证券时报网络版郑重声明经证券时报社授权,证券时报网独家全权代理《证券时报》信息登载业务。本页内容未经书面授权许可,不得转载、复制或在非证券时报网所属服务器建立镜像。欲咨询授权事宜请与证券时报网联系 (0755-83501827) 。 |
江苏九九久科技股份有限公司发行股份购买资产并募集配套资金暨关联交易预案 2015-04-21 来源:证券时报网 作者:
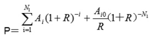
截至2015年2月28日,陕西必康及其子公司已取得房产证的自有房产情况如下: ■ 注:截至本预案签署日,宝鸡必康嘉隆拥有的编号为麟游县房权证2004字第89号的房产证及必康江苏拥有的房产证尚未更名,上述公司正在履行更名手续;陕西必康拥有的编号为山房权证城关镇字第20150007010465号的房产证对应的部分房屋建筑物已经拆除,目前使用面积是4,584.16平方米;陕西必康的全资子公司西安必康目前生产经营所使用的房屋尚未取得房屋所有权证,其原因在于该等房屋所占用的土地尚在办理土地使用权证。根据2011年5月26日西安市国土资源局高新技术企业产业开发区分局出具的《证明》,西安必康目前使用的38.82亩国有土地的国有土地使用权证书正在办理过程中。在取得国有土地使用权证书后,西安必康将及时办理相应的房屋产权证书。 陕西必康控股股东新沂必康和实际控制人李宗松已出具《关于资产权属事项的承诺函》,承诺促使西安必康尽快办理土地证和房产证,宝鸡必康嘉隆和必康江苏履行房产证更名手续。若陕西必康因上述资产权属发生争议或遭受损失,新沂必康和李宗松将承担全部法律责任,并赔偿陕西必康因此遭受的全部损失。 (2)生产设备 截至2015年2月28日,陕西必康及其子公司拥有的主要生产设备(原值在300万以上)情况如下: 单位:万元 ■ 2、无形资产 截至2015年2月28日,陕西必康及其子公司的无形资产主要包括土地使用权、专利权、专有技术、商标、软件和药品批号等,具体情况如下: 单位:万元 ■ (1)土地使用权 截至2015年2月28日,陕西必康及其子公司已取得土地使用权证的自有土地情况如下: ■ 注:截至本预案签署日,宝鸡必康嘉隆拥有的编号为麟国用(2004)字第130号的土地使用权证、必康江苏拥有的编号为新国用(2007)第0066号、新国用(2006)第0944号和新国用(2009)第0839号的土地使用权证、陕西必康拥有的土地使用权证尚未更名,上述公司正在履行更名手续;陕西必康山阳基地二期新建厂房土地权证、西安必康土地权证及必康江苏一处土地权证尚未取得,上述公司正在履行办理手续。 陕西必康控股股东新沂必康和实际控制人李宗松已出具《关于资产权属事项的承诺函》,承诺促使上述公司尽快办理土地使用权证,履行土地使用权证更名手续。若陕西必康因上述资产权属发生争议或遭受损失,新沂必康和李宗松将承担全部法律责任,并赔偿陕西必康因此遭受的全部损失。 (2)专利 截至2015年2月28日,陕西必康及其子公司共取得7项发明专利、11项实用新型专利以及2项外观设计专利。其中,取得的发明专利基本情况如下: ■ (3)商标 截至2015年2月28日,陕西必康及其子公司共拥有132个商标,其中主要商标基本情况如下: ■ ■ (十)经营资质 陕西必康及其子公司拥有与主营业务相关的经营资质,具体情况如下: 1、药品生产许可证 截至本预案签署日,陕西必康及其子公司持有的《药品生产许可证》情况如下: ■ 注:必康心荣的药品生产许可证证载权利人仍为西安交大瑞鑫药业有限公司,截至本预案签署日,必康心荣正在履行更名手续。 2、药品GMP证书 截至本预案签署日,陕西必康及其子公司持有的药品GMP证书情况如下: ■ 注:截至本预案签署日,陕西必康包括片剂、颗粒剂、胶囊剂、注射剂、软膏剂、口服液在内的主要药品生产线已通过新版GMP认证;陕西必康子公司必康心荣和必康江苏GMP证书已过期,正在履行正常的GMP认证更新手续,待GMP验收通过后即可获得新版GMP证书。 截至本预案签署日,必康心荣、西安必康、宝鸡必康嘉隆和陕西必康的药品GMP证书尚未更名。根据陕西省药监局出具的证明,上述未更名的药品GMP证书将于有效期届满并换发GMP证书时进行名称变更,在此之前,原GMP证书有效。 3、药品(再)注册批件情况 截至2015年2月28日,陕西必康及其子公司共持有406个药品(再)注册批件,其中主要产品的药品(再)注册批件基本情况如下: ■ (十一)对外担保情况 截至本预案签署日,标的公司陕西必康存在为江苏方冠国际贸易有限公司在上海浦东发展银行股份有限公司徐州分行开立的银行承兑汇票提供最高额度4,000万元连带责任保证的情形。被担保方方冠国际已向票据开立银行补充存入4,000万元作为相关票据的保证金,保证金到位后,陕西必康承担连带偿还责任的风险已解除。 截至本预案签署日,标的公司不存在影响持续经营的对外担保事项。 (十二)主要负债情况 截至2015年2月28日,陕西必康合并报表口径的负债结构具体情况如下(下述财务数据未经审计): 单位:万元 ■ (十三)重大诉讼、仲裁情况 2015年3月16日,最高人民法院联络工作办公室发出(法联(2015)第164号)函件,说明上海般诺电子科技有限公司(下称“上海般诺”)与陕西必康执行案的有关材料,已转入最高人民法院执行局依法办理。 