证券时报网络版郑重声明经证券时报社授权,证券时报网独家全权代理《证券时报》信息登载业务。本页内容未经书面授权许可,不得转载、复制或在非证券时报网所属服务器建立镜像。欲咨询授权事宜请与证券时报网联系 (0755-83501827) 。 |
大成添利宝货币市场基金更新招募说明书摘要2016年第1期 2016-03-11 来源:证券时报网 作者:
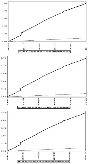
重 要 提 示 大成添利宝货币市场基金(以下简称“本基金”)经中国证监会2014年6月26日证监许可【2014】633号文核准募集,本基金的基金合同于2014年7月28日正式生效。 基金管理人保证本招募说明书的内容真实、准确、完整。本招募说明书经中国证监会核准,但中国证监会对本基金募集的核准,并不表明中国证监会对本基金的价值和收益做出实质性判断或保证,也不表明投资于本基金没有风险。 基金管理人承诺依照恪尽职守、诚实信用、谨慎勤勉的原则管理和运用基金资产,但不保证本基金一定盈利,也不保证最低收益。 基金的过往业绩并不预示其未来表现。基金管理人管理的其他基金的业绩并不构成本基金业绩表现的保证。 本基金是货币市场基金,其风险和预期收益率低于股票基金、混合基金和普通债券型基金,属于预期风险收益水平较低的品种。投资者购买货币市场基金并不等于将资金作为存款存放在银行或存款类金融机构。投资有风险,投资者申购基金时,请仔细阅读本基金的招募说明书及基金合同。 本招募说明书(更新)已经本基金托管人复核。本招募说明书(更新)所载内容截至日为2016年1月28日(其中人员变动信息以公告日为准),有关财务数据和基金净值表现截止日为2015年12月31日,所列财务数据未经审计。 一、基金管理人 (一)基金管理人概况 名称:大成基金管理有限公司 住所:深圳市福田区深南大道7088号招商银行大厦32层 办公地址:深圳市福田区深南大道7088号招商银行大厦32层 设立日期:1999年4月12日 注册资本:贰亿元人民币 股权结构:公司股东为中泰信托有限责任公司(持股比例48%)、中国银河投资管理有限公司(持股比例25%)、光大证券股份有限公司(持股比例25%)、广东证券股份有限公司(持股比例2%)四家公司。 法定代表人:刘卓 电话:0755-83183388 传真:0755-83199588 联系人:肖剑 (二)主要人员情况 1.公司高级管理人员 董事会: 刘卓先生,董事长,工学学士。曾任职于共青团哈尔滨市委、哈尔滨银行股份有限公司、中泰信托有限责任公司;2007年6月,任哈尔滨银行股份有限公司执行董事;2008年8月,任哈尔滨银行股份有限公司董事会秘书;2012年4月,任哈尔滨银行股份有限公司副董事长;2012年11月至今,任中泰信托有限责任公司监事会主席。2014年12月15日起任大成基金管理有限公司董事长。 靳天鹏先生,副董事长,国际法学硕士。1991年7月至1993年2月,任职于共青团河南省委;1993年3月至12月,任职于深圳市国际经济与法律咨询公司;1994年1月至6月,任职于深圳市蛇口律师事务所;1994年7月至1997年4月,任职于蛇口招商港务股份有限公司;1997年5月至2015年1月,先后任光大证券有限责任公司南方总部研究部研究员,南方总部机构管理部副总经理,光大证券股份有限公司债券业务部总经理助理,资产管理总部投资部副总经理(主持工作),法律合规部副总经理,零售交易业务总部副总经理。 罗登攀先生,董事、总经理,耶鲁大学经济学博士。具注册金融分析师(CFA)、金融风险管理师(FRM)资格。曾任毕马威(KPMG)法律诉讼部资深咨询师、金融部资深咨询师,以及SLCG证券诉讼和咨询公司合伙人;2009年至2012年,任中国证券监督管理委员会规划委专家顾问委员,机构部创新处负责人,兼任国家“千人计划”专家;2013年2月至2014年10月,任中信并购基金管理有限公司董事总经理,执委会委员。2014年11月26日起任大成基金管理有限公司总经理。2015年3月起兼任大成国际资产管理有限公司董事长。2015年10月起兼任大成国际资产管理有限公司董事总经理。 周雄先生,董事,金融学博士,北京大学光华管理学院高级管理人员工商管理硕士(EMBA)。1987年8月至1993年4月,任厦门大学财经系教师;1993年4月至1996年8月,任华夏证券有限公司厦门分公司经理;1996年8月至1999年2月,任人民日报社事业发展局企业管理处副处长;1999年2月至今任职于中泰信托有限责任公司,历任副总裁、总裁,现任中泰信托有限责任公司董事、总裁。 孙学林先生,董事,博士研究生在读。具注册会计师、注册资产评估师资格。现任中国银河投资管理有限公司投资二部董事总经理、投资决策委员会委员。2012年6月起,兼任镇江银河创业投资有限公司总经理、投资决策委员会委员。 黄隽女士,独立董事,经济学博士。现任中国人民大学经济学院教授、博士生导师,中国人民大学经济学院院长助理,中国人民大学艺术品金融研究所副所长。 叶林先生,独立董事,法学博士。现任中国人民大学法学院教授、民商法教研室主任,博士研究生导师、国家社会科学重点基地中国民商事法律科学研究中心兼职教授。 吉敏女士,独立董事,金融学博士,现任东北财经大学讲师,教研室主任,东北财经大学金融学国家级教学团队成员,东北财经大学开发金融研究中心助理研究员,主要从事金融业产业组织结构、银行业竞争方面的研究。参与两项国家自然科学基金、三项国家社科基金、三项教育部人文社会科学一般项目、多项省级创新团队项目,并负责撰写项目总结报告,在国内财经类期刊发表多篇学术论文。 金李先生,独立董事,博士。