证券时报网络版郑重声明经证券时报社授权,证券时报网独家全权代理《证券时报》信息登载业务。本页内容未经书面授权许可,不得转载、复制或在非证券时报网所属服务器建立镜像。欲咨询授权事宜请与证券时报网联系 (0755-83501827) 。 |
新疆天康畜牧生物技术股份有限公司发行股份吸收合并新疆天康控股(集团)有限公司暨关联交易报告书摘要 2015-04-10 来源:证券时报网 作者:
(2)划拨土地注入上市公司的合规性及影响 ①划拨土地注入上市公司的合规性 上述土地使用权中百园小区土地(兵十二师国用(2007)字第12600185号)的性质为划拨地,该地块对应的房屋均已取得房产证。 《划拨用地目录》规定:“(十)非营利性社会福利设施用地1.福利性住宅”可以使用划拨用地。上述房屋原为职工集资建房,属于福利性住宅,符合《划拨用地目录》的规定。 《国务院关于促进节约集约用地的通知》(2008年3月1日生效)第三条第(十)款规定:“今后除军事、社会保障性住房和特殊用地等可以继续以划拨方式取得土地外,对国家机关办公和交通、能源、水利等基础设施(产业)、城市基础设施以及各类社会事业用地要积极探索实行有偿使用,对其中的经营性用地先行实行有偿使用。其他建设用地应严格实行市场配置,有偿使用。”2006年兵团草业开发技术服务中心改制、组建天康控股时,上述百园小区房屋转至天康控股名下,百园小区地块于2007年4月23日获得新疆生产建设兵团农十二师国土资源局(以下简称“农十二师国土局”)核发的土地证,使用权类型为划拨。因此,天康控股系于《国务院关于促进节约集约用地的通知》生效之前获得划拨土地使用权。 2014年12月10日,独立财务顾问、中伦律师及开元评估实地走访了农十二师国土局,该局工作人员主要意见为:百园小区划拨地应在发生土地使用权转让即由天康控股转让至天康生物名下时,参照《国土资源部关于已购公有住房和经济适用住房上市出售中有关土地问题的通知》(国土资用发[1999]31号)的相关程序办理变更,即已购房屋所在宗地为划拨土地的,购买方应在交易双方签订房屋买卖合同后,持房屋买卖合同、原房屋产权人的房屋所有权证及国有土地使用证或土地产权证明等材料,到房屋所在地市、县土地行政主管部门(即农十二师国土局)缴纳相应的出让金后,办理土地出让手续,并换发使用权类型为出让的土地使用权证书。经农十二师国土局工作人员根据《乌鲁木齐市政府办公厅转批关于已购公有住房和经济适用房上市出售办理土地使用权出让及交纳土地出让金的意见》(乌政办 [2002]236号)的要求初步测算,前述百园小区划拨地变更为出让地时需缴纳土地出让金的金额合计约8,000元。?此外,天康控股、天康生物承诺,如本次重组获得核准,在交割时将根据上述规定及农十二师国土局的要求,缴纳土地出让金,办理土地性质变更的手续。 综上,上述划拨土地注入上市公司时,将变更为出让土地,符合《国务院关于促进节约集约用地的通知》、《划拨用地目录》的相关规定。 ②对评估值、生产经营的影响 鉴于天康控股取得上述房屋资产入账时仅作为房屋建筑物处理,未单独对土地使用权入账,因此本次评估未对上述土地进行单独评估,而是在对应的房屋建筑物中合并进行评估,评估值为456.35万元,占拟注入资产总资产评估值的比例为0.2%。评估报告对于该土地及房屋的评估价格是参考市场同类房产交易价格确定的,充分考虑了土地性质的因素,评估值公允。该等房屋目前用作企业职工宿舍,未涉及天康控股生产经营业务。 3、关于商标授权使用情况 2014年8月,经天康生物2014年第七次临时董事会决议审议通过,天康生物与天康食品签订《商标使用许可合同》,授权天康食品无偿使用天康生物所拥有的“TECON”(商标注册号:5098721;类别:第29类)、“天康”(商标注册号:8177096;类别:第29类)、“天康美厨”(商标注册号:3880241;类别:第35类)和“TECON天康食品”(商标注册号:8177100;类别:第29类)商标,并向国家工商总局商标局报送了相应的商标使用许可备案申请,具体情况如下: ■ 上述商标所辖的商品列表主要为各类肉制品,不涉及天康生物现有业务及产品,亦不属于其生产经营所需的商标。天康生物授权天康食品使用上述商标后,将由天康食品自行承担商标维护和宣传费用,并通过品牌宣传提升上述商标的品牌价值,有利于“天康”品牌的建设和肉制品销售业务的发展。本次交易完成后,天康食品将成为上市公司的全资子公司,上述关联交易将完全消除,符合天康生物和广大中小股东的利益。 4、财产租赁情况 截至本报告书签署日,天康控股及下属控股子公司对外租赁主要为养殖业务相关的养猪场租赁和土地承包,具体情况如下: (1)2003年10月8日,天康畜牧科技军户分公司与新疆生产建设兵团农六师军户农场签订租赁合同,租赁其所拥有的位于农六师军户农场的养猪场及相关设施,租赁期为2003年10月9日至2013年10月9日。2009年4月28日,双方签订补充协议,租赁期限由原合同截止日2013年10月9日顺延至2019年10月9日。 (2)2011年11月26日,天康畜牧科技与新疆生产建设兵团农十二师104团签订租赁合同,租赁其所拥有的104团养猪场及相关设施,租赁期为2011年12月1日至2016年12月31日。 (3)2007年6月8日,天康畜牧科技与昌吉回族自治州粮油购销集团有限责任公司玛纳斯分公司签订租赁合同,租赁其所拥有的位于昌吉回族自治州玛纳斯县包家店镇的养猪场及相关设施,租赁期为2007年6月1日至2027年5月31日。 (4)2013年10月14日,天康畜牧科技与新疆康益源牧业有限公司签订租赁合同,租赁其位其所拥有的位于新疆生产建设兵团第八师一五二团七连的养猪场及相关设施,租赁期为2014年1月1日至2023年12月31日。 (5)2012年10月19日,天康畜牧科技与石河子北泉镇天蓬养殖场签订租赁合同,租赁其拥有的位于新疆生产建设兵团第八师石河子北泉镇四分场六连的养猪场及相关设施,租赁期为2013年1月1日至2022年12月31日。 (6)2012年1月12日,天康畜牧科技与新疆生产建设兵团农十二师二二一团签订租赁合同,租赁其拥有的位于新疆生产建设兵团农十二师二二一团八连的养猪场(一期)及相关设施,租赁期为2012年1月1日至2016年12月31日。 (7)2013年5月8日,天康畜牧科技与新疆生产建设兵团农十二师二二一团签订租赁合同,租赁其拥有的位于新疆生产建设兵团农十二师二二一团八连的养猪场(二期)及相关设施,租赁期为2013年1月1日至2016年12月31日。 (8)2013年1月8日,富桥担保与河南省信阳市平桥区平桥办事处两庙居委会签订租赁合同,租赁其拥有的位于信阳市平桥区两庙社区的两庙社区办公楼七楼,租赁期为2013年1月1日至2017年12月31日止。 (9)2012年3月1日,宏展畜牧科技与信阳市平桥区肖王乡新店行政村北岗村村民签订土地承包协议,租赁其位于北岗村民组北部,东起水渠沟,西至龙井乡交界,南起稻场,北至龙井乡交界的230亩集体土地,租赁期为2012年3月1日至2062年2月28日止,信阳市平桥区肖王乡人民政府对该土地承包协议进行了见证。 (10)2014年5月16日,宏展畜牧科技与信阳市平桥区龙井乡南雷村任湾村民签订土地承包协议,租赁其位于龙井乡南雷村任湾组的1亩集体土地,租赁期为2014年5月16日至2064年5月15日止,信阳市平桥区龙井乡人民政府对该土地承包协议进行了见证。 (11)2013年5月23日,宏展畜牧科技与信阳市平桥区龙井乡南雷村村民签订土地承包协议,租赁其位于肖王乡新店行政村北岗村民组与龙井乡南雷村四里井村民组交界处的2.2亩集体土地,租赁期限为2013年3月1日至2063年2月28日,信阳市平桥区龙井乡人民政府对该土地承包协议进行了见证。 (12)2012年3月1日,宏展畜牧科技与肖王乡新店村北岗村村民签订土地承包协议,租赁其位于宏展畜牧科技养殖场南大门口的3.6052亩集体土地,租赁期限为2012年3月1日至2062年2月28日止,信阳市平桥区肖王乡人民政府对该土地承包协议进行了见证。 (13)2014年12月2日,玛纳斯天康畜牧与玛纳斯县国土资源局签订国有土地使用权租赁合同和补充合同,租赁其位于玛纳斯县乐土驿镇梧桐树庄村420.80亩国有土地(设施农用地)地用于生猪二级繁育基地,租赁期限为2014年1月1日至2028年12月31日。 5、主要经营资质 截至本报告书签署日,天康控股所拥有的主要经营资质情况如下: ■ *注:根据国务院行政体制改革的有关要求,乌鲁木齐市畜禽定点屠宰职能由商务部门移交农牧部门管理,相关部门工作移交手续正在办理中,未能换发新的畜禽定点屠宰经营批准证书。乌鲁木齐市商务局(粮食局)于2014年7月出具了证明文件,确认天康食品原有畜禽定点屠宰经营批准证书延期使用有效。 (八)安全生产及环境保护情况 1、安全生产情况 天康控股一直把安全生产工作放在重要位置,坚持“安全第一、预防为主、综合治理”的安全生产方针,全面落实安全生产责任制及各项安全管理制度,提高全员安全意识,不断加强公司的生物安全和生产安全管理,确保天康控股的持续、稳定发展。 天康控股下属各公司分别制定了《安全责任制度》、《安全隐患排查治理制度》、《安全生产例检制度》、《生产安全事故报告和处理制度》、《生产安全事故应急救援预案》等多项制度,均已建立了完善的生产安全管理体系,并针对养殖、屠宰作业中的各个环节,制定了《机器设备安全维修检修制度》、《防火、防爆有关制度》、《生物安全防疫制度》、《病、残、死猪的处理办法》、《登高作业安全管理制度》等一系列具体的安全制度和操作规程,严格规范机器设备操作、消防、生物安全防疫等,消除安全事故隐患。此外,公司还制定了突发事件应急处置预案和安全事故应急救援预案,明确应急预案小组成员组成及各成员的具体职责,制定了详细的应急措施,并认真演练。 天康控股及下属子公司严格遵守国家和地方有关安全生产方面法律法规的规定,生产经营活动符合国家及地方有关安全生产的法律法规的要求和标准,最近三年未发生过重大生产安全事故。 2、环保情况 天康控股一直把环境保护工作放在发展的重要位置,通过不断加强环保管理、加大环保投资,建成并完善环保治理设施,保证环保治理设施正常运行等一系列工作,天康控股保证了污染物排放达标,最大程度地降低对周边环境的不利影响。 天康控股设有专门的部门负责日常环保工作,包括管理环保资料、制定管理制度、运行环保设施等,并定期向当地环保部门汇报环保设施运行状况和废水处理情况。 近三年来,天康控股及下属子公司在经营活动中能够遵守环境保护方面法律、法规、部门规章及地方性规定的要求,没有发生环境污染事故,不存在因违反环境保护方面法律法规而被或将被环境保护主管机关处罚的情形。 (九)质量控制情况 1、质量控制标准 天康控股已通过了IS09001:2008质量管理体系、HACCP食品安全体系认证(证书编号:CQC11H10933R2M/6500)和食品安全管理体系认证(证书编号0841FSMS1300025),在生产、经营过程中执行的主要质量控制标准如下: ■ 2、防疫控制情况 防疫工作是生猪产业质量控制工作的重点之一,天康控股从养殖场选址、 布局设计、防疫制度、圈舍环境、饲料供应和屠宰加工等多个环节入手,建立了完整了综合防疫体系,并取得了相应的动物防疫合格证,具体情况如下: ■ 3、质量控制措施及纠纷情况 天康控股始终坚持“食品工业是道德工业”的质量理念,把“优质健康、安全放心”作为生产的宗旨,诚实守信,依法经营。目前,天康控股在生猪养殖和生猪屠宰加工等环节已经制定了严格的猪肉安全管理体制。同时,建立了专业的检验检疫和质量管理队伍,并拥有较为完善的生猪疫病检疫及防治措施、严格的肉品卫生检疫和控制标准,在产业链的各个环节,实施标准化检验和控制,建立起源头保证安全、过程控制有力、结果重重把关的安全卫生防护体系。目前,天康控股已经通过ISO9001:2008质量管理体系认证、HACCP食品安全体系认证,并获得出口食品生产企业备案,其生产的“天康放心肉”是乌鲁木齐市唯一指定的猪肉“放心肉”品牌。 近三年来,天康控股及其下属子公司遵守国家有关质量管理的法律法规,产品符合国家关于产品质量、标准和技术监督的要求,未受到任何质量方面的行政处罚,未发生因产品质量问题而导致的纠纷。 (九)天康控股技术及研发情况 1、主要研发机构 天康控股下属子公司天康畜牧科技和天康食品成立了研发部。其中,天康畜牧科技下属研发部门主要承担生猪繁育、品种优化和防疫等技术的研发工作;天康食品下属研发部门主要承担屠宰技术、肉制品保质保鲜和质量检验技术的研发工作。各个研发部均拥有经验丰富、创新力强的研发团队,并配备了完善的试验、研发设备,应用国内先进的试验和检测手段进行各项技术的研发工作,并积极与各大高校、研发机构开展技术合作。 2、主要产品的生产技术 天康控股下属子公司生产过程中使用非专利技术和正在研发的技术情况如下: ■ 三、最近两年一期的主要财务数据 (一)合并报表财务数据 天康控股最近两年一期经审计的主要合并财务数据如下: 单位:万元 ■ (二)模拟合并报表财务数据 鉴于本次交易完成后,天康控股所持天康生物33.75%比例股份将注销,本次实际新增的拟购买资产为天康控股100%股权扣除所持天康生物33.75%比例股份的价值。为了更好的反映拟购买资产的真实财务状况,编制了剔除天康生物后天康控股的模拟财务报表。 天康控股(剔除天康生物)最近两年及一期主要财务数据如下: 单位:万元 ■ 四、本次资产评估情况
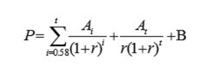
(一)交易标的评估概述 本次交易中,标的资产的交易价格以具有证券期货相关业务资格的资产评估机构出具的、并经国有资产管理部门备案的评估报告的评估结果为准。 根据开元评估出具的《资产评估报告》的评估结论,天康控股截至2014年5月31日经审计账面净资产合计为36,650.89万元,资产基础法净资产评估价值为183,960.53万元,增值额为147,309.64万元,增值率为401.93%;收益法评估后的净资产价值为186,211.80万元,评估增值额为149,560.91万元,增值率为408.07%。 本次评估以资产基础法的评估结果作为最终的评估结论,标的资产股东全部权益以资产基础法评估结果为183,960.53万元。 (二)对交易标的评估方法的选择及其合理性分析 1、评估对象与评估范围 本次评估对象为天康控股的全部股东权益。评估范围为天康控股全部资产及相关负债。评估基准日为2014年5月31日。 2、评估假设 (1)一般假设 ①公平交易假设 公平交易假设是假定评估对象已处于交易过程中,评估师根据评估对象的交易条件等按公平原则模拟市场进行估价。公平交易假设是资产评估得以进行的一个最基本的前提假设。 ②公开市场假设 公开市场假设是假定在市场上交易的资产或拟在市场上交易的资产,资产交易双方彼此地位平等,彼此都有获得足够市场信息的机会和时间,以便于对资产的功能、用途及其交易价格等作出理智的判断。公开市场假设以资产在市场上可以公开买卖为基础。 ③资产持续经营假设 资产持续经营假设是指评估时假定委估资产按照目前的用途和使用的方式、规模、频率、环境等情况继续使用,或者在所改变的基础上使用,相应确定评估方法、参数和依据。 (2)特殊假设 ①假设国家现行的有关法律法规及政策、国家宏观经济形势无重大变化,本次交易各方所处地区的政治、经济和社会环境无重大变化,无其他不可预测和不可抗力因素造成的重大不利影响,假设被评估单位完全遵守所有有关的法律法规。 ②假设有关信贷利率、税赋基准及税率和政策性征收费用等不发生重大变化。 ③假设天康控股及其子公司的经营者是负责的,且其管理层有能力担当其职务和履行其职责。并假设能保持现有的管理、业务、技术团队的相对稳定,或变化后的管理、业务、技术团队对公司经营管理无重大影响。 ④假设公司未来将采取的会计政策和评估师编写评估报告时所采用的会计政策在重要方面基本一致。 ⑤假设天康控股及其子公司在现有的管理方式和管理水平的基础上,经营范围、方式与目前方向保持一致,针对评估基准日资产的实际状况,假设企业持续经营。 ⑥假设天康控股及其子公司未来经营期间的营业收入和成本费用支付等各项业务收支均与评估基准日的营运模式相同。假设被评估单位的营运收支及评估对象所包含的资产的购置价格与当地评估基准日的货币购买力相适应。 ⑦收益的计算以会计年度为基准,假设被评估单位的收益实现日为每年年末。 ⑧假设天康控股及其子公司各类固定资产的经济寿命为机械工业出版社出版的《资产评估常用方法与参数手册》制定的标准。 ⑨本次评估假设天康控股及其子公司现有已获得的税收优惠政策,能按相关政策规定持续享受,不考虑未来可能获得的其他新增税收优惠。 ⑩假设天康控股及其子公司经营性租赁事项对企业经营不产生重大影响,且租赁期满能续租或顺利租赁同规模的经营场所。 假设无其他人力不可抗拒因素和不可预见因素对被评估单位造成重大不利影响。 3、评估方法 本次交易采取资产基础法与收益法对交易标的进行评估,两种评估方法的特点如下: (1)企业价值评估中资产基础法(成本法)是指以被评估单位评估基准日的资产负债表为基础,合理评估企业表内及表外各项资产、负债价值,确定评估对象价值的评估方法。 (2)企业价值评估中的收益法是指将预期收益资本化或者折现,确定评估对象价值的评估方法。常用的具体方法包括股利折现法和现金流量折现法;股利折现法是将预期股利进行折现以确定评估对象价值的具体方法,该方法通常适用于缺乏控制权的股东部分权益价值的评估;现金流量折现法是将预期现金净流量进行折现以确定评估对象价值的具体方法,包括企业自由现金流折现模型和股权自由现金流折现模型两种。 4、评估方法的选择及其合理性分析 企业整体资产的评估方法包括资产基础法、市场法和收益法。根据本次评估的资产特性,以及由于我国目前市场化、信息化程度尚不高,被评估单位所在行业的可比公司公开股权交易案例少,可比性较差,故不宜采用市场法。本次评估采用资产基础法、收益法进行评估。 (三)天康控股评估情况 本次评估分别采用资产基础法和收益法对天康控股的全部股东权益价值进行了评估。 1、资产基础法评估情况 (1)评估结果 本次评估采用资产基础法得出天康控股股东全部权益价值在评估基准日的评估结果为183,960.53万元,评估增值147,309.64万元,增值率401.93%;具体评估结果汇总如下: 单位:万元 ■ (2)评估增减值情况 天康控股本次评估增值主要为长期股权投资、固定资产和无形资产增值,增值原因如下: ①长期股权投资增值 本次纳入评估范围的长期股权投资单位共9家,其中控股子公司8家,参股公司1家,具体情况如下: 单位:万元 ■ 天康控股持有的天康生物股份采用市场法进行评估,以本次交易定价基准日前20个交易日股票交易均价(扣除现金分红除息因素影响后的发行价格为9.57 元/股)及天康控股的持股比例确认该项长期股权投资评估值。因此,天康控股持有天康生物146,517,930股股票的评估价值为140,217.66万元。 天康家禽已进入注销清算程序,净资产为负数,该项目长期投资按零值评估。 对于其他可以正常生产经营的控股子公司,以其评估基准日的股东全部权益评估值乘以持股比例作为该等长期股权投资的评估值,具体评估情况详见本节“四/(四)天康控股子公司评估情况”。 天康控股对参股公司金牧草业持股比例较小,对该企业没有实质控制力。评估人员依据该企业在评估基准日财务报表确定被投资方的净资产,按持股比例计算新疆天康控股(集团)有限公司应享有的份额确定该等长期股权投资的评估值。 上述长期股权投资评估值合计为202,298.57万元,评估增值146,502.01万元, 增值率262.56%。 ②固定资产增值 固定资产评估增值449.05万元,增值率27.26%,主要为天康控股的房屋建筑物评估增值。对于房地合一的住宅及商业用房,类似房地产的交易比较活跃的,采用市场比较法进行评估。对育肥舍、猪舍等,所在地的房地产市场上同类成交案例甚少,亦不属于单独创收的收益性房产,根据评估目的及委估房屋建筑物类资产的实际用途、状况,采用成本法进行评估。 纳入本次评估范围的天康控股的房产的账面价值反映的是取得房产的历史成本扣减折旧,本次评估的评估值反映的是房产现行价格或考虑成新率后的重置成本,由于建造材料价格和人工价格上涨等导致固定资产评估增值。 ③无形资产增值 无形资产评估增值358.21万元,增值率159.35%,主要为天康控股的土地使用权评估增值。纳入本次评估范围的天康控股的1宗土地的土地使用权的账面价值反映的是取得土地的历史成本,由于新疆地区土地价格上涨,且被评估单位设备折旧年限短于机器设备经济寿命年限造成成新率增加而导致评估增值。 2、收益法评估情况 (1)收益法评估结果 本次评估采用收益法得出天康控股股东全部权益价值在评估基准日的评估结果为186,211.80万元,评估增值149,560.91万元,增值率408.07%。 (2)评估方法 天康控股为控股型公司,主要特点是公司自身不是经营的主体,系管理中心,实际扮演的是统筹管理的角色,并不直接进行生猪养殖、屠宰加工等相关经营性业务,只有少量收入,主要为承担管理成本。 天康控股主要业务为股权投资管理,收益法评估时,将天康控股未来收益期内各期自由现金净流量折现。对天康控股长期股权投资评估时,对天康控股正常生产经营的子公司天康畜牧科技、天康食品、天康担保、富桥担保采用收益法(现金流量折现法)进行评估;宏展畜牧科技尚未生产经营、禾泽农业处于停产,按其资产基础法对其评估;对天康生物股份采用市场法进行评估;天康家禽已进入注销清算程序,净资产为负数,该项目长期投资按零值评估;以其评估基准日的子公司的评估值乘以持股比例作为该等长期股权投资的评估值。 根据天康控股自身自由现金流量现值加上非经营性资产(包括长期股权投资)和溢余资产的评估值减去非经营负债评估值和付息债务得出天康控股股东全部权益价值。 ①基本模型 选用分段收益折现模型。即:将以持续经营为前提的被评估单位的未来收益分为明确预测期和永续年期两个阶段进行预测,首先逐年明确预测期(评估基准日后至2019年末)各年的企业自由现金净流量;再假设永续年期保持明确预测期最后一年的预期收益额水平,估算永续年期稳定的企业自由现金净流量。最后,将被评估单位未来的企业自由现金流量进行折现后求和,再加上单独评估的非经营性资产(包括长期股权投资)、溢余资产评估值总额,扣除被评估单位基准日付息负债即得到被评估单位的股东全部权益价值。根据上述分析,本次将被评估单位的未来收益预测分为以下两个阶段,第一阶段为明确预测期,从2014年6月1日至2019年12月31日止,共5.58年,此阶段为被评估单位的增长期并趋于稳定;第二阶段为永续年期,2020年1月1日开始,此阶段被评估单位进入稳定期,将保持2020年的收益额水平,并基本稳定。其基本估算公式如下: 企业整体价值=未来收益期内各期预测的自由现金净流量现值之和+单独评估的非经营性资产、溢余资产评估总额 ■ 式中: P-企业整体价值; r-折现率; t- 明确预测期的收益年限,本次评估取5.58年; Ai-明确预测期第i年预期企业自由现金流量; At-未来收益稳定年度的预期企业自由现金流量; i-收益折现期(年),取值为i=0.58,1.58,2.58,3.58,4.58,5.58; B-单独评估的非经营性资产、溢余资产评估总额。 企业自由现金流量=税后净利润+折旧及摊销+利息×(1-所得税率)-资本性支出-净营运资金追加额 股东全部权益价值=企业整体价值-付息债务价值 ②折现率的选取 折现率亦称期望投资回报率,是采用收益法评估所使用的重要参数。