截至本预案签署日,陕西必康尚未收到最高人民法院发出的任何通知或者执行的决定等法律文书,尚不能确定其具体的执行案由等详细情况。 陕西必康与上海般诺之间并不存在直接的债权债务关系,但上海易融企业发展有限公司曾为陕西必康的借款承担担保责任,其被执行的财产被上海般诺提出执行异议。为避免该案件对陕西必康造成任何不利影响,陕西必康的实际控制人李宗松已经出具承诺,如该案件的最终结果给陕西必康造成任何经济损失的,李宗松将自陕西必康承担相关经济损失之日起30日内以个人财产全额承担,且不会向陕西必康进行追偿。 除此以外,截至本预案签署日,陕西必康及其子公司不存在重大诉讼或仲裁案件。 (十四)本次交易涉及的债权债务转移 本次交易拟购买资产为陕西必康100%股权,不涉及债权债务转移。 (十五)陕西必康董事、监事和高级管理人员 1、董事 陕西必康董事会设7名董事,现任董事基本情况如下: 李宗松,男,1967年6月出生,毕业于中山大学,曾任香港友联投资置业有限公司投资部经理、深圳卓立投资集团业务执行总监、西安萃生企业集团副总裁等职位,现任陕西必康董事长等职务。 香兴福,男,1964年12月出生,毕业于西安交通大学,硕士学历,曾任正大制药集团企管部经理及产品专员、西安萃生企业集团总裁助理及行销中心总经理、东隆集团副总裁等职位,现任陕西必康董事兼总经理等职务。 谷晓嘉,女,加拿大国籍,1971年11月出生,毕业于中山大学,曾任西安京典数码科技发展有限公司总经理,现任陕西必康董事等职务。 屈江浩,男,1965年12月出生,毕业于陕西财经学院,曾任职于兵器工业部电子材料厂(现陕西华电材料总公司)、陕西步长制药有限公司、广州清平制药(集团)公司等单位,现任陕西必康董事兼副总经理、财务负责人等职务。 王成杰,男,1979年5月出生,毕业于中南财经政法大学,曾任职于深圳天健信德会计师事务所、安永华明会计师事务所深圳分所等单位,现任陕西必康董事等职务。 周念松,男,1982年7月出生,毕业于北京大学,硕士学历,曾任天相投资顾问有限公司行业研究员、阳光资产管理股份有限公司医药行业研究员和医药组组长等职位,现任阳光融汇医疗产业投资副总裁、陕西必康董事。 石峰,男,1975年3月出生,毕业于西南大学,硕士学历,曾任山东省煤炭管理局科员,泰安市商业银行资金计划部、财务部、零售业务部经理,华夏人寿风险管理部、金融市场部经理等职位,现任华夏人寿股权部经理、陕西必康董事。 2、监事 陕西必康监事会设3名监事,现任监事基本情况如下: 陈默,女,1985年3月出生,大专学历,曾在北京61416部队服役,曾任职于山阳县公安局、陕西必康财务部等单位,现任陕西必康监事等职务。 刘瑜荣,男,1960年8月出生,毕业于复旦大学,曾任上海宏达房产开发公司职员、深圳粤海科技开发公司部门经理、海南亚美实业公司总经理、江苏省证券公司上海业务部部门经理、上海农凯联合投资有限公司副总经理、上海精诚投资有限公司副总经理等职位,现任深创投成都分公司总经理、陕西必康监事。 秦潇,女,1988年7月出生,高中学历,曾任陕西必康内审专员,现任陕西必康监事等职务。 3、高级管理人员 陕西必康现任高级管理人员基本情况如下: 香兴福,总经理,见董事简历。 何宇东,男,1964年7月出生,大专学历,曾任职于陕西省中医药研究院、西安萃生企业集团、陕西远萃生物医药有限公司、陕西神果药业有限公司、西安康本药业有限公司等单位,现任陕西必康副总经理等职务。 屈江浩,副总经理,见董事简历。 刘玉明,男,1974年10月出生,毕业于西安电子科技大学,曾任职于台湾田氏正德集团、西安萃生企业集团、美国优贤(中国)有限公司等单位,现任陕西必康副总经理等职务。 郭军,男,1968年10月出生,大专学历,曾任职于西安萃生企业集团、西安交大药业集团、西安黄河制药有限公司等单位,现任陕西必康副总经理等职务。 (十六)陕西必康与关联方资金往来情况 报告期内标的公司与关联方之间存在的非经营性资金占用主要为其与李宗松及李宗松的关联方之间的非经营性资金占用,系主要用于李宗松及其控制的企业对非医药类产业的投资。具体情况如下(下述财务数据未经审计): 单位:万元 ■ 截至2015年2月28日,上述李宗松及其关联方对标的公司的非经营性资金占用已全部清偿。 二、本次交易的资产评估情况 截至2015年2月28日,陕西必康未经审计的母公司净资产账面价值为18.90亿元;股东全部权益预估值为70.20亿元,增值为51.30亿元,增值率约为271.43%。 (一)本次评估方法的选择 依据资产评估准则的规定,企业价值评估可以采用收益法、市场法、资产基础法三种方法。 收益法指将企业预期收益资本化或折现,以确定评估对象价值的评估方法。收益法常用的具体方法包括股利折现法和现金流量折现法。 市场法是指将评估对象与参考企业、在市场上已有交易案例的企业、股东权益、证券等权益性资产进行比较以确定评估对象价值的评估方法。市场法常用的两种具体方法是参考企业比较法和并购案例比较法。 资产基础法是指在合理评估企业各项资产价值和负债的基础上确定评估对象价值的评估方法。 根据评估目的、评估对象、价值类型、资料收集情况等相关条件,以及三种评估基本方法的适用条件,本次评估选用的评估方法为:资产基础法、收益法。