现任英国牛津大学商学院终身教职正教授(博士生导师)和北京大学光华管理学院讲席教授(博士生导师),金融系联合系主任,院长助理,北京大学国家金融研究中心主任。曾在美国哈佛大学商学院任教十多年,并兼任哈佛大学费正清东亚研究中心执行理事。 监事会: 陈希先生,监事长,中国人民大学经济学专业研究生,高级经济师。2006年被亚洲风险与危机管理协会授予“企业风险管理师”资格。2007年起任中国银河投资管理有限公司董事、常务副总裁(至2012年7月)、党委委员;2010年7月起,兼任吉林省国家生物产业创业投资有限责任公司董事长兼总经理、吉林省国家汽车电子产业创业投资有限责任公司董事,2012年6月起,兼任镇江银河创业投资有限公司董事长;2012年7月起至今,任中国银河投资管理有限公司总裁。 蒋卫强先生,职工监事,经济学硕士。1997年7月至1998年10月任杭州益和电脑公司开发部软件工程师。1998年10月至1999年8月任杭州新利电子技术有限公司电子商务部高级程序员。1999年8月加入大成基金管理有限公司,历任信息技术部系统开发员、金融工程部高级工程师、监察稽核部总监助理、信息技术部副总监、风险管理部副总监,现任风险管理部总监。 吴萍女士,职工监事,文学学士。1991年至1992年任中国农业银行深圳分行国际业务部会计。1993年至1998年任日本三和银行深圳分行单证部、信贷部主任。1999年至2009年任普华永道会计师事务所深圳分所审计部经理、高级经理。2010年6月加入大成基金管理有限公司,历任计划财务部高级会计师、总监助理,现任计划财务部副总监。 其他高级管理人员: 杜鹏女士,督察长,研究生学历。1992年-1994年,历任原中国银行陕西省信托咨询公司证券部驻上交所出市代表、上海业务部负责人;1994年-1998年,历任广东省南方金融服务总公司投资基金管理部证券投资部副经理、广东华侨信托投资公司证券总部资产管理部经理;1998年9月参与大成基金管理有限公司的筹建;1999年3月起,任大成基金管理有限公司督察长。2009年3月—2015年7月兼任大成国际资产管理有限公司董事。 钟鸣远先生,副总经理,金融学硕士。曾任国家开发银行深圳分行资金计划部职员,联合证券有限责任公司固定收益部投资经理,泰康人寿保险股份有限公司固定收益部研究员,新华资产管理股份有限公司固定收益部高级投资经理,易方达基金管理有限公司固定收益总部总经理兼固定收益投资部总经理。2014年3月加入大成基金管理有限公司,任公司助理总经理。2014年11月起兼任大成国际资产管理有限公司董事。2015年1月起任大成基金管理有限公司副总经理。 肖剑先生,副总经理,公共管理硕士。曾任深圳市南山区委(政府)办公室副主任,深圳市广聚能源股份有限公司副总经理兼广聚投资控股公司执行董事、总经理,深圳市人民政府国有资产监督管理委员会副处长、处长。2015年1月加入大成基金管理有限公司,任公司副总经理。 温智敏先生,副总经理,哈佛大学法学博士。2000至2002年就职于Hunton & Williams美国及国际律师事务所,2002至2006年任中银国际投行业务副总裁,2006至2009年任香港三山投资公司董事总经理,2009至2014年任标准银行亚洲有限公司董事总经理兼中国投行业务主管。2015年4月加入大成基金管理有限公司,出任首席战略官,2015年8月起任公司副总经理。 周立新先生,副总经理,大学本科学历。曾任新疆精河县党委办公室机要员、新疆精河县团委副书记、新疆精河县人民政府体改委副主任、新疆精河县八家户农场党委书记、新疆博尔塔拉蒙古自治州团委副书记及少工委主任、江苏省铁路发展股份有限公司办公室主任、江苏省铁路发展股份有限公司控股企业及江苏省铁路实业集团有限公司控股企业负责人、中国华闻投资控股有限公司燃气战略管理部项目经理。2005年1月加入大成基金管理有限公司,历任客户服务中心总监助理、市场部副总经理、上海分公司副总经理、客户服务部总监兼上海分公司总经理、公司助理总经理,2015年8月起任公司副总经理。 2、基金经理 (1)现任基金经理 黄海峰先生:南开大学经济学学士,11年证券从业经历。2013年7月加入大成基金管理有限公司固定收益部。2013年10月14日起任大成现金宝场内实时申赎货币市场基金基金经理助理。2013年10月28日起大成景恒保本混合型证券投资基金基金经理助理。2014年3月18日起任大成强化收益债券型证券投资基金基金经理助理。2014年3月18日至2014年12月23日任大成货币市场证券投资基金基金经理助理。2014年6月23日至2014年12月23日任大成丰财宝货币市场基金基金经理助理。2014年6月26日起任大成景益平稳收益混合型证券投资基金基金经理助理。2014年12月24日起,任大成货币市场证券投资基金基金经理及大成丰财宝货币市场基金基金经理。2015年3月21日起,任大成添利宝货币市场基金及大成景兴信用债债券型证券投资基金基金经理。2015年3月27日起,任大成景秀灵活配置混合型证券投资基金基金经理。2015年4月29日起,任大成景明灵活配置混合型证券投资基金基金经理。2015年5月4日起,任大成景穗灵活配置混合型证券投资基金基金经理。2015年5月15日起,任大成景源灵活配置混合型证券投资基金基金经理。具有基金从业资格。国籍:中国 (2)历任基金经理 ■ 3、公司固定收益投资决策委员会 公司固定收益投资决策委员会由3名成员组成,设固定收益投资决策委员会主席1名,其他委员2名。名单如下: 钟鸣远,副总经理,固定收益投资决策委员会主席;张翼,固定收益部副总监,固定收益投资决策委员会委员;王立,固定收益部总监助理,大成债券投资基金基金经理,大成景兴信用债债券型证券投资基金基金经理,大成景丰债券型证券投资基金(LOF)基金经理,固定收益投资决策委员会委员。 