本次评估所采用的折现率的估算,是在考虑评估基准日的利率水平、市场投资回报率、公司特有风险收益率(包括规模超额收益率)和被评估单位的其他风险因素的基础上运用资本资产定价模型(Capital Asset Pricing Model 或CAPM)综合估算其权益资本成本,并参照对比公司的资本结构等因素,综合估算被评估单位的股权收益率,进而综合估算全部资本加权平均成本(Weighted Average Cost of Capital或WACC),并以此作为评估对象的全部资本的自由现金净流量的折现率。其估算过程及公式如下: 权益资本成本按资本资产定价模型的估算公式如下: CAPM 或 Re = Rf+β(Rm-Rf)+Rs = Rf+β×ERP+Rs 上式中:Re:权益资本成本; Rf:无风险收益率; β:Beta系数; Rm:资本市场平均收益率; ERP:即市场风险溢价(Rm- Rf); Rs:特有风险收益率(企业规模超额收益率)。 加权平均资本成本(WACC)的估算公式如下: WACC=E/(D+E)×Re+D/(D+E)×(1-t)×Rd =1/(D/E+1)×Re+D/E/(D/E+1)×(1-t)×Rd 上式中:WACC:加权平均资本成本; D:债务的市场价值; E:股权市值; Re :权益资本成本; Rd:债务资本成本; D/E:资本结构; t: 企业所得税率。 (3)重要评估参数 ①营业收入预测 天康控股主要业务收入为仓储监管收入。2013年天康控股收入为272.53万元,2014年1-5月收入为118.67万元,根据历史水平,评估预测2014年6-12月天康控股仓储监管收入为204.25万元,2015年及以后年度天康控股仓储监管收入为250万元。 ■ ②管理费用预测 管理费用主要为工资薪酬、福利及奖金,差旅及招待费,房租,通讯费,培训费用,招投标费及会务费,科研费,折旧及摊销、税和保险费等。 其中: 本次评估的固定资产折旧的预测基于以下几个方面的考虑,一是天康控股固定资产折旧的会计政策;二是固定资产价值的构成及规模;三是固定资产投入使用的时间;四是固定资产的未来投资计划(未来年度的资本性支出形成的固定资产)。预测中折旧额与其相应资产占用保持相应匹配;预计当年投入使用的资本性支出所形成的固定资产在下月起开始计提折旧; 人力成本、办公费、科研费与营业收入相关,根据天康控股前几年历史财务数据及费用变动趋势分析,工资保持每年5%的增长率,2019年以后保持稳定;管理费用中天康控股为下属子公司天康畜牧科技支付的商业保险金应由天康畜牧科技负担,因此在未来预测期不再进行预测;其他费用按历史的平均水平预计。 天康控股未来年度的管理费用预测值如下表所示: 单位:万元 ■ ③财务费用预测 天康控股的财务费用主要包括利息费用、利息收入、汇兑损益及金融机构手续费等。 天康控股有息负债17,000.00万元,平均利息率5.46%。每年贷款利息为928.20万元。财务手续费以2014年1-5月水平进行测算,以后年度为11.59万元。 天康控股未来年度的财务费用预测值如下表所示: 单位:万元 ■ ④折旧、摊销额预测 本次评估之固定资产折旧的预测基于五个方面的考虑,一是天康控股固定资产折旧的会计政策;二是固定资产价值的构成及规模;三是固定资产投入使用的时间;四是固定资产的未来投资计划(未来年度的资本性支出形成的固定资产);五是每年应负担的现有固定资产的更新费用和未来投资形成的固定资产的更新费用的年金。预测中折旧额与其相应资产占用保持相应匹配;预计当年投入使用的资本性支出所形成的固定资产在下月起开始计提折旧。 天康控股未来年度的折旧、摊销预测值如下表: 单位:万元 ■ ⑤收益期限的估算 从企业价值评估角度分析,被评估单位经营正常,不存在必然终止的条件,故本次评估设定其收益期限为无限年期。评估时分明确预测期和永续年期两段进行预测,第一段为5.58年(从2014年6月1日至2019年12月31日);第二段为2020年初至未来。 ⑥折现率 为了确定天康控股股权的价值,开元评估采用了加权平均资本成本估价模型,即WACC模型。 CAPM 或 Re = Rf+β(Rm-Rf)+Rs= Rf+β×ERP+Rs 上式中: Re:权益资本成本; Rf:无风险收益率; β:Beta系数; Rm:资本市场平均收益率; ERP:即市场风险溢价(Rm- Rf); Rs:特有风险收益率(企业规模超额收益率)。 加权平均资本成本(WACC)的估算公式如下: WACC=E/(D+E)×Re+D/(D+E)×(1-t)×Rd =1/(D/E+1)×Re+D/E/(D/E+1)×(1-t)×Rd 上式中: WACC:加权平均资本成本; D:债务的市场价值; E:股权市值; Re :权益资本成本; Rd:债务资本成本; D/E:资本结构; t:企业所得税率。 A、估算无风险收益率 在中国债券市场选择从评估基准日至“国债到期日”的剩余期限超过10年的国债作为估算国债到期收益率的样本,经计算,评估基准日符合上述样本选择标准的国债平均到期收益率为4.3027%,以此作为本次评估的无风险收益率。 B、估算资本市场平均收益,以确定市场风险溢价 参照美国相关机构估算ERP的思路,选用沪深300作为衡量股市ERP的指数。计算年期从2000年开始,即指数的时间区间选择为1999-12-31到2012-12-31之间。借助Wind资讯的数据系统选择每年末成分股的各年末交易收盘价作为基础数据进行测算。年收益率的计算采用算术平均值和几何平均值两种计算方法。通过计算得到沪深300成份股的各年算术平均及几何平均收益率,以全部成份股的算术或几何平均收益率的算术平均值作为各年股市收益率,再与各年无风险收益率比较,得到股票市场各年的ERP。经比较算术和几何平均收益率,几何平均收益率能更好地反映股市收益率的长期趋势,故采用几何平均收益率估算的ERP =6.70%作为目前国内股市的风险收益率,即市场风险溢价为6.70%。 C、Beta系数的估算 在上市公司中选择三家可比公司,剔除资本结构因素的BETA系数的平均值为0.8151。2013年12月31日该三家对比公司的财务杠杆系数(D/E)的平均值为48.14%,作为被评估单位的“目标资本结构”。 被评估单位具有财务杠杆的BETA=对比公司剔除资本结构因素的平均BETA值×(1+D /E×(1-所得税率))=0.8151 ×(1+(1-25%)) ×48.14%=1.2075 D、估算被评估单位特有风险收益率(包括企业规模超额收益率)Rc 注册资产评估师在估算被评估单位特有风险收益率时,通常分规模超额收益率和其他特有风险收益率两部分来估算。特有风险回报率(超额规模风险)模型为基于总资产规模、总资产报酬率与超额规模回报率之间的关系,本次评估参照线性回归模型估算而得的结果为2.18%。对于其他特有风险回报率,目前国内没有一个定量的估算模型,一般采用定性分析的方法估算,考虑的因素包括:客户聚集度过高特别风险;产品单一特别风险;市场过于集中特别风险;管理者特别风险等企业承担的各项因素,估算企业其他特有风险为0%。 企业特有风险超额收益率Rcc=规模超额收益率Rs+其他超额风险收益率=2.18%+0%=2.18% E、债权收益率的估算 债权收益率的估算目前一般套用银行贷款利率。经测算,银行贷款利率的平均值为6.28%,以此作为本次评估的债权收益率。 综上,计算权益股权收益率 CAPM=Rf+β×ERP+Rs =4.3%+6.70%×0.9792+2.18%=13.04% 加权资金成本(WACC)=股权收益率×股权比例+债权收益率×债权比例×(1-所得税率)=11.88% 3、评估结果的差异分析及最终结果的选取 本次评估采用收益法与采用资产基础法的评估结果差异2,251.27万元,差异率为1.22%,主要原因为: 两种评估方法考虑的角度不同,资产基础法是从单项资产的再取得途径考虑的,反映的是企业重建的市场价值;收益法是从企业的未来获利角度考虑的,反映了企业拥有的商誉、品牌、市场和客户资源、人力资源、管理团队、特殊的管理模式和管理方式等无形资产在内的企业整体的综合获利能力。