选择理由如下: 因国内产权交易市场交易信息的获取途径有限,且同类企业在产品结构和主营业务构成方面差异较大,适合市场法的可比交易案例和市场参数较少,故本次评估未采用市场法。 资产基础法从再取得资产的角度反映资产价值,即通过资产的重置成本扣减各种贬值反映资产价值。其前提条件是:第一,被评估资产处于继续使用状态或被假定处于继续使用状态;第二,应当具备可利用的历史资料。本次评估的委估资产具备以上条件。 收益法是从资产的预期获利能力的角度评价资产,能完整体现企业的整体价值,其评估结论通常具有较好的可靠性和说服力。陕西必康近年来抓住行业发展良机,营业收入逐年递增,盈利状况良好;企业管理层能够提供历史经营数据和未来年度的盈利预测数据,且盈利预测与其资产具有较稳定的关系;评估人员经过和企业管理层访谈,以及调研分析认为具备收益法评估的条件。 收益法强调的是企业整体资产的预期盈利能力,收益法的评估结果是企业整体资产预期获利能力的量化与现值化。资产基础法是从资产重置的角度评价资产的公平市场价值,它是从企业的资产现值的角度来确认企业整体价值。收益法在评估过程中不仅考虑了企业账面资产的价值,同时也考虑了企业账面上不存在但对企业未来收益有重大影响的资产或因素,如企业拥有的专利、专有技术、稳定的客户资源、科学的生产经营管理水平、雄厚的产品生产和研发队伍等,在收益法评估过程中,综合考虑了企业各盈利因素,全面反映了整体企业的价值。因此本次评估决定使用收益法评估结果作为交易标的资产的最终评估结果。 (二)收益法评估情况及参数 本次评估所采用收益法,系通过资产在未来预期的净现金流量和采用适宜的折现率折算成现时价值,得出评估价值。其适用的基本条件是:企业具备持续经营的基础和条件,资产经营与收益之间存有较稳定的对应关系,并且未来收益和风险能够预测及可量化。 本次评估采用收益现值法通过对企业整体价值的评估来间接获得股东全部权益价值,由于陕西必康基准日及预测期间无需要付息的债务,故本次收益法评估模型选用权益自由现金流。 企业整体价值=经营性资产价值+溢余资产价值+非经营性资产价值-非经营性负债价值 股东全部权益价值=企业整体价值 根据现场调查结果以及陕西必康的资产构成和经营业务的特点,本次评估的基本思路是以经审计的财务报表为基础估算其价值,首先按照收益途径使用现金流折现方法,估算经营性资产价值,再考虑评估基准日的溢余性资产、非经营性资产或负债价值等,最终求得其股东全部权益价值。 1、经营性资产价值 经营性资产价值按以下公式确定: ■ 式中:P:为经营性资产的评估价值; Ai:为未来第i年的净现金流量; Ai0:为未来第Ni年以后永续等额净现金流量; R:为折现率; (1+R)-i:为第i年的折现系数。 本次评估,使用企业权益自由现金流量作为经营性资产的收益指标,其基本定义为: 企业权益自由现金流量=净利润+折旧及摊销+付息债务的增加-付息债务的减少-资本性支出-净营运资金变动 根据陕西必康的经营历史以及未来市场发展情况等,测算其未来预测期内的企业权益自由现金流量。其次,假定预测期后,陕西必康仍可持续经营一个较长的时期。在这个时期中,其收益保持预测期内最后一年的等额自由现金流量。最后,将两部分的自由现金流量进行折现处理加和,得到经营性资产价值。 折现率的确定 本次评估,根据评估对象的资本结构特点以及所选用的现金流模型等综合因素,采用资本资产定价模型(CAPM)确定折现率R。 权益资本成本计算公式为: Re=Rf+β(Rm–Rf)+Δ 式中:Rf:目前的无风险利率; β:权益的系统风险系数; (Rm–Rf):市场风险溢价; Δ:企业特定风险调整系数。 2、溢余资产价值 溢余资产是指与企业收益无直接关系的,超过企业经营所需的多余资产。主要包括评估基准日超出预测年度经营活动所需要的溢余资产等。溢余资产价值的确定单独分析和评估。 3、非经营性资产、负债价值 非经营性资产、负债价值指与企业收益无直接关系的,不产生效益的资产、负债。非经营性资产、负债价值根据资产、负债的具体情况,单独分析和评估。 (三)评估结果的确定方法及收益法增值原因 对两种评估方法得出的初步结论进行比较、分析,综合考虑不同评估方法和初步价值结论的合理性及使用数据的质量和数量,形成最终评估结果。 资产基础法是从静态的角度确定企业价值,估测资产公平市场价值的角度和途径是间接的,没有考虑企业的未来发展与现金流量的折现值,也没有考虑其他未记入财务报表的因素,如人力资源、营销网络、稳定的客户群等因素,其评估结果反映的是企业基于现有资产的重置价值,一般会使企业价值被低估。 收益法评估是从企业的未来获利能力角度出发,不仅考虑了已列示在企业资产负债表上的所有有形资产、无形资产和负债的价值,同时也考虑了资产负债表上未列示的企业技术以及人力资源、营销网络、稳定的客户群等因素对企业价值的影响,反映了企业各项资产的综合获利能力,对企业未来的预期发展因素产生的影响考虑比较充分。 陕西必康是一家以医药生产为主高新技术企业。陕西必康不仅拥有国内先进的生产技术,还拥有业务网络、核心团队等重要的无形资源。企业整体收益能力是企业所有环境因素和内部条件共同作用的结果,收益法评估的途径能够客观合理地反映陕西必康的市场价值,因此本次评估以收益法评估结果作为价值参考依据,导致本次收益法下的预估值较账面价值增幅较大。 (四)评估增值的合理性 本次交易标的资产截至评估基准日未经审计的母公司净资产账面价值为18.90亿元,预估值为70.20亿元,预估值较母公司净资产账面价值增值51.30亿元,增值率约为271.43%,增值率较高。本次预估值较母公司净资产账面价值增值较多,主要系医药生产企业的经营资质、长期积累的技术优势、人力资源优势、营销网络优势、稳定的客户群体等市场资源优势难以在资产负债表中完全体现所致。本次交易标的资产拟以收益法评估结果作为本次交易的定价参考依据,而收益法下前述市场及经营优势可以通过标的公司未来的预期收益充分体现,因此使收益法预估值与净资产账面价值产生偏离。 评估机构考虑到医药生产行业从原材料采购、生产与检验、产品批签发、产品销售、销售价格均有严格的管理政策规定,标的资产未来预测期间内经营成果具有较好的预测依据和预测基础,且根据标的公司未经审计的历史经营数据,标的资产历史经营业绩稳定增长、盈利状况逐步提升,预期标的公司具备稳定可期的盈利能力,因此采用收益法进行评估是合理可行的。 (五)与同行业可比上市公司市盈率的比较分析 根据中国证监会《上市公司行业分类指引》(2012年修订)的规定,陕西必康所处行业属于医药制造业(分类代码为C27)。同行业可比上市公司的选择主要考虑了如下因素:(1)可比公司所从事的行业或其主营业务为医药制造行业;(2)可比公司至少有两年以上的上市历史且为盈利公司;(3)可比公司只发行A股;(4)可比公司资产规模、经营业绩与标的公司大致相当或相似。基于上述原则选择的同行业可比上市公司情况详见下表: ■ 注1:上述可比公司数据均来源于同花顺iFinD。 本次交易标的资产预估值为70.20亿元,陕西必康2014年未经审计的归属于母公司股东的净利润为48,615.98万元,根据本次预估值计算的标的公司对应2014年的静态市盈率为14.44,同行业可比上市公司的平均市盈率为52.38倍,本次交易市盈率显著低于同行业可比上市公司的平均市盈率水平。以同行业可比上市公司市盈率指标衡量,本次交易标的资产预估值具有合理性。 三、主营业务情况 陕西必康成立于1997年,是集原料药、中成药及化学药品等生产和营销于一体的现代化大型医药企业集团,是国内目前制药行业拥有全剂型、品种数量最多的制药企业之一。根据CFDA南方所《医药经济报》历年颁布的中国制药工业百强榜,陕西必康于2013年位列百强榜的第23位,排名位居国内制药企业前列。2014年陕西必康被陕西省企业家协会评为陕西百强企业。 陕西必康自设立以来,主营业务未发生变化。 (一)陕西必康所属行业基本情况 根据中国证监会《上市公司行业分类指引》(2012年修订)的规定,陕西必康所处行业属于医药制造业(分类代码为C27)。 1、行业主管部门、监管体制及主要法律法规政策 (1)行业主管部门 陕西必康属于医药制造业,相关的主管部门及其主要职能如下表所示: ■ (2)行业监管体制 1)药品生产许可、新药研发制度 依据《中华人民共和国药品管理法(2013修正)》(中华人民共和国主席令第8号)的规定,开办药品生产企业,须经企业所在地省、自治区、直辖市人民政府药品监督管理部门批准并发给《药品生产许可证》,凭《药品生产许可证》到工商行政管理部门办理登记注册。无《药品生产许可证》的,不得生产药品。 研制新药,必须按照国务院药品监督管理部门的规定如实报送研制方法、质量指标、药理及毒理试验结果等有关资料和样品,经国务院药品监督管理部门批准后,方可进行临床试验。完成临床试验并通过审批的新药,由国务院药品监督管理部门批准,发给新药证书。生产新药或者已有国家标准的药品的,须经国务院药品监督管理部门批准,并发给药品批准文号;但是,生产没有实施批准文号管理的中药材和中药饮片除外。药品生产企业在取得药品批准文号后,方可生产该药品。 2)药品生产质量管理制度 依据《中华人民共和国药品管理法(2013修正)》(中华人民共和国主席令第8号)的规定,药品生产企业必须按照国务院药品监督管理部门依据本法制定的《药品生产质量管理规范》组织生产。药品监督管理部门按照规定对药品生产企业是否符合《药品生产质量管理规范》的要求进行认证;对认证合格的,发给认证证书。 《药品生产质量管理规范》(GMP)是药品生产和质量管理的基本准则。我国于1988年第一次颁布药品GMP,并于1992年和1998年进行了两次修订。2011年1月,卫生部(现国家卫生和计划生育委员会)发布了《药品生产质量管理规范(2010年修订)》(新版GMP)。新版GMP对药品生产企业的全面质量管理体系建设、从业人员素质、操作规程、药品安全保障、质量风险控制等方面进行了更为严格和细化的规定,对药品生产企业的生产设施及生产环境等提出了更为严格的要求。新版GMP提高了我国药品生产企业的准入门槛,有利于促进医药行业资源向优势企业集中,促进产业升级。 新版GMP自2011年3月1日起施行。自2011年3月1日起,新建药品生产企业、药品生产企业新建(改、扩建)车间应符合新版GMP的要求。现有药品生产企业给予不超过5年的过渡期,并依据产品风险程度,按类别分阶段达到新版药品GMP的要求。