上述人员之间不存在亲属关系。 四、基金托管人 (一)基金托管人情况 名称:兴业银行股份有限公司 注册地址:福州市湖东路154 号 办公地址:上海市江宁路168 号 法定代表人:高建平 成立日期:1988 年8 月22 日 注册资本:人民币190.52 亿元 基金托管资格批文及文号:中国证监会证监基金字[2005]74 号 托管部门联系人:李峰 电话:021-52629999-212050 传真:021-62159217 (二) 发展概况及财务状况 兴业银行成立于1988年8月,是经国务院、中国人民银行批准成立的首批股份制商业银行之一,总行设在福建省福州市,2007年2月5日正式在上海证券交易所挂牌上市(股票代码:601166),注册资本190.52亿元。 开业二十多年来,兴业银行始终坚持“真诚服务,相伴成长”的经营理念,致力于为客户提供全面、优质、高效的金融服务。根据2014年年报,截至2014年12月31日,兴业银行资产总额达4.41万亿元,股东权益2579.34亿元,全年实现归属于母公司股东的净利润471.38亿元。 2014年兴业银行市场地位和品牌形象稳步提升,稳居全球银行50强(英国《银行家》杂志排名)、世界企业500强(美国《财富》杂志排名)和全球上市企业200强(美国《福布斯》杂志排名)行列。在国内外各种权威机构组织的评比中,先后荣获最佳中资银行、最佳战略创新银行、最佳绿色银行、最佳互联网金融平台银行、普惠金融实践最佳银行、最具社会责任上市公司、中华慈善突出贡献(单位)奖、中国最佳雇主等荣誉。 (三) 托管业务部的部门设置及员工情况 兴业银行股份有限公司总行设资产托管部,下设综合管理处、市场处、委托资产管理处、科技支持处、稽核监察处、运营管理处、期货业务管理处、期货存管结算处、养老金管理中心等处室,共有员工110人,平均年龄32岁,100%员工拥有大学本科以上学历,业务岗位人员均具有基金从业资格。 (四) 基金托管业务经营情况 兴业银行股份有限公司于2005年4月26日取得基金托管资格。基金托管业务批准文号:证监基金字[2005]74号。截止2015年12月31日,兴业银行已托管开放式基金73只,托管基金财产规模2883.18亿元。 (五) 基金托管人的内部风险控制制度说明 1. 内部控制目标 严格遵守国家有关托管业务的法律法规、行业监管规章和行内有关管理规定,守法经营、规范运作、严格监察,确保业务的稳健运行,保证基金资产的安全完整,确保有关信息的真实、准确、完整、及时,保护基金份额持有人的合法权益。 2. 内部控制组织结构 兴业银行基金托管业务内部风险控制组织结构由兴业银行审计部、资产托管部内设稽核监察处及资产托管部各业务处室共同组成。总行审计部对托管业务风险控制工作进行指导和监督;资产托管部内设独立、专职的稽核监察处,配备了专职内控监督人员负责托管业务的内控监督工作,具有独立行使监督稽核工作职权和能力。各业务处室在各自职责范围内实施具体的风险控制措施。 3. 内部风险控制原则 (1) 全面性原则:风险控制必须覆盖基金托管部的所有处室和岗位,渗透各项业务过程和业务环节;风险控制责任应落实到每一业务部门和业务岗位,每位员工对自己岗位职责范围内的风险负责。 (2) 独立性原则:资产托管部设立独立的稽核监察处,该处室保持高度的独立性和权威性,负责对托管业务风险控制工作进行指导和监督。 (3) 相互制约原则:各处室在内部组织结构的设计上要形成一种相互制约的机制,建立不同岗位之间的制衡体系。 (4) 定性和定量相结合原则:建立完备的风险管理指标体系,使风险管理更具客观性和操作性。 (5) 防火墙原则:托管部自身财务与基金财务严格分开;托管业务日常操作部门与行政、研发和营销等部门严格分离。 (6) 有效性原则。内部控制体系同所处的环境相适应,以合理的成本实现内控目标,内部制度的制订应当具有前瞻性,并应当根据国家政策、法律及经营管理的需要,适时进行相应修改和完善;内部控制应当具有高度的权威性,任何人不得拥有不受内部控制约束的权力,内部控制存在的问题应当能够得到及时反馈和纠正; (7) 审慎性原则。内控与风险管理必须以防范风险,审慎经营,保证托管资产的安全与完整为出发点;托管业务经营管理必须按照“内控优先”的原则,在新设机构或新增业务时,做到先期完成相关制度建设; (8) 责任追究原则。各业务环节都应有明确的责任人,并按规定对违反制度的直接责任人以及对负有领导责任的主管领导进行问责。 (六) 内部控制制度及措施 1. 制度建设:建立了明确的岗位职责、科学的业务流程、详细的操作手册、严格的人员行为规范等一系列规章制度。 2. 建立健全的组织管理结构:前后台分离,不同部门、岗位相互牵制。 3. 风险识别与评估:稽核监察处指导业务处室进行风险识别、评估,制定并实施风险控制措施。 4. 相对独立的业务操作空间:业务操作区相对独立,实施门禁管理和音像监控。 5. 人员管理:进行定期的业务与职业道德培训,使员工树立风险防范与控制理念,并签订承诺书。 6. 应急预案:制定完备的《应急预案》,并组织员工定期演练;建立异地灾备中心,保证业务不中断。 (七) 基金托管人对基金管理人进行监督的方法和程序 基金托管人负有对基金管理人的投资运作行使监督权的职责。根据《基金法》、《运作办法》、基金合同及其他有关规定,托管人对基金的投资对象和范围、投资组合比例、投资限制、费用的计提和支付方式、基金会计核算、基金资产估值和基金净值的计算、收益分配、申购赎回以及其他有关基金投资和运作的事项,对基金管理人进行业务监督、核查。 基金托管人发现基金管理人有违反《基金法》、《运作办法》、基金合同和有关法律法规规定的行为,应及时以书面形式通知基金管理人限期纠正,基金管理人收到通知后应及时核对并以书面形式对基金托管人发出回函。