证券时报网络版郑重声明经证券时报社授权,证券时报网独家全权代理《证券时报》信息登载业务。本页内容未经书面授权许可,不得转载、复制或在非证券时报网所属服务器建立镜像。欲咨询授权事宜请与证券时报网联系 (0755-83501827) 。 |
包头北方创业股份有限公司对上海证券交易所《关于对包头北方创业股份有限公司发行股份及支付现金购买资产并募集配套资金预案的审核意见函》之回复报告公告 2015-11-14 来源:证券时报网 作者:
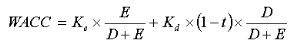
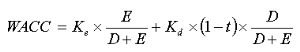
(上接B10版) 综上,本次交易拟注入的一机集团主要经营性资产及负债及北方机械100%股权静态市盈率(2014年)、动态市盈率及市净率均低于可比上市公司的平均值和中位数,预估及作价情况总体合理。 3、石油天然气设备与服务行业标的与同行业上市公司估值的比较结果 本次交易拟注入的山西风雷钻具、秦皇岛风雷钻具主要从事石油钻具生产、服务业务,与国内同行业主要A股可比上市公司静态市盈率(2014年)、上市公司动态市盈率及市净率指标比较如下: ■ 注1:平均值计算剔除负值、超过200的异常值。 注2:市盈率、市净率指标,取本次重大资产重组停牌前120个交易日的均值。(1)可比上市公司静态市盈率(2014年)=(本次重组停牌前120个交易日的交易额/交易量*总股本)÷2014年度归属母公司所有者的净利润,可比上市公司动态市盈率=(本次重组停牌前120个交易日的交易额/交易量*总股本)÷(2015年上半年归属母公司所有者的净利润+2014年下半年归属母公司所有者的净利润);(2)可比上市公司市净率=(本次重组停牌前120个交易日的交易额/交易量*总股本)÷2015年6月30日归属于母公司所有者权益;(3)标的资产静态市盈率(2014年)=2015年6月30日预估值÷2014年度归属母公司所有者的净利润,标的资产动态市盈率=2015年6月30日预估值÷(2015年上半年归属母公司所有者的净利润+2014年下半年归属母公司所有者的净利润);(4)标的资产市净率=2015年6月30日预估值÷2015年6月30日归属于母公司所有者权益。 山西风雷钻具100%股权的预估定价为32,038.21万元,2014年度,2014年下半年和2015年上半年净利润分别为571.96万元、894.05万元和-1,646.48万元,对应的静态市盈率倍数(2014年)和动态市盈率倍数为56.02倍和-42.58倍。截至2015年6月30日所有者权益合计为 24,305.51 万元,对应的市净率为1.32倍。 秦皇岛风雷钻具100%股权的预估定价为4,452.00万元,2014年度,2014年下半年和2015年上半年净利润分别为74.81万元、344.2万元和21.79万元,对应的静态市盈率倍数(2014年)和动态市盈率倍数为59.51倍和12.16倍。截至2015年6月30日所有者权益合计为 4,151.53万元,对应的市净率为1.07倍。 综上,本次交易拟注入的山西风雷钻具100%股权、秦皇岛风雷钻具100%股权2014年静态市盈率略高于可比上市公司的平均值和中位数,市净率低于可比上市公司的平均值和中位数,秦皇岛风雷钻具100%股权动态市盈率低于可比上市公司的平均值和中位数;2015年上半年由于山西风雷钻具业绩下滑较大,出现-1,646.48万元亏损,主要由于石油行业出现较为明显的行业周期及市场竞争加剧导致产品销量、售价下滑。2015年下半年,山西风雷钻具整体经营状况出现好转,根据山西风雷钻具提供的未经审计财务数据,2015年1-10月山西风雷钻具净利润为-504万元,亏损幅度大幅收窄。考虑上述因素影响,且本次预估系采用资产基础法评估结果,从市净率来看,相关标的资产预估及作价情况总体合理。 二、补充披露情况 上述相关内容已在修订后的重组预案“第五章 标的资产预估作价及定价公允性”之“四、标的资产预估值情况与可比公司比较”中补充披露。 三、中介机构核查意见 1、独立财务顾问核查意见 经核查,独立财务顾问认为,与行业上市公司可比估值相比,本次交易拟注入标的预估及作价情况总体合理。 2、评估师核查意见 经核查,评估师认为,与行业上市公司可比估值相比,本次交易拟注入标的预估及作价情况总体合理。 12、预案披露,本次交易采用资产基础法和收益法两种方法对标的资产进行预估。请补充披露采用收益法进行预估时的具体过程及结果,并结合上述信息,分析说明对所有标的资产采用资产基础法进行预估的公允性。请财务顾问和评估师发表意见。 答复: 一、标的资产收益法进行预估时的具体过程、结果以及采用资产基础法结果进行预估的公允性 1、本次重组对标的资产预估值所采用收益法进行预估的具体过程及结果 本次重组中对标的资产收益法评估采用现金流量折现法,选取的现金流量口径为企业自由现金流,通过对企业整体价值的评估来间接获得股东全部权益价值。 评估模型:本次评估选用的是现金流量折现法,将企业自由现金流量作为企业预期收益的量化指标,并使用与之匹配的加权平均资本成本模型(WACC)计算折现率。 ■ ■ (1)一机集团主要经营性资产及负债收益法预估的主要测算过程 A、营业收入预测 一机集团本次拟纳入重组范围的资产和业务主要生产履带式装甲车辆及轮式装甲车辆以及相关零部件,其拥有国家级的企业技术中心和院士工作站,形成军民品整机和核心零部件的设计开发、工艺研究、计量检测、试验能力和以车辆传动、悬挂、动辅、大型精密结构件加工和整机装配等为核心的一整套综合机械制造能力。其所处的防务装备市场具有如下特点:军方仍是其唯一的最终客户;供应商具备先入优势;军方采购决策谨慎;军品采购具备持续性、平稳性。 综合上述因素,本次测算对于一机集团主要经营性资产及负债已形成的生产规模为基础,参照国家国防装备的未来发展方向所需及军工行业市场的特点。综合确定一机集团主要经营性资产及负债涉及的履带式装甲车辆和轮式装甲车辆的销售收入。对于相关产品的销售价格以一机集团历史年度订货合同为基础,综合考虑未来年度的物价水平变动影响进行测算。 B、营业成本预测 一机集团本次拟纳入重组范围的产品营业成本主要是直接材料费用、直接人工费用、燃料动力、专用费用、废品损失以及间接费用等构成。因产品的品种较多,且生产工艺复杂(因工序需要,产品在某一生产车间多次往复加工),对于职工薪酬、福利费、社会保险费,按现有员工人数、依据当地工资水平结合企业实际薪酬水平、薪酬计划进行测算;并按历史年度各产品中直接人工费所占比例在各类型产品中分配。燃料动力以历史年度一机集团主要经营性资产及负债涉及的燃料动力的总消耗量为基础,考虑产量变动及物价水平变动的影响综合确定。并按历史年度各类型产品中燃料动力所占比例进行分配。专用费用、废品损失以历史年度各类型产品中所占比例进行测算。考虑到军品的订货特点,且军方指定的材料在材料成本中占比较大,本次评估未考虑原材料市场价格变动的对成本的影响。 固定资产折旧,按企业现有的固定资产规模、计提折旧政策测算未来年度的固定资产折旧金额。 对于制造费用中的修理费、办公费、机物料消耗、保险费、试验检验费、设计制图费等其他辅助费用,以历史年度的数据为基础并考虑物价水平变动影响综合确定。 C、营业税金及附加预测 一机集团本次拟纳入重组范围的资产和业务主要从事军品生产,仅有少量的民品零部件加工业务,按现有税收政策,军品流通环节不交纳增值税;其所承担的税费主要是民品业务的增值税、城建税、教育费附加、地方教育费附加等。考虑企业发生的营业税金及附加的税金与企业营业收入有较强的相关性,估算企业预测期营业税金及附加评估师以预测年度民品业务收入及与之相关的消耗材料费用为基础,对预测期民品业务承担的增值税项进行测算,进而测算营业税金及附加金额。 D、营业费用预测 对未来收益期营业费用估算,评估师参考有一机集团的历史数据,剔除业务经费等偶然发生项目的影响,并结合一机集团所处地域环境等自身特有因素,对一机集团主要经营性资产及负债未来收益期的营业费用进行测算。 E、管理费用预测 评估师对企业2012至2015年1-6月管理费用项目发生明细进行分类,将其分为工资相关费用、税金相关费用、管理(生产)相关费用和其他项目费用,对不同分类下费用项采用不同的处理方式进行测算。 工资相关费用参照一机集团相关职工人数及平均工资费用,结合2012至2015年1-6月工资的增长水平的变动确定工资费用预测期增长比例,对预测期工资费用金额进行测算;并依据一机集团社会及包头地区社会保险缴费标准,以及相关财务制度规定进而计算预测期与工资相关费用的发生额。 