人事变动 ■ 11.3 涉及基金管理人、基金财产、基金托管业务的诉讼 ■ 11.4 基金投资策略的改变 ■ 11.5 为基金进行审计的会计师事务所情况 ■ 11.6 管理人、托管人及其高级管理人员受稽查或处罚等情况 ■ 11.7 基金租用证券公司交易单元的有关情况 11.7.1 基金租用证券公司交易单元进行股票投资及佣金支付情况 金额单位:人民币元 ■ 注:根据中国证监会颁布的《关于完善证券投资基金交易席位制度有关问题的通知》(证监基金字[2007]48号)的有关规定,本公司制定了租用证券公司交易单元的选择标准和程序。 租用证券公司交易单元的选择标准主要包括: (一)财务状况良好,最近一年无重大违规行为; (二)经营行为规范,内控制度健全,能满足各投资组合运作的保密性要求; (三)研究实力较强,能提供包括研究报告、路演服务、协助进行上市公司调研等研究服务; (四)具备各投资组合运作所需的高效、安全的通讯条件,有足够的交易和清算能力,满足各投资组合证券交易需要; (五)能提供投资组合运作、管理所需的其他券商服务; (六)相关基金合同、资产管理合同以及法律法规规定的其他条件。 租用证券公司交易单元的程序:首先根据租用证券公司交易单元的选择标准形成《券商服务评价表》,然后根据评分高低进行选择基金交易单元。 本报告期内本基金租用证券公司交易单元的变更情况如下:本报告期内增加交易单元:华福证券、东海证券、渤海证券、齐鲁证券、万和证券、华鑫证券、民生证券、万联证券、东吴证券、国海证券、华林证券、英大证券、民族证券。本报告期内退租交易单元:无。 11.7.2 基金租用证券公司交易单元进行其他证券投资的情况 金额单位:人民币元 ■ 11.8 偏离度绝对值超过0.5%的情况 本基金本报告期内无偏离度绝对值超过0.5%的情况。 §12 影响投资者决策的其他重要信息 ■ 大成基金管理有限公司 2014年3月29日 本版导读:
发表评论:财苑热评: |