在限期内,基金托管人有权随时对通知事项进行复查,督促基金管理人改正。基金管理人对基金托管人通知的违规事项未能在限期内纠正的,基金托管人应报告中国证监会。 基金托管人发现基金管理人有重大违规行为,立即报告中国证监会,同时,通知基金管理人限期纠正,并将纠正结果报告中国证监会。 基金托管人发现基金管理人的指令违反法律、行政法规和其他有关规定,或者违反基金合同约定的,应当拒绝执行,立即通知基金管理人,并及时向中国证监会报告。 基金托管人发现基金管理人依据交易程序已经生效的投资指令违反法律、行政法规和其他有关规定,或者违反基金合同约定的,应当立即通知基金管理人,并及时向中国证监会报告。 五、相关服务机构 1、直销机构 大成基金管理有限公司 住所:深圳市福田区深南大道7088号招商银行大厦32层 办公地址:深圳市福田区深南大道7088号招商银行大厦32层 法定代表人:刘卓 电话:0755-83183388 传真:0755-83199588 联系人:王为开 公司网址:www.dcfund.com.cn 大成基金客户服务热线: 400-888-5558(免长途固话费) 大成基金管理有限公司现分别在深圳、上海设有投资理财中心: (1)大成基金深圳投资理财中心 地址:深圳市福田区深南大道7088号招商银行大厦32层 联系人:王欢欢、白小雪 电话:0755-83195236/22223555/22223556 传真:0755-83195229/83195239/83195235/83195242/83195232 (2)大成基金上海投资理财中心 地址:上海市黄浦区广东路689号海通证券大厦19层 联系人:徐舲 电话:021-62185377/63513925 传真:021-63513928/62185233 2、代销机构 (1)中国银行股份有限公司 注册地址:北京西城区复兴门内大街1号 法定代表人:田国立 客服电话:95566 联系人:王娟 电话:010-66594909 传真:010-66594942 网址:www.boc.cn (2) 兴业银行股份有限公司 办公地址:福州市五一中路元洪大厦25层 法定代表人:高建平 电话::021-52629999 传真:021-62569070 联系人:刘玲 客户服务电话:95561 网址:www.cib.com.cn (3)杭州银行股份有限公司 办公地址:杭州庆春路46号 法定代表人:吴太普 联系人:严峻 联系电话:0571-85108309 客服电话:95398 公司网站:www.hzbank.com.cn (4)北京农村商业银行股份有限公司 注册地址:北京市西城区阜成门内大街410号 法定代表人:王金山 联系人:董汇 联系电话:010-85605588 传真:010-66506163 客服电话:96198 网址:www.bjrcb.com (5)张家港农村商业银行股份有限公司 注册地址:张家港市杨舍镇人民中路66号 法定代表人:王自忠 客服电话:0512-96065 联系人:施圆圆 电话:0512-56968212 传真:0512-58236370 网址: www.zrcbank.com (6)哈尔滨银行股份有限公司 住所:哈尔滨市道里区尚志大街160号 办公地址:哈尔滨市道里区尚志大街160号 法人:郭志文 联系人:遇玺 联系电话:0451-86779018 传真:0451-86779007 客服电话:95537 公司网址:www.hrbb.com.cn (7)吉林银行股份有限公司 注册地址:吉林省长春市东南湖大路1817号 法定代表人:张宝祥 联系人:孙琦 联系电话:043184999627 客服电话:400-88-96666(全国)、 96666(吉林省) 网址:www.jlbank.com.cn (8)中国银河证券股份有限公司 注册地址:北京市西城区金融大街35号国际企业大厦C座 法定代表人:陈有安 客服电话:4008-888-888 联系人:宋明 联系电话:010-66568450 传真:010-66568990 网址:www.chinastock.com.cn (9)国海证券有限责任公司 注册地址:广西南宁市滨湖路46号 办公地址:广西南宁市滨湖路46号 客服电话:400-888-8100(全国)、96100(广西) 法定代表人:刘峻 联系人:覃清芳 电话:0771-5539262 传真:0771-5539033 网址:www.ghzq.com.cn (10)国都证券有限责任公司 注册地址:北京市东城区东直门南大街3号国华投资大厦9层10层 法定代表人:常喆 客户服务电话:400-818-8118 联系人:黄静 电话:010-84183333 传真:010-84183311-3389 网址:www.guodu.com (11)招商证券股份有限公司 注册地址:深圳市福田区益田路江苏大厦A座38-45层 法定代表人:宫少林 客服电话: 95565 联系人:黄婵君 电话:0755-82960167 传真:0755-82943636 网址:www.newone.com.cn (12)长江证券股份有限公司 注册地址:武汉市新华路特8号长江证券大厦 法定代表人:杨泽柱 客户服务热线:95579、4008-888-999 联系人:奚博宇 电话:027-65799999 传真:027-85481900 网址:www.95579.com (13)渤海证券股份有限公司 注册地址:天津市经济技术开发区第二大街42号写字楼101室 法定代表人:王春峰 联系人:蔡霆 电话:022-28451991 传真:022-28451892 客服电话:4006515988 网址:www.bhzq.com (14)光大证券股份有限公司 办公地址:上海市静安区新闸路1508号 法定代表人:薛峰 客服电话:400-888-8788、95525 联系人:刘晨 电话:021-22169999 传真:021-22169134 网址:www.ebscn.com (15)浙商证券股份有限公司 地址:浙江省杭州市杭大路1号黄龙世纪广场A座6-7楼 法定代表人:吴承根 联系人:张智 电话:021-64716089 客服电话:967777 网址:www.stocke.com.cn (16)民生证券股份有限公司 地址:北京市东城区建国门内大街28号民生金融中心A座 法定代表人:余政 客服电话:4006198888 联系人:赵明 联系电话:010-85127622 联系传真:010-85127917 公司网址:www.mszq.com (17)东莞证券有限责任公司 注册地址:东莞市莞城区可园南路1号金源中心30楼 法定代表人:张运勇 客服电话:0769-961130 联系人:梁健伟 电话:0769-22119341 传真:0769-22116999 网址:www.dgzq.com.cn (18)中泰证券证券股份有限公司 办公地址:山东省济南市经十路20518号 法定代表人:李玮 客户服务电话:95538 联系人:吴阳 电话:0531-81283938 传真:0531-81283900 网址:www.qlzq.com.cn (19)中航证券有限公司 注册地址:南昌市红谷滩新区红谷中大道1619号国际金融大厦A座41楼 办公地址:南昌市红谷滩新区红谷中大道1619号国际金融大厦A座41楼 法人代表:王宜四 客户服务热线:4008866567 联系人:戴蕾 电话:0791-86768681 传真:0791-86770178 网址:www.avicsec.com (20)华安证券有限责任公司 注册地址:安徽省合肥市长江中路357号 法定代表人:李工 客服电话:0551-96518、400-80-96518 联系人:甘霖 电话:0551-5161821 传真:0551-5161672 网址:www.hazq.com (21)华宝证券有限责任公司 地址:上海市浦东新区环球金融中心57楼 法定代表人:陈林 客户服务电话:400-820-9898 联系人:刘闻川 电话:021-68778075 传真:021-68868117 网址:www.cnhbstock.com (22)财富证券有限责任公司 办公地址:湖南长沙芙蓉中路二段80号顺天国际财富中心26层 法人代表:蔡一兵 客户服务热线:0731-84403333、 400-88-35316 联系人:郭磊 传真:0731-84403439 网址:www.cfzq.com (23)江海证券有限公司 办公地址:哈尔滨市香坊区赣水路56号 法人代表:孙名扬 电话:0451-85863726 客服热线:4006662288 联系人:周俊 网址:www.jhzq.com.cn (24)天风证券股份有限公司 注册地址:湖北省武汉市东湖新技术开发区关东园路2号高科大厦四楼 法定代表人:余磊 联系人:翟璟 联系电话:(027)87618882、(028) 86711410 传真:(027)87618863 公司网站:www.tfzq.com (25)和讯信息科技有限公司 注册地址:北京市朝阳区朝外大街22号泛利大厦10层 法定代表人:王莉 联系人:张紫薇 联系电话:0755-82021122 传真:0755-82029055 客户服务电话:4009200022 网址:http://licaike.hexun.com (26)上海天天基金销售有限公司 注册地址:上海市徐汇区龙田路195号3C座9楼 法人代表:其实 联系人:潘世友 电话:021-54509998 传真:021-64383798 客户服务电话:400-1818-188 网址:www.1234567.com.cn (27)中国民族证券有限责任公司 注册地址:北京市朝阳区北四环中路27号院5号楼40层-43层 法人代表:赵大建 联系人:李微 客户服务电话:400-889-5618 网址:www.e5618.com (28)北京钱景财富投资管理有限公司 注册地址:北京市海淀区丹棱街6号1幢9层1008-1012 办公地址:北京市海淀区丹棱街6号中关村金融大厦(丹棱soho)1008 法定代表人:赵荣春 联系人:魏争 网站:www.qianjing.com 客户服务电话:400-893-6885 (29)上海陆金所资产管理有限公司 注册地址:上海市浦东新区陆家嘴环路1333号14楼09单元 法定代表人:郭坚 办公地址:上海市浦东新区陆家嘴环路1333号14楼 联系人:宁博宇 网站:www.lufunds.com 客户服务电话:4008219031 (30)诺亚正行(上海)基金销售投资顾问有限公司 注册地址:上海市虹口区飞虹路360弄9号3724室 法定代表人:汪静波 办公地址:上海市杨浦区昆明路508号北美广场B座12楼 联系人:徐诚 联系电话:021-38509639 网站:www.noah-fund.com 客户服务电话:400-821-5399 (31)浙江同花顺基金销售有限公司? 