对于血液制品、疫苗、注射剂等无菌药品的药品生产企业(车间),应在2013年12月31日前达到新版GMP的规范要求,其他类别药品的生产应在2015年12月31日前达到新版GMP的规范要求,否则上述规定期限后不得继续生产药品。 3)药品委托生产管理制度 根据《药品委托生产监督管理规定》(国家食品药品监督管理总局公告2014第36号)的规定,对符合一定条件的境内药品生产企业,经有权的各省、自治区、直辖市食品药品监督管理局批准,允许前述境内药品生产企业之间委托生产药品。其目的是可以充分利用现有生产条件,减少重复投资和建设,有利于优化资源配置,促进医药产业的结构调整。 4)药品注册管理制度 根据《药品注册管理办法》(国家食品药品监督管理局令第28号)的规定,药品注册是指国家食品药品监督管理局根据药品注册申请人的申请,依照法定程序,对拟上市销售药品的安全性、有效性、质量可控性等进行审查,并决定是否同意其申请的审批过程。药品注册申请包括新药申请、仿制药申请、进口药品申请及其补充申请和再注册申请。 ① 新药申请:指未曾在中国境内上市销售的药品的注册申请。对已上市药品改变剂型、改变给药途径、增加新适应症的药品注册按照新药申请的程序申报; ② 仿制药申请:指生产国家食品药品监督管理局已批准上市的已有国家标准的药品的注册申请;但是生物制品按照新药申请的程序申报; ③ 进口药品申请:指境外生产的药品在中国境内上市销售的注册申请; ④ 补充申请:指新药申请、仿制药申请或者进口药品申请经批准后,改变、增加或者取消原批准事项或者内容的注册申请; ⑤ 再注册申请:指药品批准证明文件有效期满后申请人拟继续生产或者进口该药品的注册申请。 5)药品生产标准管理制度 我国药品质量标准是指国家为保证药品质量所制定的质量指南、检验方法以及生产工艺等技术要求,包括《中华人民共和国药典》、药品注册标准和其它药品标准。国务院药品监督管理部门组织药典委员会,负责国家药品标准的制定和修订。 6)处方药和非处方药分类管理制度 为保障人民用药安全有效、使用方便,我国制定了《处方药与非处方药分类管理办法》(试行)(国家药品监督管理局令第10号局长令),根据药品品种、规格、适应症、剂量及给药途径不同,对药品分别按处方药与非处方药进行管理。 处方药就是必须凭执业医师或执业助理医师处方才可调配、购买和使用的药品;非处方药(OTC药)是指为方便公众用药,在保证用药安全的前提下,经国家卫生行政部门规定或审定后,不需要医师或其它医疗专业人员开写处方即可购买的药品,一般公众凭自我判断,按照药品标签及使用说明就可自行使用。 7)国家基本药物制度 根据国务院于2009年3月印发的《关于深化医药卫生体制改革的意见》和《医药卫生体制改革近期重点实施方案(2009-2011年)的通知》,国家卫生部等9部门于2009年8月18日颁布了《关于建立国家基本药物制度的实施意见》(以下简称“《实施意见》”),正式启动国家基本药物制度建设工作。根据《实施意见》,基本药物是适应基本医疗卫生需求,剂型适宜,价格合理,能够保障供应,公众可公平获得的药品。政府举办的基层医疗卫生机构全部配备和使用基本药物,其他各类医疗机构也都必须按规定使用基本药物。纳入基本药物的药品具有如下主要特点:①国家发展改革委制定基本药物全国零售指导价格,实行基本药物制度的县(市、区),政府举办的基层医疗卫生机构配备使用的基本药物实行零差率销售;②政府举办的基层医疗卫生机构全部配备和使用国家基本药物,其他各类医疗机构也要将基本药物作为首选药物并达到一定使用比例;③基本药物全部纳入基本医疗保障药品报销目录,报销比例明显高于非基本药物。 为配合基本药物制度的建设工作,原国家卫生部(现国家卫生和计划生育委员会)于2009年制定并颁布了《国家基本药物目录(基层医疗卫生机构配备使用部分)》(2009版)。2013年3月13日,原国家卫生部颁布了《国家基本药物目录》(2012年版),国家基本药物品种从2009版的307种增加至520种,进一步加强了基本药物的推广工作。 8)药品价格管理制度 根据国家发改委于2000年颁布的《关于改革药品价格管理的意见》,我国药品价格实行政府定价和市场调节价。实行政府定价的药品,仅限于列入国家基本医疗保险药品目录的药品及其他生产经营具有垄断性的少量特殊药品(包括国家计划生产供应的精神、麻醉、预防免疫、计划生育等药品),具体价格参照发改委颁布的《药品政府定价办法》制定。但依据《关于单独定价药品价格制定有关问题的通知》的规定,企业生产经营列入政府定价范围的药品,因其产品有效性和安全性明显优于或治疗周期和治疗费用明显低于其它企业同种药品、且不适宜按《药品政府定价办法》规定的一般性比价关系定价的,可以申请单独定价。政府定价以外的其他药品,实行市场调节价,取消流通差率控制,由经营者自主定价。 根据《医疗机构药品集中招标采购试点工作若干规定》、《进一步规范医疗机构药品集中采购工作的意见》、《医疗机构药品集中采购工作规范》等文件的规定,县及县以上医疗机构参照价格主管部门公布的最高零售价格和市场实际购销价格进行药品集中招标采购。医疗机构药品集中采购工作,要以省(区、市)为单位组织开展。药品集中招标采购中,中标药品零售价格的核定,实行以中标价为基础顺加规定流通差价率的作价方法。属于政府定价范围的药品,中标零售价格不得超过价格主管部门制定公布的最高零售价格。 