税金相关费用按照一机集团历史年度税金的内容,考虑历史年度发生水平为基础,计算预测期该项费用金额。 管理相关费用考虑费用项目发生性质采用不同的方式处理,如折旧费、无形资产摊销费用等,该项费用的估算以现有固定资产及无形资产数量、发生金额为基础,考虑企业实际情况进行估算。 企业其它费用结合2012年-2015年1-6月的发生金额为基础,考虑相关历史年度增长率进行估算。 F、财务费用预测 企业的财务费用主要是银行存款产生的利息。结合企业历史年度的存款情况及收入,综合测算企业的财务费用。 G、营业外收支预测 企业的营业外收支为偶然性发生,且没有延续性。所有本次评估不对营业外收支进行预测。 H、所得税预测 依据国家现行的税收政策,以一机集团主要经营性资产及负债未来收益期内应纳税所得额及目前执行的所得税税率,综合测算未来收益期一机集团主要经营性资产及负债的所得税费用。 I、折旧预测与摊销 对于非现金性支出折旧、摊销费予以调整增加现金流入,折旧包括成本归集中的折旧、营业费用中的折旧和管理费用中的折旧,摊销主要是无形资产摊销,通过汇总计算折旧、摊销调整增加额。按企业现有固定资产、无形资产账面金额计算固定资产折旧金额。 J、营运资金预测 营运资金增加指企业在不改变当前主营业务条件下,为保持企业的持续经营能力所需的营运资金增加额,如维持正常生产经营所需保持的现金量、产品存货购置所需资金量、客户应付而未付的业务款项(应收账款)等所需的资金以及应付的款项等。 通常在经营过程中估算营运资金的增加额,原则上只需考虑正常经营所必须保持的现金、应收款项、存货和应付款项等主要因素。 K、资本性支出预测 评估基准日,除企业有明确证据表明其未来将进行的投资项目外,假设预测期企业不发生影响其业务结构变动的资本性支出。 L、折现率确定 (A)折现率模型的选取 折现率选取加权平均资本成本(WACC),计算公式如下: ■ (B)无风险收益率的选取 国债收益率通常被认为是无风险的,因为持有该债权到期不能兑付的风险很小,可以忽略不计。根据WIND资讯系统所披露的信息,10年期国债在评估基准日的到期年收益率为3.60%,本评估报告以3.60%作为无风险收益率。 (C)权益系统风险系数的计算 被评估单位的权益系统风险系数计算公式如下: ■ 根据被评估单位的业务特点,评估人员通过WIND资讯系统查询了11家沪深A股可比上市公司2015年6月30日的βL值(距评估基准日最近100周;计算周期:周;收益率计算方法:对数收益率;标的指数:上证综合指数),然后根据可比上市公司的所得税率、资本结构换算成βU值。在计算资本结构时D、E按市场价值确定。将计算出来的βU取平均值0.8698作为被评估单位的βU值 (D)市场风险溢价的计算 由于国内证券市场是一个新兴而且相对封闭的市场。一方面,历史数据较短,并且在市场建立的前几年中投机气氛较浓,市场波动幅度很大;另一方面,目前国内对资本项目下的外汇流动仍实行较严格的管制,再加上国内市场股权割裂的特有属性,因此,直接通过历史数据得出的股权风险溢价不具有可信度;而在成熟市场中,由于有较长的历史数据,市场总体的股权风险溢价可以直接通过分析历史数据得到;因此国际上新兴市场的风险溢价通常采用美国成熟市场的风险溢价进行调整确定,计算公式为: 中国市场风险溢价=美国股票市场风险溢价+中国股票市场违约贴息 在美国股票市场风险溢价和中国股票市场违约贴息数据的基础上,计算得到评估基准日中国市场风险溢价为6.16%。 (E)企业特定风险调整系数的确定 本次评估中的个别风险报酬率确定为2% (F)折现率计算结果 被评估单位的加权平均资本成本10.72%。 M、其他资产和负债价值的估算及分析过程 (A)溢余资产主要为货币资金,经估算基准日溢余货币资金金额为7.78亿元。 (B)非经营性资产 一机集团主要经营性资产及负债的非经营性资产为主要为在建工程、递延所得税资产、其他流动资产以及其他非流动资产、专项应付款。经计算非经营资产总计7.49亿元。 (C)长期股权投资 长期股权投资评估结果为1.56亿元。 N、付息债务 评估基准日一机集团主要经营性资产及负债付息债务金额为3.45亿元。 O、股东全部权益价值 经过上述测算过程,一机集团主要经营性资产及负债的股东全部权益价值预估值为68.2亿元。 P、选取资产基础法作为评估结果的理由 本次采用了资产基础法和收益法两种方法同时进行了评估。一机集团作为一家重资产配置的军工企业,主营业务产品系军用产品。其产品主要为满足国防安全需求,产品市场以计划机制为主导因而不同于一般商品市场,市场竞争不完全且非公开,市场的需求也源自国防安全需求,其生产和销售的数量在很大程度上受到国家国防发展战略目标的影响。其主要客户也并不是纯粹意义上的市场经营主体,具有市场的局限性。客户要求的订货数量、品种、时间等均不属于市场调节的范围。综上原因,在缺乏客观存在的公开市场行业水平作为参照的情况下,收益法评估结果难以客观反映被评估企业实际价值。资产基础法从资产重置的角度反映资产的公平市场价值,结合本次评估情况,被评估单位详细提供了其资产负债相关资料、评估师也从外部收集到满足资产基础法所需的资料,评估师对被评估单位资产及负债进行全面的清查和评估,经分析,认为资产基础法评估结果较收益法评估结果更符合本次经济行为对应评估对象的价值内涵,因此本次评估以资产基础法的评估结果作为最终评估结论。 (2)北方机械收益法预估的主要测算过程 A、营业收入预测 北方机械主要研制制造军用中口径火炮,以及相关零部件,间或承揽生产少量的民品零部件。形成军民品整机和核心零部件的设计开发、工艺研究、计量检测、试验能力和以大型精密结构件加工和整机装配等为核心的一整套综合机械制造能力。防务装备市场具有如下特点:军方仍是其唯一的最终客户;供应商具备先入优势;军方采购决策谨慎;军品采购具备持续性、平稳性。 综合上述因素,本次测算对于北方机械已形成的生产规模为基础,参照国家国防装备的未来发展方向所需及军工行业市场的特点。综合确定北方机械主要产品销售收入。对于相关产品的销售价格以北方机械历史年度订货合同为基础,综合考虑未来年度的物价水平变动影响进行测算。 B、营业成本预测 北方机械的产品营业成本主要是直接材料费用、直接人工费用、燃料动力、专用费用、废品损失以及间接费用-制造费用等构成。因产品间不是独立的生产系统,且因工序需要,产品在某一生产车间需多次往复加工,鉴于此对于职工薪酬、福利费、社会保险费,按现有员工人数、依据当地工资水平结合企业实际薪酬水平、薪酬计划进行测算;并按历史年度各产品中直接人工费所占比例在各类型产品中分配。燃料动力以历史年度北方机械燃料动力的总消耗量为基础,考虑产量变动及物价水平变动的影响综合确定。并按历史年度各类型产品中燃料动力所占比例进行分配。专用费用、废品损失以历史年度各类型产品中所占比例进行测算。 固定资产折旧,按企业现有的固定资产规模、计提折旧政策测算未来年度的固定资产折旧金额。 对于制造费用中的修理费、办公费、机物料消耗、保险费、试验检验费、设计制图费等其他辅助费用,以历史年度的数据为基础并考虑物价水平变动影响综合确定。 C、营业税金及附加预测 北方机械以军品生产为主,仅承揽少量的民品零部件加工业务,按现有税收政策,军品流通环节不交纳增值税;其所承担的税费主要是民品业务的增值税、城建税、教育费附加、地方教育费附加等。考虑企业发生的营业税金及附加的税金与企业营业收入有较强的相关性,估算企业预测期营业税金及附加评估师以预测年度民品业务收入及与之相关的消耗材料费用为基础,对预测期民品业务承担的增值税项进行测算,进而测算营业税金及附加金额。 D、营业费用预测 对未来收益期营业费用估算,评估师参考有北方机械的历史数据,剔除业务经费等偶然发生项目的影响,并结合北方机械所处地域环境等自身特有因素,对未来收益期的营业费用进行测算。 E、管理费用预测 对北方机械2012至2015年1-6月管理费用项目发生明细进行分类,将其分为工资相关费用、税金相关费用、管理(生产)相关费用和其他项目费用,对不同分类下费用项采用不同的处理方式进行测算。 工资相关费用在测算预测期工资费用的基础上,参照北方机械职工人数及平均工资费用,结合2012至2015年1-6月工资的增长水平的变动确定工资费用预测期增长比例,对预测期工资费用金额进行测算;并依据北方机械所在山西地区社会保险费缴费标准,以及相关财务制度规定进而计算预测期与工资相关费用的发生额。 税金相关费用按照北方机械历史年度税金的内容,考虑历史年度发生水平为基础,计算预测期该项费用金额。 管理相关费用考虑费用项目发生性质采用不同的方式处理,如折旧费、无形资产摊销费用等,该项费用的估算以现有固定资产及无形资产数量、发生金额为基础,考虑企业实际情况进行估算。 