注册地址:浙江省杭州市文二西路1号元茂大厦903 法定代表人:凌顺平 办公地址:浙江省杭州市西湖区翠柏路7号电子商务产业园2号楼 联系人:吴杰 联系电话:0571-88911818-8653 网站:www.5ifund.com 客户服务电话:4008-773-772 (32)深圳市新兰德证券投资咨询有限公司 注册地址:深圳市福田区华强北路赛格科技园4栋10层1006号 法定代表人:杨懿 办公地址:深圳市福田区华强北路赛格科技园4栋10层1006号 联系人:张燕 联系电话:010-58325388*1588 网站:http://8.jrj.com.cn 客户服务电话:400-166-1188 (33)上海凯石财富基金销售有限公司 注册地址:上海市黄浦区西藏南路765号602-115室 法定代表人:陈继武 客服电话:4000178000 联系人:葛佳蕊 电话:021-63333319 传真:021-63332523 网址:www.lingxianfund.com (二)注册登记机构 名称:大成基金管理有限公司 住所:深圳市福田区深南大道7088号招商银行大厦32层 办公地址:深圳市福田区深南大道7088号招商银行大厦33层 法定代表人:刘卓 电话:0755-83183388 传真:0755-83195239 联系人:范瑛 (三)律师事务所和经办律师 名称:北京市金杜律师事务所 注册地址:北京市朝阳区东三环中路7号财富中心写字楼A座40层 办公地址:北京市朝阳区东三环中路7号财富中心写字楼A座40层 负责人:王玲 电话:0755-22163333 传真:0755-22163390 经办律师:靳庆军、冯艾 联系人:冯艾 (五)会计师事务所和经办注册会计师 名称:普华永道中天会计师事务所(特殊普通合伙) 住所:上海市浦东新区陆家嘴环路1318号星展银行大厦6楼 办公地址:上海市湖滨路202号普华永道中心11楼 执行事务合伙人:李丹 经办注册会计师:薛竞、俞伟敏 电话:021-23238888 传真:021-23238800 联系人:俞伟敏 四、基金的名称 大成添利宝货币市场基金 五、基金的类型 基金类型:契约型 六、基金的运作方式 基金运作方式:开放式 七、基金的投资目标 在保持本金安全和资产流动性基础上追求较高的当期收益。 八、基金的投资方向 本基金主要投资于具有良好流动性的工具,包括现金,通知存款,一年以内(含一年)的银行定期存款和大额存单,短期融资券(包括超短期融资券),期限在一年以内(含一年)的债券回购,期限在一年以内(含一年)的央票,剩余期限在397天以内(含397天)的债券、剩余期限在397天以内(含397天)的资产支持证券、剩余期限在397天以内(含397天)的中期票据,以及中国证监会允许本基金投资的其他固定收益类金融工具。 如果法律法规或监管机构以后允许基金投资其他品种,基金管理人在履行适当程序后,可以将其纳入投资范围。 九、基金的投资策略 1、利率趋势评估策略 通过对宏观经济、宏观政策、市场资金面供求等因素的综合分析,对资金利率变动趋势进行评估,最大限度地优化存款期限、回购和债券品种组合。 2、类属配置策略 本基金管理人在评估各品种在流动性、收益率稳定性基础上,结合预先制定的组合平均期限范围确定类属资产配置。 3、组合平均剩余期限配置策略 基金根据对未来短期利率走势的研判,结合基金资产流动性的要求动态调整组合久期。当预期短期利率上升时,降低组合久期,以规避资本损失或获得较高的再投资收益;在预期短期利率下降时,提高组合久期,以获得资本利得或锁定较高的利率水平。 4、银行协议存款和大额存单投资策略 银行协议存款和大额存单是本基金的主要投资对象。在确保安全性和流动性的前提下,通过不同商业银行和不同存款期限的选择,挖掘出利率报价较高的多家银行进行银行协议存款和大额存单的投资,在获取较高投资收益的同时尽量分散投资风险,提高存款及存单资产的流动性。通过对宏观经济、宏观政策、市场资金面等因素的综合分析,对资金利率变动趋势进行评估,最大限度地优化存款期限。 5、流动性管理策略 在日常的投资管理过程中,本基金将会紧密关注申购与赎回资金变化情况、季节性资金流动等影响货币市场基金流动性管理的因素,建立组合流动性监控管理指标,实现对基金资产流动性的实时管理。 (四)投资限制 1、本基金不得投资于以下金融工具: (1)股票和权证; (2)可转换债券; (3)剩余期限超过397天的债券; (4)信用等级在AAA级以下的企业债券; (5)以定期存款利率为基准利率的浮动利率债券; (6)非在全国银行间债券交易市场或证券交易所交易的资产支持证券; (7)中国证监会、中国人民银行禁止投资的其他金融工具。 法律法规或监管部门取消上述限制后,本基金不受上述规定的限制,但需提前公告。 2、组合限制 基金的投资组合应遵循以下限制: (1)本基金投资组合的平均剩余期限在每个交易日不得超过120天; (2)本基金与基金管理人管理的其他基金持有一家公司发行的证券总和,不超过该证券的10%; (3)本基金投资于定期存款的比例不得超过基金资产净值的30%,但如果基金投资有固定期限但协议中约定可以提前支取且提前支取利率不变的存款,不受该比例限制; (4)本基金持有的剩余期限不超过397天但剩余存续期超过397天的浮动利率债券的摊余成本总计不得超过当日基金资产净值的20%;本基金不得投资于以定期存款利率为基准利率的浮动利率债券; (5)本基金买断式回购融入基础债券的剩余期限不得超过397天;在全国银行间同业市场中的债券回购最长期限为1年,债券回购到期后不得展期; (6)本基金存放在具有基金托管资格的同一商业银行的存款,不得超过基金资产净值的30%;存放在不具有基金托管资格的同一商业银行的存款,不得超过基金资产净值的 5%;基金的投资组合中保留的现金或者到期日在一年以内的政府债券的比例合计不低于基金资产净值的 5%; (7)本基金投资于同一公司发行的短期企业债券及短期融资券的比例,合计不得超过基金资产净值的 10%; (8)本基金持有的全部资产支持证券,其市值不得超过基金资产净值的 20%;本基金持有的同一(指同一信用级别)资产支持证券的比例,不得超过该资产支持证券规模的 