证券时报网络版郑重声明经证券时报社授权,证券时报网独家全权代理《证券时报》信息登载业务。本页内容未经书面授权许可,不得转载、复制或在非证券时报网所属服务器建立镜像。欲咨询授权事宜请与证券时报网联系 (0755-83501827) 。 |
中信建投证券股份有限公司公告(系列) 2015-12-08 来源:证券时报网 作者:
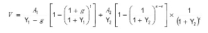
证券代码:000733 证券简称:振华科技 公告编号:2015-61 中国振华(集团)科技股份有限公司 关于对振华集团深圳电子有限公司 投资公告内容补充更正的公告 本公司及董事会全体成员保证信息披露的内容真实、准确、完整,没有虚假记载、误导性陈述或重大遗漏。 中国振华(集团)科技股份有限公司(以下简称“振华科技”或“本公司”)于2015年11月6日在《证券时报》及巨潮资讯网刊登了《关于对振华集团深圳电子有限公司增加投资的公告》(以下简称“原公告”,公告编号2015-56),现根据深圳证券交易所《股票上市规则》、《主板信息披露业务备忘录第6号---资产评估相关事宜》的要求,对原公告内容进行补充更正,公告如下: 一、补充披露内容 (一)对本公司出资中的房屋、土地等项资产在资产交割后产权证办理的责任方及相关责任的说明。 针对本公司出资中的房屋、土地等项资产存在因历史原因无法取得产权证的瑕疵问题,本公司与交易对方中国振华电子集团有限公司(以下简称“中国振华”)经过协商,在《振华集团深圳电子有限公司增资合同》中明确了该项资产交割后权证办理的责任方及相关责任,合同第八条载明:“本次增资资产的权证办理、过户、变更等事项由目标公司办理,所发生的一切相关税、费(包括但不限于印花税、审计费、评估费、工商登记变更费、相关资产权证办理费、过户费等)由目标公司承担,甲乙双方均免除增资资产后期各项证书办理、费用承担的义务。” (二)公司出资中控股子公司深圳市康力精密机械有限公司(以下简称“深圳康力公司”)的房屋建筑物中共7项,总建筑面积10,128平方米,土地面积为14,005.21平方米,以基准地价系数修正法,评估增值率214.64%。结合近期可比案例,对评估定价的公允性以及评估值的恰当性的说明。 1. 深圳康力公司土地位于深圳市宝安区龙华镇清湖村(靠近龙华街道);土地使用年限为50年(从1992年4月30日至2042年4月29日止),截止评估基准日,该宗地剩余使用年限27.35年。 待估宗地所在区域的基准地价发布于2013年,至评估基准日时间间隔不大,可以使用合理方法对于期日因素进行修正,故适宜采用基准地价系数修正法进行评估。根据《深圳市规划和国土资源委员会关于发布深圳市2013年基准地价的通告》,按土地坐标进行计算。深圳市的基准地价是网格地价图,即根据待估宗地的具体坐标给出的参考地价,因此基准地价具有较强的参考性。 根据中国城市地价动态监测系统公布的地价水平,深圳市工业用地地价水平指数2013年1季度为3166,基准日地价水平指数为2609,则: 期日修正系数K1=3166/2609=1.2135。 ■ 同样,根据中国城市地价动态监测系统公布的地价指数,深圳市工业用地地价指数2013年为251、基准日地价指数为293,则: 期日修正系数K1=293/251=1.1673。 ■ 本次评估修正系数最终取1.2135。上述地价水平及地价指数的上涨幅度是地区的平均上涨幅度,个别工业配套较好地区(如(3)中观澜地区)工业地价涨幅较大,而其他地区涨幅较小,甚至没有涨幅。 综上,我们认为上述土地使用权的评估方法选择恰当,评估值相对合理。 2. 