企业其它费用结合2012年-2015年1-6月的发生金额为基础,考虑相关历史年度增长率进行估算。 F、财务费用预测 企业的财务费用主要是银行存款产生的利息。结合企业历史年度的存款情况及收入,综合测算企业的财务费用。 G、营业外收支预测 经核实,企业的营业外收支为偶然性发生,且没有延续性。所有本次评估不对营业外收支进行预测。 H、所得税预测 依据国家现行的税收政策,以北方机械未来收益期内应纳税所得额及目前执行的所得税税率,综合测算未来收益期北方机械的所得税费用。 I、折旧预测与摊销 对于非现金性支出折旧、摊销费予以调整增加现金流入,折旧包括成本归集中的折旧、营业费用中的折旧和管理费用中的折旧,摊销主要是无形资产摊销,通过汇总计算折旧、摊销调整增加额。因企业尚未进行竣工决算,其固定资产账面金额为由在建工程账面值并简单归集费用后按比例分摊到各项资产形成,企业无法提供各项资产的详实工程量及其构成情况,评估人员无法判断是否存在未付的工程款项。因此本次评估按企业现有固定资产账面暂估金额计算固定资产折旧金额。 J、营运资金预测 营运资金增加指企业在不改变当前主营业务条件下,为保持企业的持续经营能力所需的营运资金增加额,如维持正常生产经营所需保持的现金量、产品存货购置所需资金量、客户应付而未付的业务款项(应收账款)等所需的资金以及应付的款项等。 通常在经营过程中估算营运资金的增加额,原则上只需考虑正常经营所必须保持的现金、应收款项、存货和应付款项等主要因素。 K、资本性支出预测 评估基准日,除企业有明确证据表明其未来将进行的投资项目外,假设预测期企业不发生影响其业务结构变动的资本性支出。 评估师以维持其现有业务结构和业务生产能力为基础测算,以当期的折旧汇总为基础确定企业资本性支出金额,维持企业评估基准日的经营规模。 L、折现率确定 (A)折现率模型的选取 折现率选取加权平均资本成本(WACC),计算公式如下: ■ (B)无风险收益率的选取 国债收益率通常被认为是无风险的,因为持有该债权到期不能兑付的风险很小,可以忽略不计。根据WIND资讯系统所披露的信息,10年期国债在评估基准日的到期年收益率为3.60%,本评估报告以3.60%作为无风险收益率。 (C)权益系统风险系数的计算 被评估单位的权益系统风险系数计算公式如下: ■ 根据被评估单位的业务特点,评估人员通过WIND资讯系统查询了11家沪深A股可比上市公司2015年6月30日的βL值(距评估基准日最近100周;计算周期:周;收益率计算方法:对数收益率;标的指数:上证综合指数),然后根据可比上市公司的所得税率、资本结构换算成βU值。在计算资本结构时D、E按市场价值确定。将计算出来的βU取平均值0.8698作为被评估单位的βU值 (D)市场风险溢价的计算 由于国内证券市场是一个新兴而且相对封闭的市场。一方面,历史数据较短,并且在市场建立的前几年中投机气氛较浓,市场波动幅度很大;另一方面,目前国内对资本项目下的外汇流动仍实行较严格的管制,再加上国内市场股权割裂的特有属性,因此,直接通过历史数据得出的股权风险溢价不具有可信度;而在成熟市场中,由于有较长的历史数据,市场总体的股权风险溢价可以直接通过分析历史数据得到;因此国际上新兴市场的风险溢价通常采用美国成熟市场的风险溢价进行调整确定,计算公式为: 中国市场风险溢价=美国股票市场风险溢价+中国股票市场违约贴息 在美国股票市场风险溢价和中国股票市场违约贴息数据的基础上,计算得到评估基准日中国市场风险溢价为6.16%。 (E)企业特定风险调整系数的确定 本次评估中的个别风险报酬率确定为2% (F)折现率计算结果 被评估单位的加权平均资本成本9.70%。 M、其他资产和负债价值的估算及分析过程 (A)经估算基准日不存在溢余货币资金等溢余资产。 (B)非经营性资产 北方机械的非经营性资产为主要为在建工程、递延所得税资产、其他流动资产以及其他非流动资产、专项应付款。经计算非经营资产总计0.24亿元。 (C)长期股权投资 北方机械无长期股权投资,E=0。 N、付息债务 评估基准日北方机械付息债务金额为0.77亿元。 O、股东全部权益价值 经过上述测算过程,北方机械的股东全部权益价值预估值为4.1亿元。 P、选取资产基础法作为评估结果的理由 本次采用了资产基础法和收益法两种方法同时进行了评估。北方机械作为一家重资产配置的军工企业,主营业务产品系军用产品。其产品主要为满足国防安全需求,产品市场以计划机制为主导因而不同于一般商品市场,市场竞争不完全且非公开,市场的需求也源自国防安全需求,其生产和销售的数量在很大程度上受到国家国防发展战略目标的影响。其主要客户也并不是纯粹意义上的市场经营主体,具有市场的局限性。客户要求的订货数量、品种、时间等均不属于市场调节的范围。综上原因,在缺乏客观存在的公开市场行业水平作为参照的情况下,收益法评估结果难以客观反映被评估企业实际价值。资产基础法从资产重置的角度反映资产的公平市场价值,结合本次评估情况,被评估单位详细提供了其资产负债相关资料、评估师也从外部收集到满足资产基础法所需的资料,评估师对被评估单位资产及负债进行全面的清查和评估,经分析,认为资产基础法评估结果较收益法评估结果更符合本次经济行为对应评估对象的价值内涵,因此本次评估以资产基础法的评估结果作为最终评估结论。 (3)山西风雷钻具收益法预估的测算过程 A、营业收入预测 山西风雷钻具营业收入主要为石油钻杆、石油钻铤及螺杆钻具的销售收入,其销售分为国内销售及国外销售。 其业务收入依赖于其客户—石油生产企业的勘探、开发费用预算及设备更新情况。国内用户主要客户为中石油、中石化和中海油,通过“三大油”集中招标形式开展业务。招标入围后,根据其下属油田、钻探公司的需求签订合同。 国际市场上,石油钻具的发展紧紧围绕原油开采的形势发展。受到国际经济、政治的双重因素的影响。当前世界经济增速呈现总体缓慢、区域不平衡的特点,导致石油需求增长缓慢,预计短期内的需求与最近几年的需求相当。依据上述分析,对山西风雷钻具未来收入进行测算。 B、营业成本预测 山西风雷钻具的营业成本主要是外购材料、外购动力、职工薪酬、折旧费以及办公费、运输费、差旅费等其他费用。 外购材料主要为钢材。目前国内经济增速放缓已成定局,整体经济环境处于低位运行,固定资产投资连续下降,基础建设、制造业、房地产等钢铁消费行业的投资需求全面下行,下游的汽车、家电、船舶等行业短期内增长有限,实体经济将延续去产能的过程。因此预计未来几年钢铁需求量应不会乐观于今年,价格难以出现大幅上涨。与此同时,自2011年起,钢铁价格持续走低,截至2015年6月25日,钢铁价格指数几乎达到历史最低水平。因此,综合考虑,预计期内钢铁价格不会出现大幅度变动。 职工薪酬及福利费按现有员工人数、依据当地工资水平结合企业实际薪酬水平、薪酬计划进行测算。 固定资产折旧按企业现有的固定资产规模、计提折旧政策测算未来年度的固定资产折旧金额。 企业其它费用以历史年度发生金额为基础,保持历史年度水平不变进行估算。 C、营业税金及附加预测 山西风雷钻具属通用设备制造业,其所承担的税费主要是城建税、教育费附加、地方教育费附加等。考虑企业发生的营业税金及附加的税金与企业营业收入有较强的相关性,估算企业预测期营业税金及附加评估师考虑企业历史年度营业税金及附加与营业收入的比例的发生水平,对预测期营业税金及附加进行测算。 D、营业费用预测 对于营业费用的估算,考虑费用支出时间的因素影响,对未来收益期营业费用的估算,评估师区别不同的费用项目采用不同的估算方法进行计算。营业费用项目主要分为工资相关费用、广告营销费用和其它费用,对于工资相关费用的预测,在测算预测期工资费用的基础上,参考企业历史年度职工人数及平均工资费用,结合历史年度工资的增长水平的变动确定工资费用预测期增长比例,对预测期工资费用金额进行测算,进而计算预测期工资相关费用发生额。企业其它费用以历史年度发生金额为基础,保持历史年度水平不变进行估算。 E、管理费用预测 评估师对企业2013至2015年6月30日管理费用项目发生明细进行分类,将其分为工资相关费用、税金相关费用、管理(生产)相关费用和其他项目费用,对不同分类下费用项采用不同的处理方式进行测算。 工资相关费用在测算预测期工资费用的基础上,参考企业历史年度职工人数及平均工资费用,结合历史年度工资的增长水平的变动确定工资费用预测期增长比例,对预测期工资费用金额进行测算,进而计算预测期工资相关费用发生额。 税金相关费用按照山西风雷钻具历史年度税金的内容,考虑历史年度发生水平为基础,计算预测期该项费用金额。 管理相关费用考虑费用项目发生性质采用不同的方式处理,如折旧费、无形资产摊销费用等,该项费用的估算以2015年6月30日金额为基础,考虑企业实际情况进行估算。 