证券时报网络版郑重声明经证券时报社授权,证券时报网独家全权代理《证券时报》信息登载业务。本页内容未经书面授权许可,不得转载、复制或在非证券时报网所属服务器建立镜像。欲咨询授权事宜请与证券时报网联系 (0755-83501827) 。 |
中银保本混合型证券投资基金更新招募说明书摘要 2016-05-31 来源:证券时报网 作者:
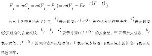
重要提示 中银保本混合型证券投资基金(以下简称“本基金”)的募集申请经中国证券监督管理委员会(以下简称“中国证监会”)2012年7月23日证监许可[2012]952号文核准,基金合同于2012年9月19日正式生效。 投资有风险,投资者认购(或申购)基金时应认真阅读招募说明书。投资者根据所持有份额享受基金的收益,但同时也需承担相应的投资风险。 本基金为保本混合型基金,属证券投资基金中的低风险品种;因为本基金可以配置二级市场股票,所以预期收益和风险水平高于投资范围不含二级市场股票的债券型基金。本基金初始募集净值1.00元。在市场波动因素影响下,本基金净值可能低于初始面值。本基金未持有到期,投资者赎回时不能获得保本保证,将承担市场波动的风险。 本基金的投资范围为具有良好流动性的金融工具,包括国内依法发行上市的股票、债券以及法律法规或中国证监会允许基金投资的其他金融工具(但须符合中国证监会相关规定)。本基金的投资对象主要分为两类:稳健资产和风险资产。稳健资产主要包括国债、金融债、央行票据、企业债、公司债、可转换债券(含分离交易可转债)、次级债、短期融资券、中期票据、资产支持证券、债券回购、银行存款等固定收益品种。风险资产主要包括股票、权证等权益类品种。如法律法规或监管机构以后允许基金投资其他品种,基金管理人在履行适当程序后,可以将其纳入投资范围。 本基金采用CPPI投资组合保险策略和资产配置研究结果,动态调整稳健资产与风险资产的投资比例。其中,稳健资产占基金资产的比例不低于60%,风险资产占基金资产的比例不高于40%。本基金持有现金或者到期日在一年以内的政府债券不低于基金资产净值的5%。 基金管理人依照恪尽职守、诚实信用、谨慎勤勉的原则管理和运用基金资产,但不保证本基金一定盈利,也不保证最低收益。投资者投资于保本基金并不等于将资金作为存款存放在银行或存款类金融机构,保本基金在极端情况下仍然存在本金损失的风险。本基金基金份额持有人在当期保本周期内申购或转换转入,或在当期保本周期到期日前(不包括该日)赎回或转换转出的基金份额不适用保本条款,保本条款详见本基金基金合同及招募说明书。 投资人购买本保本基金基金份额的行为视为同意保证合同的约定。 基金的过往业绩并不预示其未来表现,基金管理人管理的其他基金的业绩也不构成对本基金业绩表现的保证。基金管理人提醒投资人基金投资的“买者自负”原则,在做出投资决策后,基金运营状况与基金净值变化引致的投资风险,由投资者自行负担。 本摘要根据基金合同和基金招募说明书编写,并经中国证监会核准。基金合同是约定基金当事人之间权利、义务的法律文件。基金投资人自依基金合同取得基金份额,即成为基金份额持有人和本基金合同的当事人,其持有基金份额的行为本身即表明其对基金合同的承认和接受,并按照《基金法》、《运作办法》、基金合同及其他有关规定享有权利、承担义务。基金投资人欲了解基金份额持有人的权利和义务,应详细查阅基金合同。 基金管理人保证本基金招募说明书的内容真实、准确、完整。本基金招募说明书经中国证监会核准,但中国证监会对本基金募集的核准,并不表明其对本基金的价值和收益作出实质性判断或保证,也不表明投资于本基金没有风险。 本摘要所载内容截止日为2016年3月19日,有关财务数据和净值表现截止日为2015年12月31日。本基金托管人招商银行股份有限公司已复核了本次更新的招募说明书。 