被评估土地所在龙华街道区域为老工业区,目前工业聚集程度较低,且以商业住宅为主,因此区域内近几年无工业用途土地出让,近期实际成交的住宅及商业用地见下表: ■ 根据实际交易数据分析,龙华街道住宅用地楼面地价和基准地价接近,商业用地地价约为基准地价 2倍(2013年1月至2015年7月无商业有地成交,2015年8月6日仅有一宗成交),商业用地增幅较大的主要原因是该区域商业配套发展迅速,地价上涨较快。结合上述情况,本次对工业用地选择1.2135的期日修正系数在合理范围。 3. 目前工业用地成交比较多的地区是观澜街道区域。该区域主要为新兴高新工业园区,基础设施配套完善,工业集聚程度高,该区域内工业地价上涨较快,目前数据显示在评估基准日观澜街道工业用地成交的楼面地价高于商住用地的楼面地价。 观澜街道的土地成交情况如下: ■ 观澜街道重点发展工业,则该地区工业地价涨幅较快,而其他地价涨幅较小,甚至低于基准地价。而龙华街道重点发展商业,则商业地价涨幅较快,而其他地价涨幅较小,近几年没有新出让的工业用地,因此也存在工业用地出让价格低于基准地价的可能性。 观澜街道和龙华街道发展方向不一致,导致其不同用地性质土地涨幅差异较大。近期龙华街道无工业用地可比交易案例,成交比较密集的工业地出让案例和待估宗地不具备可比性,因此本次评估采用基准地价修正系数法评估的结果是合理、恰当的。 (三)本公司出资中的深圳龙华科技园工业土地及厂房,以收益法评估后的价值为7,233.31万元。现结合该资产历史交易价格和账面值、评估值、增值率、所属地块市价情况,说明评估方法的合理性和评估价格的公允性。 龙华科技园工业厂房由企业自建,以前年度未进行过交易,目前用于出租,是收益性物业,因此本次评估运用收益法对该部分房产及土地整体进行评估。房屋土地账面值及评估值如下: 单位:万元 ■ 收益法评估的角度是预期获利能力。通过预测估价对象的未来收益,以此求取估价对象的客观合理价格或价值的方法。 收益法计算公式: ■ 式中: V—评估价值 A1、A2—租期内、外年纯收益。本次评估租期内收益按合约租金确定,合约外按市场租金确定。 Y1、Y2—租期内、外折现率。本次评估均取6.62% t—纯收益变化的年份 g—租期内纯收益每年递增比率。本次评估取3%。 n—获取纯收益的持续年限。收益年限按土地剩余年限确定。 深圳龙华科技园工业土地及厂房以收益法评估后的价值为7,233.31万元。区域内近期类似工业用途房屋厂房其所占土地是和康力公司在同一地块上,土地单价接近,按此计算扣除土地价值后,剩余单纯的建筑物单价为2,556.85元/平方米。 被评估房产目前对外出租,采用收益法进行评估是合理的,在对单项土地及房屋价值复核后,和资产实际状况相符,评估结果是公允的。 (四)出资资产历史沿革 1. 深圳康力公司 深圳康力公司经深圳市工商行政管理局核准于1995年6月22日成立,由深圳华康实业有限公司和中国振华集团长红机器厂共同出资组建。 1998年8月深圳华康实业有限公司将拥有的深圳康力公司的股权全部转让给振华深圳公司。 1999年11月20日,本公司受让中国振华集团长红机器厂拥有的深圳康力公司14.29%的股权。为支持该公司发展,本公司对该公司增加投资1,580万元人民币,增资后康力公司注册资本变更为2,000万元人民币,本公司出资占其权益比例为82%,振华深圳公司出资占其权益比例为18%。 深圳康力公司评估基准日及前三年财务状况: 金额单位:人民币万元 ■ 经营状况: ■ 深圳康力公司会计报表均经大信会计师事务所(特殊普通合伙)审计并发表了无保留意见。 2. 