企业其它费用以历史年度发生金额为基础,保持历史年度水平不变进行估算。 F、财务费用预测 企业的财务费用主要是利息收入、借款的利息支出以及银行手续费。结合企业历史年度的情况及收入,综合测算企业的财务费用。 G、营业外收支预测 经核实,企业的营业外收支为偶然性发生,且没有延续性。所有本次评估不对营业外收支进行预测。 H、所得税预测 依据国家现行的税收政策,以山西风雷钻具未来收益期内应纳税所得额及目前执行的所得税税率,综合测算未来收益期林东矿业的所得税费用。 I、折旧预测与摊销 对于非现金性支出折旧、摊销费予以调整增加现金流入,折旧包括成本归集中的折旧、营业费用中的折旧和管理费用中的折旧,摊销主要是无形资产摊销,通过汇总计算折旧、摊销调整增加额。 J、营运资金预测 营运资金增加指企业在不改变当前主营业务条件下,为保持企业的持续经营能力所需的营运资金增加额,如维持正常生产经营所需保持的现金量、产品存货购置所需资金量、客户应付而未付的业务款项(应收账款)等所需的资金以及应付的款项等。 通常在经营过程中估算营运资金的增加额,原则上只需考虑正常经营所必须保持的现金、应收款项、存货和应付款项等主要因素。 K、资本性支出预测 评估基准日,除企业有明确证据表明其未来将进行的投资项目外,假设预测期企业不发生影响其业务结构变动的资本性支出。 评估师以维持其现有业务结构和业务生产能力为基础测算,以当期的折旧汇总为基础确定企业资本性支出金额,维持企业评估基准日的经营规模。 L、折现率确定 (A)折现率模型的选取 折现率选取加权平均资本成本(WACC),计算公式如下: ■ (B)无风险收益率的选取 国债收益率通常被认为是无风险的,因为持有该债权到期不能兑付的风险很小,可以忽略不计。根据WIND资讯系统所披露的信息,10年期国债在评估基准日的到期年收益率为3.60%,本评估报告以3.60%作为无风险收益率。 (C)权益系统风险系数的计算 被评估单位的权益系统风险系数计算公式如下: ■ 根据被评估单位的业务特点,评估人员通过WIND资讯系统查询了4家沪深A股可比上市公司2015年6月30日的βL值(距评估基准日最近100周;计算周期:周;收益率计算方法:对数收益率;标的指数:上证综合指数),然后根据可比上市公司的所得税率、资本结构换算成βU值。在计算资本结构时D、E按市场价值确定。将计算出来的βU取平均值0.4208作为被评估单位的βU值 (D)市场风险溢价的计算 由于国内证券市场是一个新兴而且相对封闭的市场。一方面,历史数据较短,并且在市场建立的前几年中投机气氛较浓,市场波动幅度很大;另一方面,目前国内对资本项目下的外汇流动仍实行较严格的管制,再加上国内市场股权割裂的特有属性,因此,直接通过历史数据得出的股权风险溢价不具有可信度;而在成熟市场中,由于有较长的历史数据,市场总体的股权风险溢价可以直接通过分析历史数据得到;因此国际上新兴市场的风险溢价通常采用美国成熟市场的风险溢价进行调整确定,计算公式为: 中国市场风险溢价=美国股票市场风险溢价+中国股票市场违约贴息 在美国股票市场风险溢价和中国股票市场违约贴息数据的基础上,计算得到评估基准日中国市场风险溢价为6.16%。 (E)企业特定风险调整系数的确定 本次评估中的个别风险报酬率确定为2% (F)折现率计算结果 被评估单位的加权平均资本成本6.86%。 M、其他资产和负债价值的估算及分析过程 (A)经估算基准日不存在溢余货币资金等溢余资产。 (B)非经营性资产 山西风雷钻具的非经营性资产为主要为在建工程、递延所得税资产、其他流动资产。经计算非经营资产总计0.28亿元。 (C)长期股权投资 企业无长期股权投资,E=0。 N、付息债务 评估基准日山西风雷钻具付息债务金额为3.2亿元。 O、股东全部权益价值 经过上述测算过程,山西风雷钻具的股东全部权益价值预估值为3.0亿元。 P、选取资产基础法作为评估结果的理由 采用了资产基础法和收益法两种方法同时进行了评估。由于资产基础法从资产重置的角度反映了资产的公平市场价值,结合本次评估情况,被评估单位详细提供了其资产负债相关资料、评估师也从外部收集到满足资产基础法所需的资料,评估师对被评估单位资产及负债进行了全面的清查和评估,因此相对而言,资产基础法评估结果较为可靠。故本次评估以资产基础法的评估结果作为最终评估结论。 (4)秦皇岛钻具评估方法选择的说明 资产基础法是以资产负债表为基础,合理评估企业表内及表外各项资产、负债价值,确定评估对象价值的评估方法,结合本次评估情况,被评估单位可以提供、评估师也可以从外部收集到满足资产基础法所需的资料,可以对被评估单位资产及负债展开全面的清查和评估,因此对于秦皇岛风雷钻具100%股权的本次评估适用资产基础法。 收益法的基础是经济学的预期效用理论,企业的价值在于预期企业未来所能够产生的收益。秦皇岛风雷钻具于2012年停产,并将其全部生产厂房及大部分设备租赁给大地石油使用,大部分设备已经转移。自2013年至评估基准日,秦皇岛风雷钻具未进行任何与其主营业务相关的生产经营活动,其主要收入来源为厂房和设备的租金。同时,评估人员未取得任何有关企业未来经营方向的有效信息及可靠资料。因此,评估人员认为被评估单位未来产品定位、发展方向尚不明确,因此评估师未采用收益法对秦皇岛风雷钻具100%股权进行评估。 由于我国目前市场化、信息化程度尚不高,可比上市公司与评估对象的相似程度较难准确量化和修正,因此市场法评估结果的准确性较难准确考量,而且市场法基于基准日资本市场的时点影响进行估值而未考虑市场周期性波动的影响,因此评估师未采用市场法对秦皇岛风雷钻具100%股权进行评估。 二、补充披露情况 上述相关内容已在修订后的重组预案“第五章 标的资产预估作价及定价公允性”之“三、标的资产预估值分析”中补充披露。 三、中介机构核查意见 1、独立财务顾问核查意见 经核查,独立财务顾问认为,上市公司已在修订后的重组预案中补充披露了对标的资产采用收益法进行预估时的具体过程及结果,经过对比收益法结果分析发现,对标的资产采用资产基础法进行预估的结果较为公允。 2、评估机构核查意见 经核查,评估师认为,上市公司已在修订后的重组预案中补充披露了对标的资产采用收益法进行预估时的具体过程及结果,经过对比收益法结果分析发现,对标的资产采用资产基础法进行预估的结果较为公允。 13、预案披露,公司将中航黑豹、北方导航、光电股份、四创电子等公司作为地面兵装行业可比上市公司。请结合上述公司的主业情况,补充披露选取上述公司作为同行业比较标的的依据和合理性,同时另行选取地面兵装行业的其他可比公司进行同行业对比。请财务顾问和评估师发表意见。 答复: 一、选取中航黑豹、北方导航、光电股份、四创电子作为同行业比较标的的依据和合理性 选取中航黑豹、北方导航、光电股份、四创电子作为同行业比较标的依据是申银万国行业分类标准,申银万国行业分类的二级行业--地面兵装行业包含上述四个公司。 根据《申银万国行业分类标准(2014版)》,申银万国行业分类标准是面向投资管理的行业分类标准,在应用此标准划分上市公司行业归属时遵循上市公司股票的行业属性,划入能反映行业表现特性的相应类别。上市公司收入与利润的行业来源结构是划分行业分类时考虑的最重要指标,同时结合市场看法与投资习惯、公司未来发展规划、控股公司背景等进行综合评判。 申银万国行业分类标准是目前资本市场上比较通用的分类标准,可以反映公司的行业属性以及市场看法,因此选择该类标准下的比较标的具有一定合理性。 二、另行选取地面兵装行业的其他可比公司进行同行业的对比结果 结合标的资产的主营业务情况,另行选取了威海广泰、航天晨光、晋西车轴以及北方股份作为标的资产同行业可比公司,静态市盈率(2014年)、上市公司动态市盈率及市净率指标比较如下: ■ 资料来源:Wind资讯 注1:平均值计算剔除负值、超过500的异常值。 注2:可比公司统计口径选择申银万国国防军工类中地面兵装行业对标企业,并根据标的资产实际军品主营业务情况选取了威海广泰、航天晨光、晋西车轴及北方股份作为对标企业。 注3:市盈率、市净率指标,取本次重大资产重组停牌前120个交易日的均值。(1)可比上市公司静态市盈率(2014年)=(本次重组停牌前120个交易日的交易额/交易量*总股本)÷2014年度归属母公司所有者的净利润,可比上市公司动态市盈率=(本次重组停牌前120个交易日的交易额/交易量*总股本)÷(2015年上半年归属母公司所有者的净利润+2014年下半年归属母公司所有者的净利润);(2)可比上市公司市净率=(本次重组停牌前120个交易日的交易额/交易量*总股本)÷2015年6月30日归属于母公司所有者权益;(3)标的资产静态市盈率(2014年)=2015年6月30日预估值÷2014年度归属母公司所有者的净利润,标的资产动态市盈率=2015年6月30日预估值÷(2015年上半年归属母公司所有者的净利润+2014年下半年归属母公司所有者的净利润);(4)标的资产市净率=2015年6月30日预估值÷2015年6月30日归属于母公司所有者权益。 