但天康控股除控股上市公司天康生物外,主要业务还包括生猪养殖、生猪屠宰及肉制品加工和销售,主要产品包括种猪、仔猪、商品猪、热鲜肉、冷鲜肉及冷冻肉以及围绕畜牧养殖产业链上的相关主体提供配套融资担保服务等,冷冻肉等部分业务还承担了国家储备库存功能,肩负着稳定市场物价的责任。天康控股生猪养殖、生猪屠宰及肉制品加工和销售业务受猪价影响较大,未来价格仍会存在一定的波动,在这种前提下收益法的结果存在一定的不确定性。从稳健的原则出发,结合本次天康生物吸收合并的评估目的,充分考虑维护上市公司及其社会公众股东的利益,本次评估选取资产基础法的评估结果作为本次评估的最终结论,即在评估基准日天康控股股东全部权益价值为183,960.53万元。 (四)天康控股子公司评估情况 1、天康畜牧科技 本次评估分别采用资产基础法、收益法对天康畜牧科技的全部股东权益价值进行了评估。 (1)资产基础法评估情况 本次评估采用资产基础法得出天康畜牧科技股东全部权益价值在评估基准日的评估结果为49,606.55万元,评估增值19,313.28万元,增值率63.75%。具体评估结果如下: 单位:万元 ■ 天康畜牧科技本次评估增值主要为长期股权投资、固定资产和无形资产增值,增值原因如下: ①本次评估长期股权投资评估增值12,874.74万元,增值率1,430.53%。评估增值的主要原因为:长期股权投资的账面价值为成本法核算的账面价值,投资成本较低,本次对各项长期股权投资的评估是在各被投资单位于评估基准日的净资产基础上进行整体价值评估,按持股比例计算应享有的份额来确定各项长期股权投资的评估值。 ②本次评估房屋建(构)筑物整体评估增值477.31万元,增值率15.58%。评估增值的主要原因为大部分建(构)筑物建购置或建造时间较早,至此次评估基准日被评估建(构)筑物所在地的建设工程建造成本上涨所致。 ③本次评估机器设备评估增值329.52万元,增值率39.99%。评估增值的主要原因,一方面为近几年物价上涨,部分机器设备的重置价格高于账面原值,造成评估增值;另一方面为机器设备由于企业账面会计折旧年限低于经济寿命年限,导致评估增值。 ④本次土地使用权评估增值4,542.50万元,增值率353.91%,主要原因系委估土地取得时间较早,近年来土地价格上涨致评估出现增值。 (2)收益法评估情况 本次评估采用收益法得出天康畜牧科技股东全部权益价值在评估基准日的评估结果为51,149.51万元,评估增值20,856.24万元,增值率68.85%。 (3)评估结果的差异分析及最终结果的选取 本次评估最终选取资产基础法评估结果作为最终评估结果。收益法评估的股东全部权益价值为51,149.51万元,资产基础法评估的股东全部权益价值为49,606.55万元,两者相差1,542.96万元,差异率为3.11%。两种评估方法结果差异主要原因是:两种评估方法考虑的角度不同,资产基础法是从单项资产的再取得途径考虑的,反映的是企业重建的市场价值;收益法是从企业的未来获利角度考虑的,反映了企业拥有的商誉、品牌、市场和客户资源、人力资源、管理团队、特殊的管理模式和管理方式等无形资产在内的企业整体的综合获利能力。 由于畜牧行业近年来产品(猪肉)价格变化趋势较为复杂使得收益法预测结果具有较大的不确定性,故本次评估采用资产基础法的评估结果。从稳健的原则出发,结合本次天康生物吸收合并的评估目的,充分考虑维护上市公司及其社会公众股东的利益。在评估基准日天康畜牧科技股东全部权益价值为49,606.55万元。 2、天康食品 本次评估分别采用资产基础法、收益法对天康食品的全部股东权益价值进行了评估。 (1)资产基础法评估情况 本次评估采用资产基础法得出天康食品股东全部权益价值在评估基准日的评估结果为5,226.48万元,评估增值2,575.21万元,增值率97.13%。具体评估结果如下: 单位:万元 ■ 天康食品本次评估增值主要为固定资产、无形资产增值以及非流动负债减少,增值原因如下: ①本次评估房屋建(构)筑物整体评估增值354.61万元,增值率7.78%。评估增值的主要原因为大部分建(构)筑物建购置或建造时间较早,至此次评估基准日被评估建(构)筑物所在地的建设工程建造成本有所上涨。 ②本次评估机器设备评估增值99.30万元,增值率10.07%。评估增值的主要原因为近几年物价上涨,部分机器设备的重置价格高于账面原值,造成评估增值。 ③本次评估在建工程评估减值55.15万元,减值率为96.70%,评估减值的主要原因为大部分在建工程并入房屋建筑物及机器设备中评估。 ④本次土地使用权评估增值1,043.70万元,增值率496.29%,由于2003年取得土地,近年土地价格上涨形成评估增值。 ⑤非流动负债评估减值1,015.00万元,减值率为100%,减值的主要原因为其他非流动负债主要为政府补助资金,这部分补助资金无需偿还,导致评估减值。 (2)收益法评估情况 本次评估采用收益法得出天康食品股东全部权益价值在评估基准日的评估结果为5,521.57万元,评估增值2,870.31万元,增值率108.26%。 (3)评估结果的差异分析及最终结果的选取 本次评估最终选取资产基础法评估结果作为最终评估结果。收益法评估的股东全部权益价值为5,521.57万元,资产基础法评估的股东全部权益价值为5,226.48万元,两者相差295.09万元,差异率为5.65%。两种评估方法结果差异主要原因是:两种评估方法考虑的角度不同,资产基础法是从单项资产的再取得途径考虑的,反映的是企业重建的市场价值;收益法是从企业的未来获利角度考虑的,反映了企业拥有的商誉、品牌、市场和客户资源、人力资源、管理团队、特殊的管理模式和管理方式等无形资产在内的企业整体的综合获利能力。 考虑天康食品作为集现代畜牧养殖基地建设、肉食屠宰加工、冷链物流配送及品牌连锁经营为一体的现代化食品企业,销售受市场波动影响较大,未来预测具有较大的不确定性,同时结合本次评估目的和获取的评估资料可靠性分析,采用资产基础法评估结果,更客观、更稳健,因此,本次评估选取资产基础法的评估结果作为本次评估的最终结论。天康食品股东全部权益评估价值为5,226.48万元。 3、天康担保 本次评估分别采用资产基础法、收益法对天康担保的全部股东权益价值进行了评估。 (1)资产基础法评估情况 本次评估采用资产基础法得出天康担保股东全部权益价值在评估基准日的评估结果为10,958.29万元,评估增值998.41万元,增值率10.02%。具体评估结果如下: 单位:万元 ■ 天康担保本次评估增值主要系流动负债评估减少,天康担保按照相关规定计提担保赔偿准备和未到期责任准备金,从历史年度看,由于被评估单位经营稳健,风险控制较好,未发生实际担保损失,经按户分析在保项目情况和代偿产生和原因,及追偿的可能性,预计基准日担保不会出现担保责任损失,以实际承担的义务作为评估值,即该项负债评估为0。 (2)收益法评估情况 本次评估采用收益法得出天康担保股东全部权益价值在评估基准日的评估结果为12,176.61万元,评估增值2,216.73万元,增值率22.26%。 (3)评估结果的差异分析及最终结果的选取 本次评估最终选取资产基础法评估结果作为最终评估结果。收益法评估的股东全部权益价值为12,176.61万元,资产基础法评估的股东全部权益价值为10,958.29万元,两者相差1,218.32万元,收益法比资产基础法高11.12%。两种评估方法结果差异主要原因是:两种评估方法考虑的角度不同,资产基础法是从单项资产的再取得途径考虑的,反映的是企业重建的市场价值;收益法是从企业的未来获利角度考虑的,反映了企业拥有的商誉、品牌、市场和客户资源、人力资源、管理团队、特殊的管理模式和管理方式等无形资产在内的企业整体的综合获利能力。 考虑被评估单位成立时间不长,且其经营业务系为天康控股集团业务提供服务,同时结合本次评估目的和获取的评估资料可靠性分析,采用资产基础法评估结果,更客观、更稳健,因此,本次评估选取资产基础法的评估结果作为本次评估的最终结论,即在评估基准日天康担保股东全部权益价值为10,958.29万元。 