2014年11月,发改委下发了《推进药品价格改革方案(征求意见稿)》,根据改革方案,发改委计划继续保留低价药物、一类精神、麻精药物的定价权,其他药品定价全部放开,医保基金支付的药品由医保部门会同有关部门主导;专利药、独家药品等价格由多方参与的谈判机制形成;医保目录外的血液制品、国家统一采购的预防免疫药品和避孕药具,则通过招标采购或谈判形成市场交易价格。 (3)行业主要法律法规及政策 我国医药行业的主要法律法规及政策详见下表: ■ 近年来我国发布的主要产业政策文件及主要内容简述如下: 1)《关于深化医药卫生体制改革的意见》 2009年3月17日,中共中央、国务院下发《关于深化医药卫生体制改革的意见》(中发[2009]6号),该意见指出为使改革尽快取得成效,落实医疗卫生服务的公益性质,着力保障广大群众看病就医的基本需求,2009-2011年着力抓好五项重点改革:①加快推进基本医疗保障制度建设,基本医疗保障制度全面覆盖城乡居民,城乡医疗救助制度覆盖到全国所有困难家庭,完善医疗保障管理体制机制,有效减轻城乡居民个人医药费用负担;②初步建立国家基本药物制度,建立比较完整的基本药物遴选、生产供应、使用和医疗保险报销的体系,合理确定基本药物的价格,保证群众基本用药的可及性、安全性和有效性,减轻群众基本用药费用负担;③健全基层医疗卫生服务体系,加快农村三级医疗卫生服务网络和城市社区卫生服务机构建设,用3年时间建成比较完善的基层医疗卫生服务体系;④促进基本公共卫生服务逐步均等化,从2009年起,逐步向城乡居民统一提供疾病预防控制、妇幼保健、健康教育等基本公共卫生服务,逐步缩小城乡居民基本公共卫生服务差距,力争让群众少生病;⑤推进公立医院改革试点,推进公立医院补偿机制改革,加大政府投入,完善公立医院经济补偿政策,逐步解决“以药补医”问题。加快形成多元化办医格局,鼓励民营资本举办非营利性医院。 2)《药品生产质量管理规范(2010年修订)》 2011年年初,我国药品主管部门先后制定并下发了《药品生产质量管理规范(2010年修订)》、《关于贯彻实施<药品生产质量管理规范(2010年修订)>的通知》等通知文件,通知要求:自2011年3月1日起,凡新建药品生产企业、药品生产企业新建(改、扩建)车间均应符合《药品生产质量管理规范(2010年修订)》的要求。现有药品生产企业血液制品、疫苗、注射剂等无菌药品的生产,应在2013年12月31日前达到《药品生产质量管理规范(2010年修订)》要求。其他类别药品的生产均应在2015年12月31日前达到《药品生产质量管理规范(2010年修订)》要求。未达到《药品生产质量管理规范(2010年修订)》要求的企业(车间),在上述规定期限后不得继续生产药品。标志着我国新版GMP政策正式出台。 3)《医药工业“十二五”发展规划》 2012年1月19日,中华人民共和国工业和信息化部发布了《医药工业“十二五”发展规划》,其在回顾了“十一五”发展成果的基础上,对2011年至2015年我国的医药工业提出新的发展任务,主要包括: ① 增强新药创制能力,坚持原始创新、集成创新和引进消化吸收再创新相结合,在恶性肿瘤、心脑血管疾病、神经退行性疾病、糖尿病、感染性疾病等重大疾病领域,呼吸系统、消化系统等多发性疾病领域,罕见病和儿童用药领域,加快推进创新药物开发和产业化; ② 提升药品质量安全水平,全面实施新版GMP,显著提升我国药品质量管理整体水平。鼓励有条件的企业开展发达国家或WHO的GMP认证,带动我国药品质量管理与国际接轨。不断提高质量标准,健全以《中国药典》为核心的国家药品标准体系,继续推进药品标准提高行动计划,重点提高基本药物、中药、民族药、高风险品种、药用辅料和包装材料的质量标准; ③ 鼓励中西部地区发展特色医药产业。发挥中西部地区能源、原材料丰富和比较成本低的优势,加强中药、民族药资源保护和开发利用,依托医药骨干企业,建设特色医药产品生产基地。鼓励中西部地区因地制宜,积极承接东部地区产业转移。 4)《关于印发深化医药卫生体制改革2014年重点工作任务的通知》 2014年5月13日,国务院办公厅下发了《深化医药卫生体制改革2014年重点工作任务》,进一步强调要求巩固完善我国基本药物制度,全面实施《国家基本药物目录》(2012年版),严格规范地方增补药品。政府办的基层医疗卫生机构全部配备使用基本药物,提高二、三级医院基本药物使用比例。完善政策措施,有序推进村卫生室和非政府办基层医疗卫生机构逐步实行基本药物制度。进一步稳固基本药物集中采购机制,把是否通过《药品生产质量管理规范(2010年修订)》(GMP)认证作为质量评价的重要指标。 2、医药行业发展概况 (1)全球医药行业发展概况 随着世界各国经济的发展、人口总量的增长和社会老龄化程度的提高,全球医疗支出不断增加,药品需求呈上升趋势,带动全球医药市场近年来仍呈稳定增长态势。根据专业医药调研咨询机构IMS Health公司的统计,2011年至2013年,全球药品销售规模分别为8,800亿美元、9,240亿美元和9,619亿美元,2012年和2013年较上年分别增长5.00%和4.10%。据法国权威经济类日报《回声报》网站(www.lesechos.fr)2015年3月披露数据的显示,2014年全球药品销售规模已超过1万亿美元,较2013年增长8.8%。 