一、 基金合同生效日 2012年9月19日 二、 基金管理人 (一) 基金管理人概况 公司名称:中银基金管理有限公司 注册地址:上海市浦东新区银城中路200号中银大厦45楼 办公地址:上海市浦东新区银城中路200号中银大厦26楼、27楼、45楼 法定代表人:白志中 设立日期:2004年8月12日 电话:(021)38834999 传真:(021)68872488 联系人:高爽秋 注册资本:1亿元人民币 股权结构: ■ (二) 主要人员情况 1、董事会成员 白志中(BAI Zhizhong)先生,董事长。国籍:中国。上海交通大学工商管理专业硕士,高级经济师。历任中国银行山西省分行综合计划处处长及办公室主任,中国银行宁夏回族自治区分行行长、党委书记,中国银行广西壮族自治区分行行长、党委书记,中国银行四川省分行行长、党委书记,中国银行广东省分行行长、党委书记等职。现任中银基金管理有限公司董事长。 李道滨(LI Daobin)先生,董事。国籍:中国。清华大学法学博士。中银基金管理有限公司执行总裁。2000年10月至2012年4月任职于嘉实基金管理有限公司,历任市场部副总监、总监、总经理助理和公司副总经理。具有16年基金行业从业经验。 赵春堂(ZHAO Chuntang)先生,董事。国籍:中国。南开大学世界经济专业硕士。历任中国银行国际金融研究所干部,中国银行董事会秘书部副处长、主管,中国银行上市办公室主管,中国银行江西省分行行长助理、副行长、党委委员,中国银行个人金融总部副总经理等职。现任中国银行财富管理与私人银行部副总经理(主持工作)。 宋福宁(SONG Funing)先生,董事。国籍:中国。厦门大学经济学硕士,经济师。历任中国银行福建省分行资金计划处外汇交易科科长、资金计划处副处长、资金业务部负责人、资金业务部总经理,中国银行总行金融市场总部助理总经理,中国银行总行投资银行与资产管理部助理总经理等职。现任中国银行投资银行与资产管理部副总经理。 曾仲诚(Paul Tsang)先生,董事。国籍:中国。为贝莱德亚太区首席风险管理总监、董事总经理,负责领导亚太区的风险管理工作,同时担任贝莱德亚太区执行委员会成员。曾先生于2015年6月加入贝莱德。此前,他曾担任摩根士丹利亚洲首席风险管理总监,以及其亚太区执行委员会成员,带领独立的风险管理团队,专责管理摩根士丹利在亚洲各经营范围的市场、信贷及营运风险,包括机构销售及交易(股票及固定收益)、资本市场、投资银行、投资管理及财富管理业务。曾先生过去亦曾于美林的市场风险管理团队效力九年,并曾于瑞银的利率衍生工具交易\结构部工作两年。曾先生现为中国清华大学及北京大学的风险管理客座讲师。他拥有美国威斯康辛大学麦迪逊分校工商管理学士学位,以及宾夕法尼亚大学沃顿商学院工商管理硕士学位。 荆新(JING Xin)先生,独立董事。国籍:中国。现任中国人民大学商学院副院长、会计学教授、博士生导师、博士后合作导师,兼任财政部中国会计准则委员会咨询专家、中国会计学会理事、全国会计专业学位教指委副主任委员、中国青少年发展基金会监事、安泰科技股份有限公司独立董事、风神轮胎股份有限公司独立董事。曾任中国人民大学会计系副主任,中国人民大学审计处处长、中国人民大学商学院党委书记等职。 赵欣舸(ZHAO Xinge)先生,独立董事。国籍:中国。美国西北大学经济学博士。曾在美国威廉与玛丽学院商学院任教,并曾为美国投资公司协会(美国共同基金业行业协会)等公司和机构提供咨询。现任中欧国际工商学院金融学与会计学教授、副教务长和金融MBA主任,并在中国的数家上市公司和金融投资公司担任独立董事。 雷晓波(Edward Radcliffe)先生,独立董事。国籍:英国。法国INSEAD工商管理硕士。曾任白狐技术有限公司总经理,目前仍担任该公司的咨询顾问。在此之前,曾任英国电信集团零售部部门经理,贝特伯恩顾问公司董事、北京代表处首席代表、总经理,中英商会财务司库、英中贸易协会理事会成员。现任银硃合伙人有限公司合伙人。 杜惠芬(DU huifen)女士,独立董事。国籍:中国。山西财经大学经济学学士,美国俄克拉荷马州梅达斯经济学院工商管理硕士,澳大利亚国立大学高级访问学者,中央财经大学经济学博士。