4、富桥担保 本次评估分别采用资产基础法、收益法对富桥担保的全部股东权益价值进行了评估。 (1)资产基础法评估情况 本次评估采用资产基础法得出富桥担保股东全部权益价值在评估基准日的评估结果为10,570.96万元,评估增值280.39万元,增值率2.72%。具体评估结果如下: 单位:万元 ■ 富桥担保本次评估增值主要系流动负债评估减少,主要原因系其按照相关规定计提担保赔偿准备和未到期责任准备金,从历史年度看,由于被评估单位经营稳健,风险控制较好,未发生实际担保损失,经按户分析在保项目情况和代偿产生和原因,及追偿的可能性,预计基准日担保不会出现担保责任损失,以实际承担的义务作为评估值,即该项负债评估为0。 (2)收益法评估情况 本次评估采用收益法得出富桥担保股东全部权益价值在评估基准日的评估结果为11,541.94万元,评估增值1,251.37万元,增值率12.16%。 (3)评估结果的差异分析及最终结果的选取 本次评估最终选取资产基础法评估结果作为最终评估结果。收益法评估的股东全部权益价值为11,541.94万元,资产基础法评估的股东全部权益价值为10,570.96万元,两者相差970.98万元,收益法比资产基础法高9.19%。两种评估方法结果差异主要原因是:两种评估方法考虑的角度不同,资产基础法是从单项资产的再取得途径考虑的,反映的是企业重建的市场价值;收益法是从企业的未来获利角度考虑的,反映了企业拥有的商誉、品牌、市场和客户资源、人力资源、管理团队、特殊的管理模式和管理方式等无形资产在内的企业整体的综合获利能力。 考虑被评估单位成立时间不长,且其经营业务系为天康控股集团主业提供服务,同时结合本次评估目的和获取的评估资料可靠性分析,采用资产基础法评估结果,更客观、更稳健,因此,本次评估选取资产基础法的评估结果作为本次评估的最终结论,即在评估基准日富桥担保股东全部权益价值为10,570.96万元。 5、宏展畜牧科技 由于宏展畜牧科技目前为在建工程,在评估基准日,虽然主体工程已经完工,但辅助工程以及种猪引种工程尚未完成,未来工程发生额处于不确定状态,企业也没有可以参考的历史经营数据,不能预测未来年度收益,因此本次评估仅采用资产基础法对其进行评估。 本次评估采用资产基础法得出宏展畜牧科技股东全部权益价值在评估基准日的评估结果为8,084.30万元,评估增值84.30万元,增值率为1.05%;具体评估结果汇总如下: 单位:万元 ■ 宏展畜牧科技本次评估增值主要为在建工程增值,增值原因如下: 本次在建工程评估增值83.41万元,增值率1.56%,评估增值主要原因为一方面部分在建工程价格有变化,另一方面企业部分资金为自有资金,会计核算时未核算自有资金成本,评估时考虑了资金成本。 6、禾泽农业 由于禾泽农业于2013年7月停产,且该公司评估基准日前三年持续亏损,虽然禾泽农业未来拟增加产品种,但其未来生产经营情况处于不确定状态,根据目前情况,难以对该企业未来收益进行预测,因此本次评估仅采用资产基础法对其进行评估。 本次评估采用资产基础法得出禾泽农业股东全部权益价值在评估基准日的评估结果为873.28万元,评估增值619.99万元,增值率为244.77%。具体评估结果汇总如下: ■ 禾泽农业本次评估增值主要为无形资产增值,本次评估的无形资产中土地使用权评估增值额403.16万元,增值率263.77%。增值原因为近年来地价上涨所致。 (五)标的资产评估结果合理性分析 1、标的资产土地使用权评估值的合理性 (1)标的资产土地使用权评估情况 天康控股及其子公司的评估中,涉及单独进行土地使用权评估的企业分别是天康控股、天康食品、天康畜牧科技、天康原种猪、昌吉天康畜牧及禾泽农业,具体评估情况如如下: ■ 根据《城镇土地估价规程》,土地使用权的估价方法有市场比较法、成本逼近法、基准地价系数修正法、收益还原法、剩余法(假设开发法)等,根据各种评估方法的特点及评估师收集的有关资料,结合估价对象的具体条件、用地性质及评估目的,考虑到当地地产市场发育程度,选择适当的估价方法。 本次评估范围内土地使用权主要为设施农用地和工业用地和科研用地,其中设施农用地不需要进行招拍挂程序,没有公开的市场价格;工业用地和科研用地宗地所在区域为成熟的工业区,开发时间较早,近期已无实际工业用地的成交案例,而公开市场能查询到的近期成交案例与委估宗地位置差异较大,不在同一供需圈,故不适合直接采用市场比较法评估;另外,由于待估宗地均不在基准地价覆盖范围内,没有完善的基准地价修正体系,因此不适合选用基准地价系数修正法进行评估;而当地的基础及公用设施齐全,宗地所在区域的土地取得成本及相关税费、土地开发费、利润、税金等能够通过市场调查取得,考虑到待估宗地周围的土地利用类型、土地市场状况、待估宗地状况等,本次评估均选用成本逼近法进行评估。 (2)近期相近区域土地使用权市场价格对比 为了进一步说明近期该区域内土地使用权市场价格变化情况,选取了近期区域内土地使用权挂牌成交案例的情况进行对比。虽然可比交易地块在交通条件、区位条件、基础设施、产业环境等方面与本次评估范围内地块存在较为明显差异,不符合直接使用市场比较法的条件,但作为本次土地评估价格的补充参考资料,也能够基本反映区域范围内土地使用权近期的市场价格情况,作为本次土地评估价格的补充参考资料。具体情况如下: ①乌鲁木齐市新市区交易案例 ■ ②乌鲁木齐市米东区交易案例 ■ ③昌吉州交易案例 ■ 注:评估机构未查阅到昌吉州呼图壁县近期有工业用地挂牌成交的情况。 另外,鉴于标的资产所拥有的土地使用权中地块的规划用途和实际用途主要为设施农用地和工业用途,经查询中国城市地价动态监测网的数据,乌鲁木齐市2014年3季度工业用地和商服用地地价分别上涨0.53%和0.82%。近期土地使用权价格没有出现不利于上市公司的重大价格变化。 综上,本次交易标的资产中土地使用权的价格与近期区域内土地市场交易价格存在差异的原因主要是对比双方在交通条件、区位条件、基础设施、产业环境等方面与本次评估范围内地块存在较为明显差异,不符合直接使用市场比较法的条件。但是对比区域内地块的成交价格的区间范围并结合近期地使用权市场价格走势来看,本次交易对标的资产所拥有的土地使用权的评估符合市场水平,评估值能反映出其公允市场价,具有合理性 2、标的资产存货和生物性资产评估值的合理性 (1)标的资产存货评估值的合理性 截至评估基准日,标的公司存货主要为消耗性生物资产(各成长阶段的生猪)和库存商品(各类猪肉产品),其占公司存货总金额的比重达到96.89%,其余少量存货为采购的饲料、兽药及周转材料等。 标的公司生猪产业链完整,涵盖种猪繁育、生猪养殖及屠宰加工等环节,标的公司生产的生猪除极少部分直接对外销售外、少部分生猪待具备繁育能力后作为种猪转为生产性生物资产,绝大部分屠宰后作为猪肉产品对外销售。根据近期生猪和猪肉价格走势来看,市场价格虽然有所波动,但价格总体较评估基准日有所上涨。 ■ 综上,根据近期生猪市场价格走势来看,虽然市场价格有所波动,但标的公司主要存货(各成长阶段的生猪和各类猪肉产品)的评估值与市场价格不存在显著差异,评估结果合理,不存在需要计提跌价准备的情况。 (2)标的资产生产性生物资产评估的合理性 截至评估基准日,标的公司生产性生物资产均为用于繁育的种猪,包括进口种猪、基础种猪、繁育种猪,其中进口种猪一般为进口的国外优良品种,系曾祖代纯种猪;基础种猪是曾祖代纯种猪繁育的纯种猪,系祖代纯种猪;繁育种猪指两个不同品种纯种猪杂交的种猪,用于继续繁育商品猪,系父母代种猪。生产性生物资产按照3年年限使用,残值率为3%,采用平均年限法计提折旧。标的公司生产性生物资产评估基准日售价与近期市场价格对比情况如下表: ■ 注:进口种猪没有统一的市场价格,种系不同价格也存在差异,但其价格一般程上涨趋势。