近年来,以中国、巴西、印度等国家为代表的新兴市场增长强劲。根据CFDA南方所统计与分析,2005年以中国为代表的新兴市场占全球药品销售规模比例仅为12%,该比例在2011年上升至18%,而同时期中国药品销售规模占全球比例从6.4%上升至14.7%。预计到2015年,新兴市场占全球药品销售规模比例将达到28%,中国所占比例将达到24.7%。据《回声报》网站披露的预测数据,2015年至2018年全球药品销售规模年增长率将为4-7%,而中国、巴西和印度等新兴市场年增长率将可达10-11%,以中国为代表的新兴市场仍将维持快速发展。 ■ 基于上述预测数据,2015年全球药物销售规模预计仍将保持1万亿美元以上,占据其中近四分之一份额的中国医药市场药物销售规模预期将达到2,500亿美元左右,市场规模巨大。 (2)我国医药行业发展概况 1)医疗体制改革带来我国医药行业发展机遇 改革开放以来,我国国内生产总值快速增长,人民生活水平不断提高,公民健康意识和医疗需求不断增强,我国医药行业越来越受到公众和政府的关注。同时,我国老龄人口快速增加。根据国家统计局公布的《2014年国民经济和社会发展统计公报》,截至2014年底我国60周岁以上老年人口已达2.12亿人,占总人口的比重达到15.50%,人口规模扩大及老龄化的加剧促进我国医药行业整体需求不断扩大。 2009年以来,我国政府大力推进医疗卫生体制改革,推动医疗行业健康发展。2009年1月,国务院下发《关于深化医疗卫生体制改革的意见》和《2009-2011年深化医疗卫生体制改革实施方案》,提出建设覆盖城乡居民的公共卫生服务体系、医疗服务体系、医疗保障体系、药品供应保障体系,形成四位一体的基本医疗卫生制度,到2020年基本建立覆盖城乡居民的基本医疗卫生制度。强调建立国家基本药物制度,规范药品生产流通,改革药品价格机制,完善医药产业发展政策和行业发展规划,加强药品监管,推动医药企业提高自主创新能力,优化升级医药产业结构。 “十二五”规划纲要同样明确提出,深化医药卫生体制改革,健全覆盖城乡居民的基本医疗保障体系,建立和完善以国家基本药物制度为基础的药品供应保障体系。 2011年3月1日,新版GMP开始实行,该规范提高了制药企业硬件要求,强化管理要求,同时新设风险管理等制度,促使我国制药企业提高生产质量和竞争力,力争与国际接轨。新版GMP的实施使大批生产技术落后、规模较小的制药企业被市场淘汰,进而使我国医药产业集中度提升,推动了医药产业的结构调整。 综上所述,随着近年来医疗卫生体制改革的不断深化以及行业规范的进一步趋严,我国制药行业已逐步成熟,整体市场具有巨大的发展空间。 2)我国医药行业及其主要子行业的发展概况 在医疗卫生体制改革和行业规范要求提高的背景下,近年来,我国药品制造行业持续发展,形成了以化学制药为主导,中成药制药和生物制药为重要组成部分的行业结构。2009年至2013年,我国医药工业(包括化学原料药、化学药品制剂、生物制剂、医疗器械、卫生材料、中成药、中药饮片)总产值由9,947亿元增长至22,297亿元,复合增长率达22.36%。2009年至2013年医药工业总产值及变化趋势详见下图: ■ 数据来源:CFDA南方所“中国医药经济运行分析系统” 从医药行业相关子行业的构成情况来看,化学制药与中成药制药是我国医药行业的主要子行业,据统计,2013年我国化学制药(包括化学制剂和化学原料药)与中成药制药的总产值分别为9,885亿元与5,242亿元,占同期医药工业总产值的比重分别为44.33%与23.51%,合计占比可达67.84%。2009年至2013年我国医药行业各子行业总产值具体情况详见下图: ■ 数据来源:Wind资讯 依据上图,2009年以来我国医药行业各主要子行业整体保持增长趋势,发展态势良好。 ① 我国化学制药行业发展概况 化学制药行业占我国医药行业总产值的比例近50%,是其最重要的组成部分。近年来,随着医疗卫生体制改革的推进、国家基本药物目录的建立和发展,行业规范性不断增强,产业集中度逐渐提高。 根据Wind资讯数据统计,2011年至2013年,我国化学制药(包括化学原料药和化学制剂)行业产值分别为7,214亿元、8,631亿元与9,885亿元,占我国医药行业总产值分别为46.17%、45.98%和44.33%。 根据Wind资讯数据统计,2009年至2014年,我国化学制药企业实现的主营业务收入由4,242.37亿元增涨至10,544.06亿元,利润总额由421.92亿元增涨至1,045.74亿元。2009年至2014年主营业务收入年复合增长率为16.39%,利润总额年复合增长率为16.33%。近年来我国化学制药企业收入及利润变化情况详见下图: ■ 数据来源:Wind资讯 总体而言,近年来我国化学制药行业及相关制药企业发展态势良好。 ② 我国中成药制药行业发展概况 《国家中长期科学和技术发展规划纲要(2006-2020年)》提出推动“中医药传承与创新发展”的重点任务,《中医药创新发展规划纲要(2006-2020)》进一步落实了中医药发展的具体战略和措施,中成药制药行业迎来了快速发展机遇。 根据Wind资讯数据统计,2011年至2013年,我国中成药制药行业产值分别为3,522亿元、4,253亿元和5,242亿元,占我国医药行业总产值分别为22.54%、22.66%和23.51%,中成药的市场规模及占比不断扩大。 