综合而言,本次交易拟注入的一机集团主要经营性资产及负债及北方机械100%股权静态市盈率(2014年)、动态市盈率及市净率均低于新增四家可比上市公司后的平均值和中位数,预估及作价情况总体合理。 二、补充披露情况 上述相关内容已在修订后的重组预案“第五章 标的资产预估作价及定价公允性”之“四、标的资产预估值情况与可比公司比较”之“(一)地面兵装行业标的资产预估值与同行业上市公司比较”中补充披露。 三、中介机构核查意见 1、独立财务顾问核查意见 经核查,独立财务顾问认为,可比公司的选取科学合理,预估及作价情况总体合理。 2、评估师核查意见 经核查,评估师认为,可比公司的选取科学合理,预估及作价情况总体合理。 四、关于本次交易的相关安排 14、预案披露,原北方机械分立后,对于分立基准日之前北方机械的债务,由存续北方机械和山西北方机电科技有限公司按照资产划分情况分别承担。请公司补充披露该安排是否已按照《公司法》第一百七十七条的规定取得原北方机械债权人书面同意,如未取得,请提示标的公司承担连带责任的风险,并说明后续解决方案。请财务顾问和律师发表意见。 答复: 一、关于北方机械分立债务安排所导致的风险以及后续解决方案 截至本回复报告签署日,原北方机械分立工作尚未完成。对于分立基准日之前北方机械的债务,由存续北方机械和山西北方机电科技有限公司按照资产划分情况分别承担;对于分立基准日之后新产生的债权,由存续北方机械和山西北方机电科技有限公司按照资产划分范围分别享有。 根据现行《公司法》的规定,“公司分立前的债务由分立后的公司承担连带责任。但是,公司在分立前与债权人就债务清偿达成的书面协议另有约定的除外。”北方机械在做出分立决议后,已开始与山西北方机电科技有限公司承担债务的债权人签订书面协议进行约定。该书面协议约定,按照“负债随业务和资产走”,协议中约定双方确认的债务由北方机械分立后新设公司(山西北方机电科技有限公司)承担清偿责任,北方机械不承担连带清偿责任;双方未确认的债务由北方机械继续承担清偿责任,分立后新设公司(山西北方机电科技有限公司)不承担清偿责任。 北方机械的唯一股东北方机械控股已出具承诺:“在北方机械分立过程中,若存在北方机械分立后拟由山西北方机电科技有限公司承担的债务不能取得债权人的同意由山西北方机电科技有限公司单独承担清偿责任的,北方机械控股将对该等债务承担连带清偿责任,保证分立后的北方机械不会因该等债务遭受损失。北方机械分立完成后,若因北方机械分立中拟由山西北方机电科技有限公司承担的债务给上市公司造成任何损失的,本公司将及时给予上市公司足额现金补偿。” 综上,北方机械分立债务安排不违反《公司法》的相关规定。根据《公司法》的规定,对于未取得债权人书面同意由山西北方机电科技有限公司承担的债务,标的公司即分立后的北方机械具有承担连带责任的法律风险。目前北方机械正就解除连带责任事宜与债权人沟通,并已取得部分债权人同意。此外,北方机械控股已承诺,对于不能获取债权人同意解除连带责任对应部分的债务,由北方机械控股承担连带清偿责任,保证分立后的北方机械不会因该等债务遭受损失。 二、补充披露情况 上述相关内容已在修订后的重组预案“重大风险提示”之“六、标的资产债务转移的风险”、“第四章 标的资产基本情况”之“二、北方机械100%股权”之“(一)北方机械基本情况”以及“第九章 风险因素”之“六、标的资产债务转移的风险”中补充披露。 三、中介机构核查意见 1、独立财务顾问核查意见 经核查,独立财务顾问认为,北方机械分立债务安排不违反《公司法》的相关规定。根据《公司法》的规定,对于未取得债权人书面同意由山西北方机电科技有限公司承担的债务,标的公司即分立后的北方机械具有承担连带责任的法律风险。目前北方机械正就解除连带责任事宜与债权人沟通,并已取得部分债权人同意。此外,北方机械控股已承诺,对于不能获取债权人同意解除连带责任对应部分的债务,由北方机械控股承担连带清偿责任,保证分立后的北方机械不会因该等债务遭受损失。 2、律师核查意见 经核查,律师认为,北方机械分立债务安排不违反《公司法》的相关规定。根据《公司法》的规定,对于未取得债权人书面同意由山西北方机电科技有限公司承担的债务,标的公司即分立后的北方机械具有承担连带责任的法律风险。目前北方机械正就解除连带责任事宜与债权人沟通,并已取得部分债权人同意。此外,北方机械控股已承诺,对于不能获取债权人同意解除连带责任对应部分的债务,由北方机械控股承担连带清偿责任,保证分立后的北方机械不会因该等债务遭受损失。 15、预案披露,与标的资产相关的部分土地、房产、专利、商标等权属问题尚待解决。请公司补充披露如上述问题未能如期解决,是否会对重组完成后标的资产的正常生产经营产生不利影响,除现金补偿方式外交易对方是否提供其他保障措施。请财务顾问和律师发表意见。 答复: 一、与标的资产相关的部分土地、房产、专利、商标等权属瑕疵不会对重组后的标的资产的正常生产经营产生不利影响 1、与标的资产相关的部分土地权属瑕疵 (1)一机集团主要经营性资产及负债中相关土地权属瑕疵 一机集团拟纳入本次重组范围中的部分土地使用权证载权利人仍为内蒙古第一机械制造(集团)有限公司,主要系一机集团历史更名原因所致,一机集团前身曾为内蒙古第一机械制造(集团)有限公司,一机集团更名后未及时办理该部分土地使用权证的变更手续。一机集团承诺将尽快办理该部分土地使用权的证载权利人变更手续,并最迟在本次重组的股东大会前完成变更;如因该等土地使用权证载权利人名称未及时变更,导致重组后上市公司遭受任何损失,一机集团承诺将向上市公司及时进行全额现金赔偿。 截至本回复报告签署日,该部分土地使用权的证载权利人变更手续正在办理过程中,一机集团已同当地政府及相关主管部门进行沟通,预计该等手续的办理不存在实质性障碍。一机集团已补充承诺,一机集团未曾因为该等变更尚未完成受到任何处罚或者重大不利影响,也不存在导致一机集团相关标的资产重大损失以致于不符合重大资产重组条件的情形。如该等土地使用权证载权利人名称未能如期完成变更,一机集团承诺将在资产交割时将该等土地使用权移交上市公司,确保重组完成后上市公司对该等土地的正常使用。如上市公司在重组完成后因不能正常使用该等土地而遭受任何损失,一机集团承诺将向上市公司及时进行全额现金赔偿,并积极协助上市公司寻找替代土地进行正常生产经营。 综上,一机集团部分土地使用权的证载权利人变更正在办理过程中,预计不存在实质性障碍;该等手续尚未办理完成不会对重组完成后标的资产的正常生产经营产生不利影响。 (2)北方机械相关土地权属瑕疵 北方机械拟纳入本次重组范围的1处土地属划拨用地,北方机械正在办理该等土地的出让手续和土地使用权证。一机集团承诺,将积极督促并协助北方机械尽快办理完毕该等土地出让手续,并最迟在本次重组的股东大会前完成并取得相应的土地使用权证;如因该等土地的权属问题未能如期解决,导致重组后上市公司遭受任何损失,一机集团承诺其全资子公司北方机械控股将向上市公司及时进行全额现金赔偿。 截至本回复报告签署日,北方机械正在办理该等土地的出让手续和土地使用权证,北方机械已同当地人民政府及相关主管部门进行沟通,预计该等土地的出让手续及土地使用权证的办理不存在实质性障碍。一机集团已补充承诺,如该等土地的出让手续及土地使用权证未能如期办理完成,将确保重组完成后北方机械继续正常使用该等土地,如上市公司在重组完成后因不能使用该等土地而遭受任何损失,一机集团承诺其全资子公司北方机械控股将向上市公司及时进行全额现金赔偿,并积极协助北方机械寻找替代土地进行正常生产经营。 综上,北方机械一处划拨土地的出让手续正在办理中,预计不存在实质性障碍,该等手续尚未办理完成不会对重组完成后标的资产的正常生产经营产生不利影响。 2、与标的资产相关的部分房产权属瑕疵 (1)一机集团主要经营性资产及负债中相关房产权属瑕疵 一机集团拟纳入本次重组范围的房产中有部分尚未取得权属证书。该等无证房产为一机集团实际占有和使用,一机集团并没有因未取得或暂未取得相关的权属证书而受到任何行政处罚或重大不利影响。一机集团将尽快办理完毕上述无证房产的权属登记手续,并最迟在本次重组股东大会前取得相应的房屋权属证书;如因该等房产的权属问题未能如期解决,导致重组后上市公司遭受任何损失,一机集团承诺将向上市公司及时进行全额现金赔偿。 