本次选取标的公司2014年8月份最新引进的纯种猪价格作为可比市场价格。 综上,根据近期种猪市场的价格情况,标的公司生产性生物资产的评估值与市场价格不存在显著差异,评估结果合理,不存在需要计提减值准备的情况。 3、结合标的资产截至目前的盈利预测完成情况说明收益法评估结果是否存在高估的可能 希格玛出具的希会审字2014(1428)号《盈利预测审核报告》中预测利润与截至目前实际数的情况对比: 单位:万元 ■ 注:盈利预测的预测数据中包括上市公司天康生物的利润数。 根据上表,2014年1-10月标的资产实际利润已经达到盈利预测报告预测2014年全年利润的99.67%,基本符合2014年盈利预测的情况,在符合盈利预测的基本假设的情况下,标的资产预计可以实现2014年盈利预测的财务目标。 开元评估出具的开元评报字[2014]120号《评估报告》中收益法评估中的利润预测数(不含天康生物)与截至目前实际数的情况对比: 单位:万元 ■ 注:评估报告中上市公司天康生物采用市场法评估,因此净利润为不含天康生物的数据。 根据上表,2014年1-10月标的资产(不含天康生物)实际利润已经达到评估报告收益法2014年全年预测利润124.81%,在符合评估假设条件的情况下,标的资产预计可以按照《评估报告》中收益法预测的结果实现利润目标。 综上,标的资产截至2014年1-10月的经营状况与盈利预测情况基本一致,2014年预测利润预期可以实现,本次收益法评估的结论合理,不存在高估企业价值的情况。但由于天康控股生猪养殖、生猪屠宰及肉制品加工和销售业务受猪价影响较大,未来价格仍会存在一定的波动,在这种前提下收益法的结果存在一定的不确定性。从稳健的原则出发,结合本次天康生物吸收合并的评估目的,充分考虑维护上市公司及其社会公众股东的利益,本次评估选取资产基础法的评估结果作为本次评估的最终结论。 五、最近三年的资产评估、交易、增资及改制情况 (一)最近三年的资产评估情况 2013年4月,天康控股增资控股引入新的外部投资者中新建招商,为确定股东权益价值,由新疆新新华夏资产评估有限公司对全部资产和负债进行了评估,并出具了“新新华夏评报字(2012)第035号”《新疆天康控股(集团)有限公司拟增资扩股项目涉及股东全部权益价值评估报告》。 此次评估以资产基础法评估结果取值,评估基准日为2012年3月31日。经评估,截至2012年3月31日,天康控股净资产账面价值为33,629.26万元,评估值为108,965.25万元,增值率为224.04%。 单位:万元 ■ 本次交易中,开元评估以2014年5月31日为评估基准日对天康控股100%股权进行了评估,以资产基础法评估结果取值,天康控股100%股权的评估值为183,960.53万元,较其账面净资产36,650.89万元,评估增值147,309.64万元,增值率为401.93%。 本次评估结论与前次评估存在一定的差异,本次评估增值率较高,主要原因在于股东增资、所持天康生物股权价值上升和经营盈利积累等,其中: 1、前次评估后天康控股进行了增资控股,中新建招商和兵团国资公司向天康控股投资21,010.00万元,其中2,801.33万元为新增注册资本,其余计入资本公积; 2、长期股权投资中天康生物股权价值由前次评估的97,265.36万元增长为本次评估的140,217.66万元; 3、最近两年一期天康控股通过经营积累导致净资产增加了15,513.06万元(合并报表口径)。 (二)最近三年的增资、改制及股权转让 最近三年,除2013年增资以外,天康控股未进行过其他增资、改制及股权转让。天康控股的历史沿革情况详见本节之“一/(二)历史沿革”部分的说明。 六、本次交易涉及的其他股东同意的情况 本次吸收合并对象为天康控股,不存在涉及需其他股东同意的情况。对于公司吸收合并天康控股涉及的天康控股其他控股的非全资有限责任公司其他股东的优先受让事宜,已取得所有其他股东放弃优先购买权的同意函。 天康控股参股公司金牧草业的其他2名股东之新疆百商投资集团有限公司已经出具放弃优先购买权的同意函,新疆生产建设兵团农业建设第十师一八七团(以下简称“一八七团”)已经出具同意天康控股转让其所持金牧草业股权的函。 《公司法》第71条第二款规定“股东向股东以外的人转让股权,应当经其他股东过半数同意。”天康控股向天康生物转让金牧草业股权已经获得天康控股外所有金牧草业股东的同意,符合该款规定。 《公司法》第71条第三款规定“经股东同意转让的股权,在同等条件下,其他股东有优先购买权。”根据天康控股出具的声明,截止本报告书签署日,一八七团未就金牧草业35.9%的股权转让向天康控股主张优先购买权。鉴于一八七团未明确出具放弃优先购买权的声明与承诺,其尚有权主张优先购买权。根据天康控股、天康生物出具的声明与承诺,天康控股、天康生物未对一八七团该等权利施加任何限制或构成损害。因此,该等情形符合《公司法》第71条第三款的规定。 根据《吸收合并协议之补充协议》的约定,如金牧草业之股东一八七团依据《公司法》的规定行使优先购买权,则相关股权将转让给一八七团,在此情况下,天康控股向一八七团转让金牧草业股权所获得的对价仍为拟吸收合并资产的一部分,天康控股需将获得的转让对价交付给天康生物,天康生物不会要求天康控股及其股东承担除交付所获转让对价以外的其他任何义务或责任,该等情况下本次吸收合并的交易价格不变。同时,由于金牧草业对应股权在本次交易的评估值和交易作价均为0元,因此无论一八七团最终是否行使优先购买权均不会对本次交易及具体交易价格构成实质性影响。 独立财务顾问认为,本次股权转让已经包括一八七团在内的金牧草业全体其他股东同意,符合《公司法》对有限责任公司股权转让的有关规定。虽然一八七团未放弃对金牧草业股权的优先购买权,但由于金牧草业对应股权在本次交易的评估值和交易作价均为0元,因此无论一八七团最终是否行使优先购买权均不会对本次交易、评估值及具体交易价格构成实质性影响。 中伦律师认为,本次交易未取得一八七团放弃优先购买权的同意函的情形符合《公司法》等法律法规的规定,无论一八七团最终是否行使优先购买权均不会对评估值、本次交易构成实质性影响。 七、交易涉及的债权债务转移 1、天康控股债务转情况 天康控股需要转移的债务分布情况汇总表如下: ■ 2、本次债务转移的过程及合法性 (1)关于债权债务转移涉及的相关法规及约定 依据《合同法》规定,“债务人将合同的义务全部或者部分转移给第三人的,应当经债权人同意。”本次交易完成后,天康控股的全部债务将转由天康生物承继,因此需就该等债务的转移事先取得债权人同意。 依据《公司法》规定,“公司应当自作出合并决议之日起十日内通知债权人,并于三十日内在报纸上公告。债权人自接到通知书之日起三十日内,未接到通知书的自公告之日起四十五日内,可以要求公司清偿债务或者提供相应的担保”。 《吸收合并协议》中已对各方债务处置作出了相应安排:“天康生物、天康控股自各自股东大会/股东会审议通过本协议之日起十日内通知各自债权人,并于三十日内在报纸上公告。如存续方、被吸并方的债权人在法律规定期限内要求作为债务人的相应一方或各方清偿债务或提供相应担保,则相应一方或各方应分别负责清偿或提供相应担保。在前述法定期限内,未能向天康生物或天康控股主张提前清偿或提供担保的债权人的债权将由本次交易完成后的天康生物承担”。 (2)债权债务转移的进展情况 截至2014年5月31日,天康控股的母公司口径债务总额为49,066.38万元。截至本报告书签署日,上述债务中已取得债权人同意债务转移函的债务为47,836.33万元,占债务总额的97.49%;其中已取得了全部金融机构债权人的同意债务转移函。未取得债权人债务转移同意函的债务为1,230.05万元,占债务总额的2.51%,其中应付股利919.56万元已于基准日后完成支付,其余债务主要为应付职工薪酬、应交税费、递延所得税负债等,占比约为0.64%。 