现任中央财经大学金融学院教授,兼任新时代信托股份有限公司独立董事。曾任山西财经大学计统系讲师、山西财经大学金融学院副教授、中央财经大学独立学院(筹)教授、副院长、中央财经大学金融学院副院长等职。 2、监事 赵绘坪(ZHAO Huiping)先生,监事。国籍:中国。中央党校经济管理专业本科、人力资源管理师、经济师。曾任中国银行人力资源部信息团队主管、中国银行人力资源部综合处副处长、处长、人事部技术干部处干部、副处长。 乐妮(YUE Ni)女士,职工监事。国籍:中国。上海交通大学工商管理硕士。曾分别就职于上海浦东发展银行、山西证券有限责任公司、友邦华泰基金管理公司。2006年7月加入中银基金管理有限公司,现任基金运营部总经理。具有15年证券从业年限,12年基金行业从业经验。 3、管理层成员 李道滨(LI Daobin)先生,董事、执行总裁。简历见董事会成员介绍。 欧阳向军(Jason X. OUYANG)先生,督察长。国籍:加拿大。中国证券业协会-沃顿商学院高级管理培训班(Wharton-SAC Executive Program)毕业证书,加拿大西部大学毅伟商学院(Ivey School of Business, Western University)工商管理硕士(MBA)和经济学硕士。曾在加拿大太平洋集团公司、加拿大帝国商业银行和加拿大伦敦人寿保险公司等海外机构从事金融工作多年,也曾任蔚深证券有限责任公司(现英大证券)研究发展中心总经理、融通基金管理公司市场拓展总监、监察稽核总监和上海复旦大学国际金融系国际金融教研室主任、讲师。 张家文(ZHANG Jiawen)先生,副执行总裁。国籍:中国。西安交通大学工商管理硕士。历任中国银行苏州分行太仓支行副行长、苏州分行风险管理处处长、苏州分行工业园区支行行长、苏州分行副行长、党委委员。 陈军(CHEN Jun)先生,副执行总裁,金融学硕士。曾任中信证券股份有限责任公司资产管理部项目经理。2004年加入中银基金管理有限公司,历任助理执行总裁等职。2006年10月至今任中银收益基金基金经理,2009年9月至2013年10月任中银中证100指数基金基金经理,2013年6月至今任中银美丽中国基金基金经理,2013年8月至今任中银中国基金基金经理。特许金融分析师(CFA),香港财经分析师学会会员。具有17年证券从业年限。 4、基金经理 李建(LI Jian)先生:中银基金管理有限公司固定收益投资部副总经理,董事(Director),经济学硕士研究生。曾任联合证券有限责任公司固定收益研究员,恒泰证券有限责任公司固定收益研究员,上海远东证券有限公司投资经理。2005年加入中银基金管理有限公司,2007年8月至2011年3月任中银货币基金基金经理,2008年11月至2014年3月任中银增利基金基金经理,2010年11月至2012年6月任中银双利基金基金经理,2011年6月至今任中银转债基金基金经理,2012年9月至今任中银保本基金基金经理,2013年9月至今任中银保本二号基金基金经理。2014年3月至今任中银多策略混合基金基金经理,2014年6月至今任中银聚利分级债券基金基金经理,2015年1月至今任中银恒利基金基金经理。具有18年证券从业年限。具备基金、证券、期货和银行间债券交易员从业资格。 5、 投资决策委员会成员的姓名及职务 主席:李道滨(执行总裁) 成员:陈军(副执行总裁)、杨军(资深投资经理)、奚鹏洲(固定收益投资部总经理)、李建(固定收益投资部副总经理) 列席成员:欧阳向军(督察长) 6、上述人员之间均不存在近亲属关系。 三、 基金托管人 基金托管人概况 1、基本情况 名称:招商银行股份有限公司(以下简称“招商银行”) 设立日期:1987年4月8日 注册地址:深圳市深南大道7088号招商银行大厦 办公地址:深圳市深南大道7088号招商银行大厦 注册资本:252.20亿元 法定代表人:李建红 行长:田惠宇 资产托管业务批准文号:证监基金字[2002]83号 电话:0755—83199084 传真:0755—83195201 资产托管部信息披露负责人:张燕 2、发展概况 招商银行成立于1987年4月8日,是我国第一家完全由企业法人持股的股份制商业银行,总行设在深圳。