根据Wind资讯数据统计,2009年至2014年,我国中成药制药企业实现的主营业务收入由2,129.69亿元增涨至7,302.09亿元,利润总额由210.24亿元增涨至703.18亿元,2009年至2014年主营业务收入年复合增长率为22.80%,利润总额年复合增长率为22.29%,我国中成药制药行业整体呈快速增长态势。近年来我国中成药制药企业收入及利润变化情况详见下图: ■ 数据来源:Wind资讯 3、进入本行业的主要壁垒 医药制造行业是高风险、高投入的行业。进入本行业需要巨额的资本投入,要求企业具备较高的管理水平及人才储备。医药制造行业的进入壁垒主要体现在以下几个方面: (1)政策性壁垒 我国医药行业属于特许经营行业,医药行业的各运营环节均受到国家相关主管部门的严格管制。《中华人民共和国药品管理法(2013修正)》明确规定,开办药品生产企业,须经企业所在地省、自治区、直辖市人民政府药品监督管理部门批准并发给《药品生产许可证》,凭《药品生产许可证》到工商行政管理部门办理登记注册。无《药品生产许可证》的,不得生产药品。因此,医药制造行业存在着较高的行业准入门槛。除此之外,医药制造企业还需要符合《药品生产质量管理规范》(GMP)的相关规定。2011年,我国发布了新版GMP规范,据统计,截至2013年末,我国未通过新版GMP的无菌药品生产企业就有500多家,占企业总数的近40%,因此对行业内企业严格的管理规范也为医药制造行业构筑了较高的准入壁垒。 综上所述,我国医药行业严格的监管体系在客观上构成了本行业的政策性壁垒。 (2)人才壁垒 随着我国医药工业现代化的进程,医药行业对人才素质要求日益提高,无论从新产品研发和注册,质量标准制定,生产现场管理,供应链管理,还是市场研究,市场策略制定和执行,销售管理等方面,都需要有经过专业教育,同时为应对我国不断深化的医疗改革及制药相关法规、标准的不断更新,又需要行业从业人员保持长期的学习热情和较强的学习能力,因此医药行业新进入者必须要有合格适量的人力资源储备,这也构成了新进入者的人才壁垒。 (3)资金壁垒 经过多年的发展,医药行业已成为技术密集型、资金密集型与规模效益性产业,其具有高技术、高风险、高投入的特点。医药制造行业的资金壁垒主要体现在:① 药品的研究开发、临床试验、生产包装到最终销售,均需要投入大量的时间、资金、人才、设备等资源;② 随着我国医药产业现代化的进程,医药产业对技术装备水平及管理规范均提出了更高的要求,尤其是自2011年新版GMP出台后,我国多数医药制造企业需要投入千万规模的资金以改建现有车间厂房以满足新版GMP规范的要求,若无法按时完成厂房的改建或新建,将无法继续从事医药制造业务;③ 市场培育及营销网络的建设需要大规模的初始投资,并且投资风险较大。综上所述,缺乏较大规模的资金支撑以及先进的管理水平,将难以在我国日益激烈的医药市场竞争中立足; (4)品牌壁垒 医药产业中产品的差异通常表现在药品适应症、药品质量、药品包装、药品外形、药品疗效及售后服务上,它使同一产业内不同企业的产品减少了可替代性,使顾客对某一药品产生忠诚度,形成品牌基础。此外,药品服用者尤其是中成药服用者用药习惯一般比较稳定,对使用中的品牌忠诚度较高,在顾客对现有品牌已经产生偏好的情况下,新建的医药企业为了改变消费者的选择习惯,获取客户信任并建立其对新建企业品牌的忠诚,必须付出巨额的营销费用,并且需要经历较长的品牌培育期。因此,买方“先入为主”的观念和现有制药企业创立的“先发优势”往往使行业新进入支付高昂代价,这高昂代价即构成了医药行业的品牌壁垒。 (5)规模经济壁垒 现代医药行业规模经济较为显著,企业的平均生产成本随着生产规模的扩大而下降,因此现有医药制造企业相比新进入企业在生产成本方面拥有一定的规模经济优势。此外,由于行业已有企业经过一定时期的经营运作,与上下游之间已建立了良好的合作关系,在原辅料采购、分销渠道、药品使用单位与零售终端合作等方面均具备新进入者短期无法取得的成本优势。此外,现有医药企业可依托其品牌优势、资产规模、经营业绩等要素,能够以较低的代价筹措到所需的资金。 相比之下,行业新进入者将面临两难选择,或者初始进行大规模投资,达到规模经济,与现有企业进行市场份额争夺,但需承担较高的经营风险;或者为避免过高的经营风险而控制初始投入,在规模经济以下生产,但将在市场竞争中处于成本劣势地位。 (二)陕西必康主要产品及用途 陕西必康医药产品系列齐全,产品覆盖面广,其中有266个药品品种进入国家医保目录,有7个药品品种未进入国家医保目录,但进入了省级医保目录,另有近20个独家产品,主要产品类型以片剂、颗粒剂、胶囊及口服液为主。目前陕西必康营业收入主要以中成药产品为主,注重在心脑血管类、儿科类、清热解毒类、风湿关节类、消化代谢类、眼科类等核心治疗领域的推广。 考虑到陕西必康产品系列丰富,种类众多,因此我们选取了报告期内近三年任一年收入占当年营业收入比重超过5%或任一年收入超过8,000万元的产品作为标的公司的主要产品。报告期内,陕西必康按产品类型细分的营业收入明细及主要产品收入情况详见下表(未经审计): 本版导读:
发表评论:财苑热评: |