10%;本基金投资于同一原始权益人的各类资产支持证券的比例,不得超过基金资产净值的10%;本基金管理人管理的全部基金投资于同一原始权益人的各类资产支持证券,不得超过其各类资产支持证券合计规模的 10%; (9)除发生巨额赎回的情形外,本基金债券正回购的资金余额在每个交易日均不得超过基金资产净值的 20%;因发生巨额赎回致使本基金债券正回购的资金余额超过基金资产净值 20%的,基金管理人应当在 5 个交易日内进行调整; (10)本基金投资的短期融资券的信用评级应不低于以下标准: A、国内信用评级机构评定的 A-1 级或相当于 A-1 级的短期信用级别; B、根据有关规定予以豁免信用评级的短期融资券,其发行人最近 3年的信用评级和跟踪评级应具备下列条件之一: A)国内信用评级机构评定的 AAA 级或相当于 AAA 级的长期信用级别; B)国际信用评级机构评定的低于中国主权评级一个级别的信用级别。 同一发行人同时具有国内信用评级和国际信用评级的,以国内信用级别为准。本基金持有的短期融资券信用等级下降、不再符合投资标准的,基金管理人应在评级报告发布之日起 20 个交易日内对其予以全部减持; (11)本基金投资的资产支持证券须具有评级资质的资信评级机构进行持续信用评级,且其信用评级应不低于国内信用评级机构评定的AAA级或相当于 AAA 级的信用级别。本基金持有的资产支持证券信用等级下降、不再符合投资标准的,基金管理人应在评级报告发布之日起3个月内对其予以全部卖出; (12)本基金可投资于信用等级为 AAA 级的商业银行次级债,但该次级债的剩余期限应当在 397 天内,且投资于同一商业银行发行的次级债的比例不得超过基金资产净值的10%; (13)本基金投资于单个中期票据比例,不得超过其发行额度的10%;公司所管理的全部基金投资于单个中期票据比例,不得超过其发行额度的10%;本基金投资于同一家企业所发行的债券(包括短融、公司债/企业债、中期票据),不得超过该企业所发行债券总量的10%;公司所管理的全部基金投资于一家企业所发行的债券(包括短融、公司债/企业债、中期票据),不得超过该企业所发行债券总量的10%。 (14)法律、法规、基金合同及中国证监会、中国人民银行规定的其他比例限制。 除上述第(9)、(10)和(11)外,因基金规模或市场变化导致本基金投资组合不符合以上比例限制的,基金管理人应在10个交易日内进行调整,以达到上述标准。法律法规另有规定时,从其规定。 基金管理人应当自基金合同生效之日起6个月内使基金的投资组合比例符合基金合同的有关约定。基金托管人对基金的投资的监督与检查自本基金合同生效之日起开始。 若法律法规或中国证监会的相关规定发生修改或变更,基金管理人履行适当程序后,本基金可相应调整投资限制规定。法律法规或中国证监会取消该等限制的,基金管理人履行适当程序后,则本基金投资不再受相关限制。 3、禁止行为 为维护基金份额持有人的合法权益,基金财产不得用于下列投资或者活动: (1)承销证券; (2)违反规定向他人贷款或者提供担保; (3)从事承担无限责任的投资; (4)买卖其他基金份额,但是国务院证券监督管理机构另有规定的除外; (5)向其基金管理人、基金托管人出资; (6)从事内幕交易、操纵证券交易价格及其他不正当的证券交易活动;; (7)法律、行政法规和国务院证券监督管理机构禁止的其他活动。 运用基金财产买卖基金管理人、基金托管人及其控股股东、实际控制人或者与其有其他重大利害关系的公司发行的证券或者承销期内承销的证券,或者从事其他重大关联交易的,应当遵循基金份额持有人利益优先的原则,防范利益冲突,符合国务院证券监督管理机构的规定,并履行信息披露义务。 如法律法规或监管部门取消上述禁止性规定,本基金管理人在履行适当程序后可不受上述规定的限制。 十、基金的业绩比较基准 本基金业绩比较基准为:银行活期存款利率(税后) 本基金为货币市场基金,具有低风险、高流动性的特征。根据基金的投资标的、投资目标及流动性特征,本基金选取同期银行活期存款利率作为本基金的业绩比较基准。 如果法律法规或未来市场发生变化导致此业绩比较基准不再适用,或有其他代表性更强、 更科学客观的或者更能为市场普遍接受的业绩比较基准适用于本基金时,本基金管理人可依据维护基金份额持有人合法权益的原则,经与基金托管人协商一致,无需召开基金份额持有人大会,根据实际情况对业绩比较基准进行相应调整并及时公告,并在更新的招募说明书中列示。 十一、基金的风险收益特征 本基金为货币市场基金,为证券投资基金中的低风险品种。本基金长期的风险和预期收益低于股票型基金、混合型基金、债券型基金。 十二、基金的投资组合报告(截至2015年12月31日) 基金管理人的董事会及董事保证本报告所载资料不存在虚假记载、误导性陈述或重大遗漏,并对其内容的真实性、准确性和完整性承担个别及连带责任。 基金托管人兴业银行根据基金合同规定,于2016 年2月24日复核了本报告中的财务指标、净值表现和投资组合报告等内容,保证复核内容不存在虚假记载、误导性陈述或者重大遗漏。 本投资组合报告所载数据取自本基金2015年第4季度报告,截至2015年12月31日。(财务数据未经审计) 1.基金资产组合情况 ■ 2.报告期债券回购融资情况 ■ 债券正回购的资金余额超过基金资产净值的20%的说明 本报告期内本基金债券正回购的资金余额未超过基金资产净值的20%。 3.期末基金组合剩余期限 (1)投资组合平均剩余期限基本情况 ■ 报告期内投资组合平均剩余期限超过180天情况说明 本基金合同约定:“本基金投资组合的平均剩余期限在每个交易日均不得超过120天”,本报告期内,本基金未发生超标情况。 (2)报告期末投资组合平均剩余期限分布比例 ■ 4.报告期末按债券品种分类的债券投资组合 ■ 5.