投资性房地产 本次评估的投资性房地产为振华科技龙华科技园厂房,建筑面积为24,512.00平方米,框架结构。至评估基准日尚未取得房屋所有权证。 3. 土地 本次评估的土地为深圳市宝安区龙华镇清湖村工业用地,土地面积为13,088.79平方米。1998年本公司实施配股,中国振华作为发起人股东,采用资产配股的方式认购本公司发行的股票,中国振华将振华深圳公司拥有的该宗土地经评估作价后注入本公司。 (五)股权、土地、房屋相关资产评估参数的补充说明 深圳康力公司的主要资产是出租物业,由于其建设的容积率较低,用其收益法评估房产加土地的价值低于单独评估的土地价值,因此采用房屋和土地分别评估的方式进行处理。因其收益较少,无法反映资产价值,因此对深圳康力公司股权的评估只采用资产基础法一种方法进行评估。 本公司出资的土地及房屋资产,目前均对外出租,采用收益法进行评估。本次项目中对于拟增资企业(深圳振华公司)及另一增资方中国振华的出资资产均采用收益法评估主要资产(出租物业)。所有物业采用统一的评估参数。具体如下: ■ (六)以深圳康力公司股权作为出资,致使合并报表范围发生变化,该项交易的必要性及对公司的影响的说明。 至2014年12月31日,深圳康力公司资产总额为758.83万元,占本公司整体资产规模的0.14%,负债总额为280.46万元,占本公司整体负债规模的0.16%。2014年度实现营业收入127.11万元,占本公司营业收入的0.03%,净利润26.27万元,占本公司净利润的0.20%。 由于该公司缺乏人才、技术、产品支撑,已停止生产经营多年,目前仅靠厂房租赁收入维持运转,属于本公司优化产业结构,关停并转做减法的对象,本公司将深圳康力公司作为出资置出振华科技,将进一步优化公司产业结构,减少低效无效资产,提高公司发展质量。其经营指标占公司经济总量的比重很低,本次交易对本公司不会造成不良影响。 (七)对投资置出资产过渡期损益安排的说明 为维护出资各方权益,在《振华集团深圳电子有限公司增资合同》第九条中载明:“甲乙双方签订增资协议后,在目标公司完成工商变更前,甲乙双方投资置出资产产生的损益由甲乙双方各自承担。” 二、更正披露内容 原公告披露内容:“第七条 其他 按照深圳证券交易所《股票上市规则》规定,本议案无需提交股东大会审议。” 更正后披露内容: 本公司与关联方连续12个月发生的关联交易累计金额为24,308.91万元(包含本次投资交易金额),占本公司最近一期经审计净资产的6.81%,按照深圳证券交易所《股票上市规则》规定,本交易事项须提交公司股东大会审议。 特此公告。 中国振华(集团)科技股份有限公司董事会 2015年12月8日
证券代码:000733 证券简称:振华科技 公告编号:2015-60 中国振华(集团)科技股份有限公司 关于对转让贵州振华红云电子有限公司股权公告内容更正的公告 本公司及董事会全体成员保证信息披露的内容真实、准确、完整,没有虚假记载、误导性陈述或重大遗漏。 中国振华(集团)科技股份有限公司(以下简称“振华科技”或“本公司”)于2015年10月23日在《证券时报》及巨潮资讯网刊登了《关于转让贵州振华红云电子有限公司股权的公告》(公告编号2015-53),因工作人员引用评估报告数据有误,造成公告内容不准确,现予以更正,更正内容如下(更正内容见下划线数据): 一、原披露内容: “四、交易定价政策及定价依据 以振华红云2014年12月31日经评估后的净资产为作价依据。经北京中企华资产评估有限责任公司评估,振华红云2014年12月31日评估后的净资产为4,009.81万元。经交易双方协商,决定通过协议转让方式以4,009.81万元进行股份转让。 