此外,一机集团拟纳入本次重组范围中的部分房产证载权利人仍为内蒙古第一机械制造厂或内蒙古第一机械制造(集团)有限公司,主要系一机集团历史更名原因所致,一机集团前身曾为内蒙古第一机械制造厂和内蒙古第一机械制造(集团)有限公司,一机集团更名后未及时办理该部分房产证的变更手续。一机集团将尽快办理该部分房产的证载权利人变更手续,并最迟在本次重组的股东大会前完成变更;如因该等房产证载权利人名称未及时变更,导致重组后上市公司遭受任何损失,一机集团承诺将向上市公司及时进行全额现金赔偿。 截至本回复报告签署日,一机集团正在办理无证房产的权属登记手续以及部分房产的证载权利人变更手续,一机集团已同当地政府及相关主管部门进行沟通,预计该等手续的办理不存在实质性障碍。一机集团已补充承诺,一机集团未曾因为该房产权属瑕疵受到任何处罚或者重大不利影响,也不存在导致一机集团相关标的资产重大损失以致于不符合重大资产重组条件的情形。如该等房产的权属完善手续未能如期办理完成,一机集团承诺将在资产交割时将该等房产移交上市公司,确保重组完成后上市公司对该等房产的正常使用。如上市公司在重组完成后因不能正常使用该等房产而遭受任何损失,一机集团承诺将向上市公司及时进行全额现金赔偿,并积极协助上市公司寻找替代房产进行正常生产经营。 综上,一机集团无证房产的权属登记以及部分房产的证载权利人变更正在办理过程中,预计不存在实质性障碍,该等手续尚未办理完成不会对重组完成后标的资产的正常生产经营产生不利影响。 (2)北方机械相关房产权属瑕疵 北方机械拟纳入本次重组范围的部分房产尚未取得权属证书,该等无证房产为北方机械占有和使用,北方机械并没有因未取得或暂未取得相关的权属证书而受到任何行政处罚或重大不利影响。该等房产的权属证书正在办理当中,一机集团承诺将积极督促并协助北方机械尽快办理完毕该等无证房产的权属登记手续,并最迟在本次重组的股东大会前取得相应的房屋权属证书;如因该等房产的权属问题未能如期解决,导致重组后上市公司遭受任何损失,一机集团承诺由其全资子公司北方机械控股向上市公司及时进行全额现金赔偿。 截至本回复报告签署日,北方机械正在办理该等无证房产的权属登记手续且部分登记申请已经获得受理,北方机械已同当地政府及相关主管部门进行沟通,预计该等手续的办理不存在实质性障碍。一机集团已补充承诺,北方机械未曾因为该房产权属瑕疵受到任何处罚或者重大不利影响,也不存在导致北方机械重大损失以致于不符合重大资产重组条件的情形。如该等房产的权属完善手续未能如期完成,一机集团将确保重组完成后北方机械继续正常使用该等房产,如上市公司在重组完成后因不能使用该等房产而遭受任何损失,一机集团承诺由其全资子公司北方机械控股向上市公司及时进行全额现金赔偿,并积极协助北方机械寻找替代房产进行正常生产经营。 综上,北方机械无证房产的权属登记正在办理过程中,预计不存在实质性障碍,该等手续尚未办理完成不会对重组完成后标的资产的正常生产经营产生不利影响。 (3)山西风雷钻具相关房产权属瑕疵 山西风雷钻具拟纳入本次重组范围的部分房产尚未取得权属证书,该等无证房产为山西风雷钻具占有和使用,山西风雷钻具并没有因未取得或暂未取得相关的权属证书而受到任何行政处罚或重大不利影响。该等房产的权属证书正在办理当中,一机集团承诺将积极督促并协助山西风雷钻具尽快办理完毕该等无证房产的权属登记手续,并最迟在本次重组的股东大会前取得相应的房屋权属证书;如因该等房产的权属问题未能如期解决,导致重组后上市公司遭受任何损失,一机集团承诺由其全资子公司北方风雷集团向上市公司及时进行全额现金赔偿。 截至本回复报告签署日,山西风雷钻具正在办理该等无证房产的权属登记手续,山西风雷钻具已同当地政府及相关主管部门进行沟通,预计该等手续的办理不存在实质性障碍。一机集团已补充承诺,山西风雷钻具未曾因为该房产权属瑕疵受到任何处罚或者重大不利影响,也不存在导致山西风雷钻具重大损失以致于不符合重大资产重组条件的情形。如该等房产的权属完善手续未能如期完成,一机集团将确保重组完成后山西风雷钻具继续正常使用该等房产,如上市公司在重组完成后因不能使用该等房产而遭受任何损失,一机集团承诺由其全资子公司北方风雷集团向上市公司及时进行全额现金赔偿,并积极协助山西风雷钻具寻找替代房产进行正常生产经营。 综上,山西风雷钻具无证房产的权属登记正在办理过程中,预计不存在实质性障碍,该等手续尚未办理完成不会对重组完成后标的资产的正常生产经营产生不利影响。 3、与标的资产相关的部分商标权属瑕疵 一机集团拟纳入本次重组范围的商标中仍有部分商标的注册人名称为内蒙古第一机械制造(集团)有限公司,主要系一机集团历史更名原因所致,内蒙古第一机械制造(集团)有限公司为一机集团前身,一机集团更名后未及时办理该部分商标的注册人变更手续。商标注册人尚未变更完成不影响一机集团的正常使用,一机集团将尽快办理该等商标的注册人变更手续,并争取在本次重组的股东大会前完成变更;如因该等商标的注册人未及时变更,导致重组后上市公司遭受任何损失,一机集团承诺将向上市公司及时进行全额现金赔偿。 截至本回复报告签署日,一机集团正在办理该等商标的注册人变更手续,一机集团已同相关主管部门进行沟通,预计该等手续的办理不存在实质性障碍。一机集团已补充承诺,一机集团未因该等商标注册人未及时变更受到任何处罚或者重大不利影响,也不存在导致一机集团相关标的资产重大损失以致于不符合重大资产重组条件的情形。如该等商标的注册人变更手续未能如期完成,一机集团将在资产交割时将该等商标无偿授予上市公司使用直至商标的注册人变更为上市公司,如上市公司在重组完成后因不能使用该等商标而遭受任何损失,一机集团承诺将向上市公司及时进行全额现金赔偿。 综上,一机集团部分商标的注册人变更手续正在办理过程中,预计不存在实质性障碍,该等手续尚未办理完成不会对重组完成后标的资产的正常生产经营产生不利影响。 4、与标的资产相关的部分专利权属瑕疵 一机集团拟纳入本次重组范围的专利中仍有部分专利的专利权人为内蒙古第一机械制造(集团)有限公司,主要系一机集团历史更名原因所致,内蒙古第一机械制造(集团)有限公司为一机集团前身,一机集团更名后未及时办理该部分专利的专利权人变更手续。专利权人尚未变更不影响一机集团的正常使用,鉴于本次重组后一机集团相关专利将登记在上市公司名下,一机集团承诺将在本次重组资产交割时将上述专利的专利权人由内蒙古第一机械制造(集团)有限公司直接变更为上市公司;在此期间如因上述专利的专利权人更名问题以及由此带来的权属瑕疵而导致重组后上市公司遭受任何损失,一机集团承诺将向上市公司及时进行全额现金赔偿。 截至本回复报告签署日,一机集团已同相关主管部门进行沟通,鉴于专利人变更为一机集团耗时较长,一机集团将采用重组资产交割时将该等专利直接变更登记在上市公司名下的方式进行交割,在重组协议生效的前提下,预计该等手续的办理不存在实质性障碍。一机集团已补充承诺,一机集团未因该等专利权人未及时变更受到任何处罚或者重大不利影响,也不存在导致一机集团相关标的资产重大损失以致于不符合重大资产重组条件的情形。一机集团将在资产交割时将该等专利及相关资料全部移交上市公司并由上市公司继承使用,如上市公司在重组完成后因不能继承使用该等专利而遭受任何损失,一机集团承诺将向上市公司及时进行全额现金赔偿。 综上,一机集团将在本次重组资产交割时直接将该等专利登记在上市公司名下,预计不存在实质性障碍,标的资产中部分专利尚未完成专利人变更的事项不会对重组完成后标的资产的正常生产经营产生不利影响。 二、补充披露情况 上述相关内容已在修订后的重组预案“重大风险提示”之“四、标的资产完整性和权属瑕疵”、“第四章 标的资产基本情况”之各个标的资产的合法合规性说明部分以及“第九章 风险因素”之“四、标的资产完整性和权属瑕疵”中补充披露。 三、中介机构核查意见 1、独立财务顾问核查意见 经核查,独立财务顾问认为,除一机集团部分未变更专利人的专利将于本次重组资产交割时直接登记至上市公司名下外,标的资产相关的部分土地、房产、专利、商标等权属瑕疵问题均在完善过程中,预计其完善过程不存在实质性障碍。一机集团已承诺在一定期限内完成该等瑕疵完善手续,如因该等权属完善手续未及时完成,导致重组后上市公司遭受任何损失,一机集团承诺将向上市公司及时进行全额现金赔偿。此外,一机集团已经补充出具承诺,确保重组完成后的上市公司或其子公司获取并正常使用该等目前尚存在瑕疵的资产,如重组完成后上市公司或其子公司不能正常使用该等目前尚存在瑕疵的资产,一机集团将向上市公司及时进行全额现金赔偿。鉴于此,标的资产相关的部分土地、房产、专利、商标尚存在权属瑕疵的事项不会对重组完成后标的资产的正常生产经营产生不利影响。 