报告期末按摊余成本占基金资产净值比例大小排名的前十名债券投资明细 ■ 6.“影子定价”与“摊余成本法”确定的基金资产净值偏离 ■ 7.报告期末按公允价值占基金资产净值比例大小排名的前十名资产支持证券投资明细 本基金本报告期末未持有资产支持证券。 8.投资组合报告附注 (1)基金计价方法说明 本基金估值采用摊余成本法估值,即估值对象以买入成本列示,按票面利率或协议利率并考虑其买入时的溢价与折价,在其剩余存续期内按照实际利率法每日计提损益。本基金通过每日计算基金收益并分配的方式,使基金份额净值保持在人民币1.00 元。 (2)本报告期内不存在基金持有剩余期限小于397天但剩余存续期超过397天的浮动利率债券的摊余成本超过当日基金资产净值的20%的情况。 (3)本基金投资的前十名证券的发行主体未出现本期被监管部门立案调查,或在报告编制日前一年内受到公开谴责、处罚的情形。 (4)其他资产构成 ■ (5)投资组合报告附注的其他文字描述部分 由于四舍五入原因,分项之和与合计可能有尾差。 十三、基金业绩 基金管理人依照恪尽职守、诚实信用、谨慎勤勉的原则管理和运用基金财产,但不保证基金一定盈利,也不保证最低收益。基金的过往业绩并不代表其未来表现。投资有风险,投资者在做出投资决策前应仔细阅读本基金的招募说明书及其更新。 (一)基金合同生效日为2014年7月28日,基金合同生效以来完整会计年度的投资业绩及与同期基准的比较如下表所示: A类 ■ B类 ■ E类 ■ (二)自基金合同生效以来基金份额净值的变动情况,并与同期业绩比较基准的变动的比较(2014年7月28日至2015年12月31日) ■
注:本基金合同规定,基金管理人应当自基金合同生效之日起6个月内使基金的投资组合比例符合基金合同的约定。建仓期结束时,本基金的投资组合比例符合基金合同的约定。 十四、费用概览 (一)基金费用的种类 1、基金管理人的管理费; 2、基金托管人的托管费; 3、基金销售服务费; 4、《基金合同》生效后与基金相关的信息披露费用; 5、《基金合同》生效后与基金相关的会计师费、律师费和诉讼费; 6、基金份额持有人大会费用,包括但不限于公证费、律师费和场地费等; 7、基金的证券交易费用; 8、基金的银行汇划费用; 9、基金的开户费用、账户维护费用; 10、按照国家有关规定和《基金合同》约定,可以在基金财产中列支的其他费用。 (二)基金费用计提方法、计提标准和支付方式 1、基金管理人的管理费 本基金的管理费按前一日基金资产净值的0.20%年费率计提。管理费的计算方法如下: H=E×0.20%÷当年天数 H为每日应计提的基金管理费 E为前一日的基金资产净值 基金管理费每日计算,逐日累计至每月月末,按月支付,由基金管理人向基金托管人发送基金管理费划款指令,基金托管人复核后于次月前3个工作日内从基金财产中一次性支付给基金管理人。若遇法定节假日、公休假等,支付日期顺延。 2、基金托管人的托管费 本基金的托管费按前一日基金资产净值的0.08%的年费率计提。托管费的计算方法如下: H=E×0.08%÷当年天数 H为每日应计提的基金托管费 E为前一日的基金资产净值 基金托管费每日计算,逐日累计至每月月末,按月支付,由基金管理人向基金托管人发送基金托管费划款指令,基金托管人复核后于次月前3个工作日内从基金财产中一次性支取。若遇法定节假日、公休日等,支付日期顺延。 3.基金销售服务费 本基金年销售服务费率最高不超过0.25%,本基金可以对不同份额类别设定不同的销售服务费率并在招募说明书中列示。销售服务费计提的计算公式具体如下: H=E×年销售服务费率÷当年天数 H为每日该类基金份额应计提的基金销售服务费 E为前一日该类基金份额的基金资产净值 基金销售服务费每日计提,按月支付。由基金管理人向基金托管人发送基金销售服务费划付指令,经基金托管人复核后于次月首日起3个工作日内从基金财产中一次性支付给注册登记机构,由注册登记机构代付给销售机构。若遇法定节假日、休息日或不可抗力致使无法按时支付的,支付日期顺延至最近可支付日支付。 上述“一、基金费用的种类中第4-10项费用”,根据有关法规及相应协议规定,按费用实际支出金额列入当期费用,由基金托管人从基金财产中支付。 (三)不列入基金费用的项目 下列费用不列入基金费用: 1、基金管理人和基金托管人因未履行或未完全履行义务导致的费用支出或基金财产的损失; 2、基金管理人和基金托管人处理与基金运作无关的事项发生的费用; 3、《基金合同》生效前的相关费用; 4、其他根据相关法律法规及中国证监会的有关规定不得列入基金费用的项目。 (五)基金税收 本基金运作过程中涉及的各纳税主体,其纳税义务按国家税收法律、法规执行。 十五、对招募说明书更新部分的说明 本更新招募说明书依据《中华人民共和国证券投资基金法》、《公开募集证券投资基金运作管理办法》、《证券投资基金销售管理办法》、《证券投资基金信息披露管理办法》及其他有关法律法规的要求,并根据本基金管理人对本基金实施的投资经营活动,对2015年9月11日公布的《大成添利宝货币市场基金更新招募说明书(2015年2期)》进行了内容补充和更新,本更新的招募说明书主要更新的内容如下: 1.根据最新资料,更新了“第三部分、基金管理人”部分。 2.根据最新资料,更新了“第四部分、基金托管人”部分。 3.根据最新资料,更新了“第五部分、相关服务机构”部分。 4.根据最新数据,更新了“第九部分、基金的投资”部分”。 5.根据最新数据,更新了“第十部分、基金业绩”部分。 6.根据最新公告,更新了“第二十二部分、其他应披露的事项”。 7.根据最新情况,更新了“第二十三部分、对招募说明书更新部分的说明”。 大成基金管理有限公司 二〇一六年三月十一日 本版导读:
发表评论:财苑热评: |