按照国有资产管理制度有关规定,振华红云的评估结果已经中国电子信息产业集团公司备案。 评估结论及汇总表 金额单位:人民币万元 ■ 更正后披露内容: “四、交易定价政策及定价依据 以振华红云2014年12月31日经评估后的净资产为作价依据。经北京中企华资产评估有限责任公司评估,振华红云2014年12月31日评估后的净资产为4,006.27万元。经交易双方协商,决定通过协议转让方式以4,006.27万元进行股份转让。 按照国有资产管理制度有关规定,振华红云的评估结果已经中国电子信息产业集团公司备案。 评估结论及汇总表 金额单位:人民币万元 ■ 除以上情况外,其他内容不变。由此给投资者带来的不便,深表歉意。 特此公告。 中国振华(集团)科技股份有限公司董事会 2015年12月8日
中信建投证券股份有限公司关于 中国振华(集团)科技股份有限公司 关联交易的补充核查意见 中信建投证券股份有限公司(以下简称“中信建投”、“保荐机构”)作为中国振华(集团)科技股份有限公司(以下简称“振华科技”或“公司”)非公开发行股票并在深圳证券交易所上市的保荐机构,根据《证券发行上市保荐业务管理办法》、《深圳证券交易所股票上市规则》、《深圳证券交易所上市公司保荐工作指引》等有关规定,对振华科技第七届董事会第五次会议审议通过的关联交易(以下简称“本次关联交易”)进行了补充核查,并出具本补充核查意见。 一、关于资产交割时产权权证办理责任的说明 经交易对方协商,本次对振华集团深圳电子有限公司(以下简称“振华深圳公司”)增资的资产的权证办理、过户、变更等事项由振华深圳公司办理,所发生的一切相关税、费(包括但不限于印花税、审计费、评估费、工商登记变更费、相关资产权证办理费、过户费等)由振华深圳公司承担,振华科技不承担增资资产后期证书办理责任及相关费用。 二、关于深圳康力公司房产土地评估定价的合理性 1、深圳市康力精密机械有限公司(以下简称“深圳康力公司”)土地位于深圳市宝安区龙华镇清湖村(靠近龙华街道);土地使用年限为50年(从1992年4月30日至2042年4月29日止),截止评估基准日,该宗地剩余使用年限27.35年。 待估宗地所在区域的基准地价发布于2013年,至评估基准日时间间隔不大,可以使用合理方法对于期日因素进行修正,故适宜采用基准地价系数修正法进行评估。根据《深圳市规划和国土资源委员会关于发布深圳市2013年基准地价的通告》,按土地坐标进行计算。深圳市的基准地价是网格地价图,即根据待估宗地的具体坐标给出的参考地价,因此基准地价具有较强的参考性。 根据中国城市地价动态监测系统公布的地价水平,深圳市工业用地地价水平指数2013年1季度为3166,基准日地价水平指数为2609,则:期日修正系数K1=3166/2609=1.2135。 ■ 根据中国城市地价动态监测系统公布的地价指数,深圳市工业用地地价指数2013年为251、基准日地价指数为293,则:期日修正系数K1=293/251=1.1673。 本次评估修正系数最终取1.2135。上述地价水平及地价指数的上涨幅度是地区的平均上涨幅度,个别工业配套较好地区(如观澜地区)工业地价涨幅较大,而其他地区涨幅较小,甚至没有涨幅。综上,上述土地使用权的评估方法选择恰当,评估值相对合理。 2、 被评估土地所在龙华街道区域为老工业区,目前工业聚集程度较低,且以商业住宅为主,因此区域内近几年无工业用途土地出让,近期实际成交的住宅及商业用地见下表: ■ 根据实际交易数据分析,龙华街道住宅用地楼面地价和基准地价接近,商业用地地价约为基准地价 2倍(2013年1月至2015年7月无商业用地成交,2015年8月6日仅有一宗成交),商业用地增幅较大的主要原因是该区域商业配套发展迅速,地价上涨较快。