截至2014年5月31日,天康生物的母公司口径债务总额为75,529.42万元,其中金融机构借款为15,066.15万元,对下属子公司内部往来款为19,295.96万元,专项应付款(政府项目拨款)10,305.00万元,合计占债务总额的59.14%,其余债务主要为应付账款、预收账款、应付职工薪酬等经营性负债。截至本报告书签署日,天康生物已取得了全部金融机构债权人的同意债务转移函。 2014年10月20日,天康控股和天康生物分别召开各自的股东会/股东大会审议通过本次吸收合并的正式方案。 2014年10月22和23日,天康生物与天康控股已按照相关法律的规定履行了债权人的公告程序,明确各自债权人可以于法定期限内向天康生物和天康控股提出的要求,向各自债权人提前清偿或为其另行提供担保。 截至目前,书面通知时间已超过三十日,报纸公告时间已超过四十五日,天康控股并未收到任何债权人的提前清偿或另行提供相应担保的要求。 (3)债权债务转移的后续安排 本次交易方案获得中国证监会核准后,由天康生物承担与天康控股所涉及的负债相关的一切义务、责任及费用。 综上,本次债务转移的处理符合与债权人的约定和《公司法》等法律法规规定,包括全部金融机构债务在内的绝大部分债务已经取得债权人债务转移同意函,不存在潜在法律纠纷。 3、本次债务转移对上市公司偿债风险的说明 本次交易前,上市公司评估基准日资产负债率为41.55%,天康控股(合并报表)资产负债率为45.19%,与同行业平均水平基本一致,负债水平相对合理。本次交易增加的负债主要为天康控股经营性债务,不存在因本次交易大量增加不合理负债而影响公司财务状况的情况和大幅度增加上市公司偿债风险的情况。本次交易完成,上市公司的资产负债率将有所提升,但资产负债结构仍然处在合理水平,偿债风险较小。 八、交易涉及的职工安置情况 本次交易不涉及职工安置问题。根据天康生物与天康控股及其全部股东签署的《吸收合并协议》和天康控股职工大会决议,本次交易完成后,天康控股在交割日的全体在册员工均将由天康生物全部接受,在册员工、天康控股、天康生物签署劳动合同变更协议。天康控股与其全部员工之前的所有权利和义务,均将自交割日起由天康生物享有和承担。 九、交易标的涉及的重大未决诉讼或仲裁以及行政处罚情况 截至本报告书签署日,天康控股及其控股子公司(天康生物除外)不存在作为被告的重大未决诉讼或者仲裁情形,其作为原告的重大未决诉讼或者仲裁情形如下: 2013年5月,喀什佰佳肉业有限责任公司(后更名为“喀什佰佳生态农业科技有限公司”,以下简称“喀什佰佳”)向建设银行喀什分行申请一年期贷款1,000万元,天康担保对此提供担保服务,同时喀什佰佳以其拥有的土地、厂房、圈舍等资产(根据评估机构出具的评估报告,抵押物评估值合计为2,556.62万元)向天康担保做了抵押进行反担保,并由张琪等8人对天康担保的担保责任提供了不可撤销的连带担保责任。上述贷款到期后,喀什佰佳尚有999.67万元的贷款本金及利息无法偿还,由天康担保向银行代偿了全部债务。 2014年6月,天康担保向乌鲁木齐市中级人民法院提起民事诉讼,请求法院判令喀什佰佳偿还前述代偿款及利息、违约金、逾期保费等共计1,265.85万元,判令被告张琪等8人对前述款项承担连带责任,并请求法院依法判令天康担保有权对喀什佰佳提供抵押的相关资产折价或拍卖、变卖所得价款在前述债权范围内享有优先受偿权。该案件已由乌鲁木齐市中级人民法院立案审理。 2014年6月24日,乌鲁木齐市中级人民法院作出(2014)乌中民二初字第121-2号民事裁定书,并于2014年6月30日作出协助执行通知书,决定冻结喀什佰佳及前述部分连带担保责任人的银行账户并查封其名下6处房产。 综上,上述天康担保未决诉讼系其开展正常担保业务履行代偿义务后向债务人及保证人追偿的行为,天康担保基于上述反担保安排享有抵押担保和保证担保,抵押物评估价值显著高于追偿债权金额,足以保障追偿,因此该未决诉讼不存在妨碍标的资产权属转移的情况,对本次重大资产重组不构成实质性障碍。 除上述诉讼外,天康控股及其控股子公司不存在其他尚未了结的或可预见的重大诉讼、仲裁或行政处罚情况。
第五节 本次发行股份情况 一、本次发行具体方案 本次交易中,天康生物拟通过向天康控股全体股东发行股份的方式吸收合并天康控股。本次吸收合并完成后,天康生物为存续公司,天康控股各股东将按其所持天康控股的股权比例取得对应数量的天康生物本次发行的股份,天康控股的法人资格及其持有的天康生物全部股份将予以注销,其全部资产、负债、业务和人员将由天康生物承继或承接。 本次交易前,天康控股的股权结构如下: ■ 二、本次发行股份的具体情况 本次交易以发行股份方式吸收合并天康控股,拟向兵团国资公司、中新建招商、天邦投资等3名交易对方发行合计192,226,255股。 1、发行种类和面值 本次向特定对象发行的股票为人民币普通股(A 股),每股面值人民币1.00 元。 2、发行方式及发行对象 本次新增股份的发行方式为非公开发行,发行对象为兵团国资公司、中新建招商和天邦投资。 3、发行股份的定价依据、定价基准日和发行价格 根据《重组管理办法》等有关规定,上市公司发行股份购买资产的定价依据为:“上市公司发行股份的价格不得低于本次发行股份购买资产的董事会决议公告日前二十个交易日公司股票交易均价”。交易均价的计算公式为:董事会决议公告日前20个交易日公司股票交易均价=决议公告日前20个交易日公司股票交易总额/ 决议公告日前20个交易日公司股票交易总量。 本次发行股份的定价基准日为天康生物2014年第六次临时董事会会议决议公告日,即2014年8月25日。定价基准日前20个交易日公司股票的交易均价为9.69元/股。2014年5月9日,天康生物2013年年度股东大会审议通过《关于公司2013年度利润分配的预案》的议案,同意以2013年12月31日公司总股本434,159,044股为基数,向全体股东每10股派发人民币现金1.20元(含税)。2014年6月13日,上述利润分配方案除权除息工作实施完毕。 据此,考虑分红调整后,经交易各方协商一致,本次发行股份的价格为9.57元/股。发行价格不低于定价基准日前20个交易日公司股票的交易均价9.69元/股扣除公司2013年年度分红(每10股派发1.20元)后的价格。 在本次发行的定价基准日至发行日期间,上市公司如有派息、送股、资本公积转增股本等除权、除息事项,则同时相应调整股票发行价格。 4、发行数量 根据本次标的资产的作价,天康生物向兵团国资公司、中新建招商、天邦投资等3名交易对方定向发行股数合计为192,226,255股,扣除注销天康控股持有的146,517,930股,本次交易实际新增股份数量约为45,708,325股。本次发行的具体情况如下: ■ 最终发行数量将以中国证监会最终核准的发行数量为准。 在本次发行的定价基准日至发行日期间,上市公司如有派息、送股、资本公积转增股本等除权、除息事项,则同时相应调整股票发行价格,并对股票发行数量作出调整。 5、上市地点 本次交易所发行的股票拟在深圳证券交易所上市。 6、本次发行股份锁定期 交易对方之兵团国资公司承诺通过本次交易取得的上市公司股份自该等股份发行结束之日起36个月内不转让;交易对方之中新建招商、天邦投资承诺通过本次交易取得的上市公司股份自股份发行结束之日起12个月内不转让。之后按中国证监会及深交所的有关规定执行;该等股份若由于天康生物送红股、转增股本等原因而孳息的股份,亦遵照前述锁定期进行锁定。 若交易对方承诺的上述股份锁定期与证券监督管理机构的监管意见不相符,交易对方同意根据相关证券监督管理机构的监管意见进行相应调整。 三、本次发行前后主要财务数据比较 根据希格玛会计师出具的上市公司审计报告以及备考财务报表审计报告,本次发行前后公司主要财务数据比较如下: 单位:万元 ■ 本次交易完成后,上市公司总资产规模、净资产规模、收入规模、归属于母公司股东净利润水平将有明显增加,每股收益和每股净资产略有提升。 (上接B8版) (下转B10版) 本版导读:
发表评论:财苑热评: |