2、律师核查意见 经核查,律师认为,除一机集团部分未变更专利人的专利将于本次重组资产交割时直接登记至上市公司名下外,标的资产相关的部分土地、房产、专利、商标等权属瑕疵问题均在完善过程中,预计其完善过程不存在实质性障碍。一机集团已承诺在一定期限内完成该等瑕疵完善手续,如因该等权属完善手续未及时完成,导致重组后上市公司遭受任何损失,一机集团承诺将向上市公司及时进行全额现金赔偿。此外,一机集团已经补充出具承诺,确保重组完成后的上市公司或其子公司获取并正常使用该等目前尚存在瑕疵的资产,如重组完成后上市公司或其子公司不能正常使用该等目前尚存在瑕疵的资产,一机集团将向上市公司及时进行全额现金赔偿。鉴于此,标的资产相关的部分土地、房产、专利、商标尚存在权属瑕疵的事项不会对重组完成后标的资产的正常生产经营产生不利影响。 16、预案披露,重组完成后北方创业需要重新获取军工类产品生产经营所需相关资质,在资产交割至北方创业获得相关资质之前的过渡期间,北方创业将接受一机集团委托生产军工产品,或与一机集团、用户共同签订三方合同。请公司补充披露:(1)需要重新获取的资质种类及所涉产品的收入、利润等情况;(2)重新获取相关资质所需条件与预计时间安排;(3)在过渡期间标的资产无资质生产军工类产品是否合规,一机集团是否无偿将相关资质授予标的资产使用。请财务顾问和律师发表意见。 答复: 一、需要重新获取的资质种类及所涉产品的收入、利润情况 本次重组资产交割后,上市公司需要办理《武器装备科研生产许可证》、《装备承制单位注册证书》、《武器装备质量体系认证证书》、《一级保密资格单位证书》等军工类产品生产经营所需的相关资质。鉴于一机集团主要经营性资产及负债的主要业务为装甲车辆及其零部件的研发与生产,因此该等相关资质所涉产品几乎涉及一机集团主要经营性资产及负债的主要收入、利润来源。 二、重新获取相关资质所需条件 根据目前标的资产涉及的业务及相关规定,申请武器装备科研生产许可的单位需满足《武器装备科研生产许可管理条例》相关规定;申请装备承制资格的单位需满足《中国人民解放军装备承制单位资格审查管理规定》相关规定;申请保密资格的单位需满足《武器装备科研生产单位保密资格审查认证管理办法》相关规定;申请武器装备质量体系认证证书的单位需持有相关装备主管部门或军事代表机构出具的推荐意见。 三、过渡期间军品业务资质的相关安排、合规性及重新获取该等资质的预计时间 根据本次重组预案披露以及向国防科技工业主管部门申报的军工事项审查方案,重组完成后,北方创业将按照有关规定申请办理上述产品生产经营所需资质。北方创业在申请办理上述产品生产经营所需资质期间,一机集团原有相关资质继续保留,待北方创业取得相关资质后,一机集团原有相关资质注销。在资产交割至北方创业获得相关资质之前的过渡期间,北方创业将通过一机集团相关资质开展相关业务。具体合同签订将采取一机集团签署后委托北方创业生产或一机集团、北方创业与用户共同签订三方合同的方式处理,待北方创业取得军工类产品生产经营所需相关资质后,由北方创业与用户直接签订合同并交付。 截至本回复报告签署日,国防科技工业主管部门已正式批准本次重组相关的军工事项,前述过渡期间军品业务资质的相关安排已获得主管部门的认可。本次重组完成后,一机集团军品生产相关的专业技术人员、资产、技术及工艺均将进入上市公司;此外,上市公司也将进一步建立健全相关保密管理制度。重组完成后的上市公司将具备申请增加武器装备科研生产许可的基本条件,预计本次重组完成后北方创业申请办理相关军品生产资质不存在实质性障碍。 北方创业已出具承诺,本次重组完成后5个工作日依法启动办理相关资质申请,尽快获取完备军品业务相关资质。同时,一机集团也已出具承诺,本次重组完成后,一机集团将积极协助北方创业申请办理并获取军品业务相关资质,不会对过渡期间北方创业通过一机集团相关资质开展军品业务收取任何费用。 根据国防科工局、国家发展和改革委员会、国务院国资委联合颁布的《军工企业股份制改造实施暂行办法》第十九条规定,“根据国家有关武器装备科研生产许可证管理的规定,对股份制改造后符合条件的军品生产企业,国家将继续发放武器装备科研生产许可证,并对获得许可证的企业实行动态管理”。 本次交易完成后,上市公司将根据其产品目录,报告武器装备科研生产许可变化情况及办理相应变更或申请手续,具体程序为:由上市公司向国防科技工业主管部门提出申请,并将申请材料同时报送总装备部。国防科技工业主管部门收到申请后进行审查,并自受理申请之日起60日内做出决定,自做出核准决定之日起10日内向提出申请的单位颁发武器装备科研生产许可证。 综上所述,重组完成后上市公司需要申请的军品业务相关资质主要包括《武器装备科研生产许可证》、《装备承制单位注册证书》、《武器装备质量体系认证证书》、《一级保密资格单位证书》等,该等资质涉及一机集团主要经营性资产及负债的主要收入、利润。鉴于国防科技工业主管部门已正式批准本次重组相关的军工事项,一机集团与北方创业在过渡期间军品业务资质的相关安排已获得主管部门的认可。重组完成后的上市公司将按照相关规定和流程的要求向国防科技工业主管部门提出申请,预计上市公司申请该等资质将不存在实质性障碍。一机集团不会就过渡期间北方创业通过一机集团相关资质开展军品业务事宜向上市公司收取任何费用。 四、补充披露情况 上述相关内容已在修订后的重组预案“重大风险提示”之“七、重组后上市公司经营和业绩变化的风险”、“第四章 标的资产基本情况”之“一、一机集团主要经营性资产及负债”之“(七)一机集团主要经营性资产及负债业务资质及涉及的立项、环保、行业准入、用地等相关报批情况”以及“第九章 风险因素”之“七、重组后上市公司经营和业绩变化的风险”中补充披露。 五、中介机构核查意见 1、独立财务顾问核查意见 经核查,独立财务顾问认为,重组完成后上市公司需要申请的军品业务相关资质主要包括《武器装备科研生产许可证》、《装备承制单位注册证书》、《武器装备质量体系认证证书》、《一级保密资格单位证书》等,该等资质涉及一机集团主要经营性资产及负债的主要收入、利润。鉴于国防科技工业主管部门已正式批准本次重组相关的军工事项,一机集团与北方创业在过渡期间军品业务资质的相关安排已获得主管部门的认可。重组完成后的上市公司将按照相关规定和流程的要求向国防科技工业主管部门提出申请,预计上市公司申请该等资质将不存在实质性障碍。一机集团不会就过渡期间北方创业通过一机集团相关资质开展军品业务事宜向上市公司收取任何费用。 2、律师核查意见 经核查,律师认为,重组完成后上市公司需要申请的军品业务相关资质主要包括《武器装备科研生产许可证》、《装备承制单位注册证书》、《武器装备质量体系认证证书》、《一级保密资格单位证书》等,该等资质涉及一机集团主要经营性资产及负债的主要收入、利润。鉴于国防科技工业主管部门已正式批准本次重组相关的军工事项,一机集团与北方创业在过渡期间军品业务资质的相关安排已获得主管部门的认可。重组完成后的上市公司将按照相关规定和流程的要求向国防科技工业主管部门提出申请,预计上市公司申请该等资质将不存在实质性障碍。一机集团不会就过渡期间北方创业通过一机集团相关资质开展军品业务事宜向上市公司收取任何费用。 17、预案披露,2015年9月,北方机械采取派生分立的方式分立为北方机械(存续主体)和山西北方机电科技有限公司(新设主体),山西北方机电科技有限公司将承接不进入上市公司的民品业务相关的资产、负债。请补充披露:(1)分立前北方机械的业务发展情况,及最近两年又一期的主要财务指标;(2)分立剥离的民品业务情况及主要财务数据;(3)在预案披露前分立剥离民品业务的主要原因和考虑,是否符合国家与上市公司关于军民融合的发展战略和趋势;(4)被分立剥离出去的民品资产,与存续方的军品资产是否存在业务关联,分立剥离对存续方的影响。请财务顾问和会计师发表意见。 答复: 一、分立前北方机械的业务发展情况及最近两年一期的主要财务指标 分立前北方机械的产业结构为“以军为主,以民为辅”,经营效益主要依靠军品带动,民品业务主要包括永磁电机、三产业务等。 分立前北方机械最近两年一期(合并口径)的主要财务数据如下: 单位:万元 ■ 二、分立剥离的民品业务情况及主要财务数据 北方机械分立剥离的民品由山西中北能源机械有限公司、太原北方永磁电机科技有限公司、山西诺凌机电设备有限公司三家子公司组成。 1、山西中北能源机械有限公司主要经营范围有资产租赁、三产经营、房地产开发等。 2、太原北方永磁电机科技有限公司主要经营永磁同步电动机的研发和生产。 3、山西诺凌机电设备有限公司主要经营汽轮机、拆炉机等能源机械产品。 