结合上述情况,本次对工业用地选择1.2135的期日修正系数在合理范围。 3、目前工业用地成交比较多的地区是观澜街道区域。该区域主要为新兴高新工业园区,基础设施配套完善,工业集聚程度高,该区域内工业地价上涨较快,目前数据显示在评估基准日观澜街道工业用地成交的楼面地价高于商住用地的楼面地价。 观澜街道的土地成交情况如下: ■ 观澜街道重点发展工业,则该地区工业地价涨幅较快,而其他地价涨幅较小,甚至低于基准地价。而龙华街道重点发展商业,则商业地价涨幅较快,而其他地价涨幅较小,近几年没有新出让的工业用地,因此也存在工业用地出让价格低于基准地价的可能性。 观澜街道和龙华街道发展方向不一致,导致其不同用地性质土地涨幅差异较大。近期龙华街道无工业用地可比交易案例,成交比较密集的工业地出让案例和待估宗地不具备可比性,因此本次评估采用基准地价修正系数法评估的结果是合理、恰当的。 三、关于龙华科技园土地厂房评估定价的合理性 龙华科技园工业厂房由企业自建,以前年度未进行过交易,目前用于出租,是收益性物业,因此本次评估运用收益法对该部分房产及土地整体进行评估。房屋土地账面值及评估值如下: 单位:万元 ■ 收益法评估的角度是预期获利能力。通过预测估价对象的未来收益,以此求取估价对象的客观合理价格或价值的方法。 收益法计算公式: ■ 式中: V—评估价值 A1、A2—租期内、外年纯收益。本次评估租期内收益按合约租金确定,合约外按市场租金确定。 Y1、Y2—租期内、外折现率。本次评估均取6.62% t—纯收益变化的年份 g—租期内纯收益每年递增比率。本次评估取3%。 n—获取纯收益的持续年限。收益年限按土地剩余年限确定。 深圳龙华科技园工业土地及厂房以收益法评估后的价值为7,233.31万元。区域内近期类似工业用途房屋厂房其所占土地是和康力公司在同一地块上,土地单价接近,按此计算扣除土地价值后,剩余单纯的建筑物单价为2,556.85元/平方米。 被评估房产目前对外出租,采用收益法进行评估是合理的,在对单项土地及房屋价值复核后,和资产实际状况相符,评估结果是公允的。 四、其他补充说明 (一)出资资产历史沿革 1、深圳康力公司 深圳康力公司经深圳市工商行政管理局核准于1995年6月22日成立,由深圳华康实业有限公司和中国振华集团长红机器厂共同出资组建。 1998年8月,深圳华康实业有限公司将拥有的深圳康力公司的股权全部转让给振华深圳公司。 1999年11月20日,振华科技受让中国振华集团长红机器厂拥有的深圳康力公司14.29%的股权。为支持该公司发展,振华科技对该公司增加投资1,580万元人民币,增资后康力公司注册资本变更为2,000万元人民币,振华科技出资占其权益比例为82%,振华深圳公司出资占其权益比例为18%。 (二)股权、土地、房屋相关资产评估参数的补充说明 深圳康力公司的主要资产是出租物业,由于其建设的容积率较低,用其收益法评估房产加土地的价值低于单独评估的土地价值,因此采用房屋和土地分别评估的方式进行处理。因其收益较少,无法反映资产价值,因此对深圳康力公司股权的评估只采用资产基础法一种方法进行评估。 振华科技出资的土地及房屋资产,目前均对外出租,采用收益法进行评估。本次项目中对于拟增资企业(深圳振华公司)及另一增资方中国振华的出资资产均采用收益法评估主要资产(出租物业)。所有物业采用统一的评估参数。具体如下: ■ (三)以深圳康力公司股权作为出资致使合并报表范围发生变化,该项交易的必要性及对公司的影响 至2014年12月31日,深圳康力公司资产总额为758.83万元,占振华科技整体资产规模的0.14%,负债总额为280.46万元,占振华科技整体负债规模的0.16%。