分立剥离的民品业务最近两年一期主要财务数据如下: 单位:万元 ■ 三、在预案披露前分立剥离民品业务的主要原因和考虑,是否符合国家与上市公司关于军民融合的发展战略和趋势 北方机械本次重组方案拟剥离的民品业务主要是汽轮机、拆炉机、永磁电机和后勤三产业务,汽轮机、拆炉机及永磁电机是独立存在和独立发展的生产线,与军品业务和生产能力并无直接联系,其产品技术与北方机械军品技术并无直接关联,因此本次剥离相关民品资产与国家与上市公司关于军民融合的发展战略和趋势并无违背。 四、被分立剥离出去的民品资产,与存续方的军品资产是否存在业务关联,分立剥离对存续方的影响 被分立剥离出去的民品资产与存续方的军品资产不存在业务关联,后续相关民品将采取存量盘活、转换经营机制等方式独立发展。分立剥离后,北方机械将集中资源做强军品主业,进一步拓宽军品主业的发展空间。 五、补充披露情况 上述相关内容已在修订后的重组预案“第四章 标的资产基本情况”之“二、北方机械100%股权”之“(一)北方机械基本情况”中补充披露。 六、中介机构核查意见 1、独立财务顾问核查意见 经核查,独立财务顾问认为,上市公司已在修订后的重组预案中补充披露了分立前北方机械的业务发展情况及最近两年一期的主要财务指标,分立剥离的民品业务情况及主要财务数据。重组方案采取剥离民品和辅业资产的方式,主要目的是将核心军品资产作为交易标的交易至上市公司,并未违背国家与上市公司关于军民融合的发展战略和趋势。被分立剥离的民品资产与存续方的军品资产不存在业务关联,分立剥离后,北方机械将集中资源做强军品主业,进一步拓宽军品主业的发展空间。 2、会计师核查意见 经核查,会计师认为,公司已在修订后的重组预案中补充披露了分立前北方机械的业务发展情况及最近两年一期的主要财务指标,分立剥离的民品业务情况及主要财务数据。重组方案采取剥离民品和辅业资产的方式,主要目的是将核心军品资产作为交易标的交易至上市公司,并未违背国家与上市公司关于军民融合的发展战略和趋势。被分立剥离的民品资产与存续方的军品资产不存在业务关联,分立剥离后,北方机械将集中资源做强军品主业,进一步拓宽军品主业的发展空间。 18、预案披露,配套募集资金中部分用于投资与标的资产相关的军民融合产业化项目。请结合募投项目的主要内容,补充披露募集资金的必要性。请财务顾问发表意见。 答复: 一、本次军民融合产业化项目主要建设内容 ■ 本次募集配套资金进行的军民融合产业化项目建设,是紧密结合标的资产当前业务发展情况和未来发展目标,全面提升标的资产现有主业发展水平的必要举措。相关募投项目的实施,将填补国内相关领域的多项空白,将进一步提升和巩固标的资产军民品车辆业务的竞争力和市场地位,培育新的业务增长点,推动军民融合深度发展。 二、补充披露情况 上述相关内容已在修订后的重组预案“第七章 募集配套资金”之“三、募集配套资金的用途”、“四、募集配套资金的必要性”中补充披露。 三、中介机构核查意见 经核查,独立财务顾问认为,上市公司配套募集资金中部分用于投资与标的资产相关的军民融合产业化项目,相关项目与标的资产业务结合紧密,符合标的资产未来发展目标,有助于提升上市公司的竞争力和进一步推动军民融合深度发展,有利于提高本次重组的整合绩效。 19、预案披露,本次重组完成后,上市公司将依然存在关联交易。请补充披露标的资产的前五大客户和供应商及其相应的采购和销售占比情况、关联交易情况、主要关联交易类型、报告期关联交易金额和未来预计金额。请财务顾问和会计师发表意见。 答复: 一、标的资产的前五大客户和供应商及其相应的采购和销售占比情况 1、标的资产前五大客户及供应商 (1)前五大客户销售情况 2014年度以及2015年1-6月,标的资产向前五名客户销售情况(合并口径)如下: ■ 2014年度以及2015年1-6月,标的资产前五大客户销售比例较高,主要系军品最终用户行业特点所致。 (2)前五大供应商情况 2014年度以及2015年1-6月,标的资产向前五名供应商采购情况(合并口径)如下: ■ 2014年度以及2015年1-6月,标的资产不存在向单个客户的采购金额较高情况,不存在采购严重依赖于少数供应商的情况。 二、本次重组后关联交易情况 本次交易完成后,随着各标的资产注入上市公司,北方创业在重组前与标的资产发生的关联交易将消除,但上市公司因标的资产注入本公司后导致合并范围扩大以及主营业务发展仍将存在部分关联交易。根据初步统计,本次重组前后关联交易的变化如下: ■ 综上,本次交易完成后,随着标的资产注入上市公司,北方创业在重组前与标的资产发生的关联交易将消除,但上市公司因标的资产注入本公司后导致合并范围扩大以及主营业务发展需要仍将存在部分关联交易。重组完成后,上市公司新增的关联采购主要为军品采购等;新增的关联销售主要为通过关联方销售产品,根据未经审计的财务数据预计,本次重组完成后上市公司关联采购的金额将较本次重组前下降,占营业成本的比例将下降;本次重组完成后上市公司关联销售的金额将较本次重组前下降,占营业收入的比例将下降。 根据初步预计,在标的资产和上市公司主营业务未发生较大变化的情况下,预计未来上市公司经营过程中与关联方发生关联交易的金额与目前模拟重组已经完成情况的水平相当。 三、补充披露情况 上述相关内容已在修订后的重组预案“第八章 管理层讨论与分析”之“一、本次交易对上市公司的影响”之“(三)对关联交易的影响”中补充披露。 四、中介机构核查意见 1、独立财务顾问核查意见 经核查,独立财务顾问认为,上市公司已在修订后的重组预案中补充披露了标的资产的前五大客户和供应商及其相应的采购和销售占比情况、本次交易后关联交易情况。本次重组后,上市公司的关联交易比例较重组前得到大幅减少。 2、会计师核查意见 经核查,会计师认为,上市公司已在修订后的重组预案中补充披露了标的资产的前五大客户和供应商及其相应的采购和销售占比情况、本次交易后关联交易情况。本次重组后,上市公司的关联交易比例较重组前得到大幅减少。 五、其他事项 20、预案披露,标的公司大地石油已获得抽油杆及其接箍产品的《工业产品生产许可证》,证书尚在有效期内。请补充披露该许可证有效期限,并说明许可证续期的条件及是否存在障碍。请财务顾问和律师发表意见。 答复: 一、大地石油《工业产品生产许可证》有效期及许可延期的相关情况 大地石油目前持有的抽油杆及其接箍产品的《全国工业产品生产许可证》有效期至2019年3月17日。 根据《中华人民共和国工业产品生产许可证管理条例》、《中华人民共和国工业产品生产许可证管理条例实施办法》规定,生产许可证有效期届满,企业继续生产的,应当在生产许可证有效期届满6个月前向所在地省、自治区、直辖市工业产品生产许可证主管部门提出换证申请。国务院工业产品生产许可证主管部门或者省、自治区、直辖市工业产品生产许可证主管部门应当依照本条例规定的程序对企业进行审查。符合条件的,准予延续,但生产许可证编号不变。 根据《中华人民共和国工业产品生产许可证管理条例》第九条规定,企业取得生产许可证,应当符合下列条件:(一)有与拟从事的生产活动相适应的营业执照;(二)有与所生产产品相适应的专业技术人员;(三)有与所生产产品相适应的生产条件和检验检疫手段;(四)有与所生产产品相适应的技术文件和工艺文件;(五)有健全有效的质量管理制度和责任制度;(六)产品符合有关国家标准、行业标准以及保障人体健康和人身、财产安全的要求;(七)符合国家产业政策的规定,不存在国家明令淘汰和禁止投资建设的落后工艺、高耗能、污染环境、浪费资源的情况。法律、行政法规有其他规定的,还应当符合其规定。 截至目前,大地石油无不符合取得《全国工业产品生产许可证》条件的情形,依据现行政策,大地石油该等生产许可证续期事宜不存在实质性障碍。 二、补充披露情况 上述相关内容已在修订后的重组预案 “第四章 标的资产基本情况”之“一、一机集团主要经营性资产及负债”之“(七)一机集团主要经营性资产及负债业务资质及涉及的立项、环保、行业准入、用地等相关报批情况”中补充披露。 三、中介机构核查意见 1、独立财务顾问核查意见 经核查,独立财务顾问认为,大地石油目前持有的抽油杆及其接箍产品的《全国工业产品生产许可证》有效期至2019年3月17日。目前大地石油无不符合取得《全国工业产品生产许可证》条件的情形,依据现行政策,大地石油该等生产许可证续期事宜不存在实质性障碍。 2、律师核查意见 经核查,律师认为,大地石油目前持有的抽油杆及其接箍产品的《全国工业产品生产许可证》有效期至2019年3月17日。目前大地石油无不符合取得《全国工业产品生产许可证》条件的情形,依据现行政策,大地石油该等生产许可证续期事宜不存在实质性障碍。 特此公告。 包头北方创业股份有限公司 董事会 2015年11月14日 发表评论:财苑热评: |