2014年度实现营业收入127.11万元,占振华科技营业收入的0.03%,净利润26.27万元,占振华科技净利润的0.20%。 由于该公司缺乏人才、技术、产品支撑,已停止生产经营多年,目前仅靠厂房租赁收入维持运转,属于振华科技优化产业结构,关停并转做减法的对象,振华科技将深圳康力公司作为出资置出公司,将进一步优化公司产业结构,减少低效无效资产,提高公司发展质量。其经营指标占公司经济总量的比重很低,本次交易对振华科技不会造成不良影响。 (四)关联交易累计计算金额 振华科技与关联方连续12个月发生的关联交易累计金额为24,308.91万元(含本次投资交易金额),占振华科技最近一期经审计净资产的6.81%,按照深圳证券交易所《股票上市规则》规定,本交易事项需提交公司股东大会审议。 (五)投资置出资产过渡期损益安排 为维护出资各方权益,在《振华集团深圳电子有限公司增资合同》第九条中载明:“甲乙双方签订增资协议后,在目标公司完成工商变更前,甲乙双方投资置出资产产生的损益由甲乙双方各自承担。” 四、独立董事意见 独立董事就此次关联交易发表了以下意见: “1、担任本次交易标的资产评估工作的评估机构为北京中企华资产评估有限责任公司(以下简称“中企华”),评估机构具有证券、期货相关业务资格,选聘评估机构的程序合法;中企华及其签字评估师与交易对方和本公司均不存在现实的和预期的利益关系,评估机构具有独立性;评估报告的假设条件符合相关法律的规定、遵循了市场的通行惯例或准则,符合评估对象的实际情况,评估假设前提具有合理性;评估方法的选择充分考虑了本次交易的目的,评估方法科学、适当。评估值定价合理、公允,不存在损害公司中小股东利益的情形。深圳康力公司以及位于深圳市龙华科技园的工业土地及房产的交易价格以经中国电子备案的资产评估报告所确定的评估值作为定价依据,有关程序符合要求,交易价格合理、公允,体现了公平合理、保护其他股东利益的原则。 2、评估机构在评估振华科技对深圳康力公司长期投资资产价值时采用了资产基础法,对位于深圳市龙华科技园的工业土地及房产价值时采用了收益法。我们认为,评估机构从谨慎原则出发,选取的评估价值分析原理及计算模型适当,采用的折现率等重要评估参数以及以及预期各年度收益或现金流量等依据合理,符合实际情况,能够比较客观、公平和全面的反映评估对象的价值,评估结论具有合理性。 3、本次交易,有利于解决振华科技深圳龙华科技园工业土地及房屋存在的历史遗留问题,将深圳康力公司置出振华科技,可进一步优化公司产业结构,减少低效无效资产,提高公司发展质量。 4、本次交易以评估值为依据,遵循了等价、公平及保护上市公司及其股东利益的原则。 以上关联交易符合公平、公开、公正原则,不存在损害公司和中小股东利益的情形。关联交易的审议、表决程序符合有关规定。关联董事在议案表决时进行了回避。我们同意以上关联交易议案。” 五、保荐机构核查意见 经核查,保荐机构认为: 本次关联交易是双方在公平合理、协商一致的基础上进行的,定价方式公平、合理,不存在损害公司和中小股东利益的行为。 振华科技召开董事会,审议通过了本次关联交易事项,独立董事对本次关联交易事项出具了事前认可意见和同意关联交易的独立意见,本次交易事项尚需提交股东大会审议。上述程序符合《公司法》、《深圳证券交易所股票上市规则》等法律、法规及规范性文件的要求和《公司章程》的规定。 保荐代表人签名: 蔡诗文 王青松 中信建投证券股份有限公司 年 月 日 本版导读:
发表评论:财苑热评: |