自成立以来,招商银行先后进行了三次增资扩股,并于2002年3月成功地发行了15亿A股,4月9日在上交所挂牌(股票代码:600036),是国内第一家采用国际会计标准上市的公司。2006年9月又成功发行了22亿H股,9月22日在香港联交所挂牌交易(股票代码:3968),10月5日行使H股超额配售,共发行了24.2亿H股。截止,2015年12月31日,本集团总资产5.475万亿元人民币,高级法下资本充足率12.57%,权重法下资本充足率11.91%。 2002年8月,招商银行成立基金托管部;2005年8月,经报中国证监会同意,更名为资产托管部,下设业务管理室、产品管理室、业务营运室、稽核监察室、基金外包业务室5个职能处室,现有员工60人。2002年11月,经中国人民银行和中国证监会批准获得证券投资基金托管业务资格,成为国内第一家获得该项业务资格上市银行;2003年4月,正式办理基金托管业务。招商银行作为托管业务资质最全的商业银行,拥有证券投资基金托管、受托投资管理托管、合格境外机构投资者托管(QFII)、全国社会保障基金托管、保险资金托管、企业年金基金托管等业务资格。 招商银行确立“因势而变、先您所想”的托管理念和“财富所托、信守承诺”的托管核心价值,独创“6S托管银行”品牌体系,以“保护您的业务、保护您的财富”为历史使命,不断创新托管系统、服务和产品:在业内率先推出“网上托管银行系统”、托管业务综合系统和“6心”托管服务标准,首家发布私募基金绩效分析报告,开办国内首个托管银行网站,成功托管国内第一只券商集合资产管理计划、第一只FOF、第一只信托资金计划、第一只股权私募基金、第一家实现货币市场基金赎回资金T+1到账、第一只境外银行QDII基金、第一只红利ETF基金、第一只“1+N”基金专户理财、第一家大小非解禁资产、第一单TOT保管,实现从单一托管服务商向全面投资者服务机构的转变,得到了同业认可。 经过十四年发展,招商银行资产托管规模快速壮大。2016年招商银行加大高收益托管产品营销力度,截止3月末新增托管公募开放式基金12只,新增首发公募开放式基金托管规模114.94亿元。克服国内证券市场震荡的不利形势,托管费收入、托管资产均创出历史新高,实现托管费收入11.835亿元,同比增长6.789%,托管资产余额7.596万亿元,同比增长104.08%。作为公益慈善基金的首个独立第三方托管人,成功签约“壹基金”公益资金托管,为我国公益慈善资金监管、信息披露进行有益探索,该项目荣获2012中国金融品牌「金象奖」“十大公益项目”奖;四度蝉联获《财资》“中国最佳托管专业银行”。 四、 相关服务机构 (一) 基金销售机构 1、直销机构 中银基金管理有限公司 注册地址:上海市浦东新区银城中路200号中银大厦45楼 办公地址:上海市浦东新区银城中路200号中银大厦26楼、45楼 法定代表人:白志中 电话:(021)38834999 传真:(021)68872488 1)中银基金管理有限公司直销柜台 地址:上海市浦东新区银城中路200号中银大厦45楼 客户服务电话:021-3883 4788, 400-888-5566 电子信箱:clientservice@bocim.com 联系人:徐琳 2)中银基金管理有限公司电子直销平台 本公司电子直销平台包括: 中银基金官方网站(www.bocim.com) 官方微信服务号(在微信中搜索公众号“中银基金”并选择关注) 中银基金官方APP客户端(在各大手机应用商城搜索“中银基金”下载安装) 客户服务电话:021-3883 4788, 400-888-5566 电子信箱:clientservice@bocim.com 联系人:张磊 2、基金管理人指定的其他销售机构 1) 中国银行股份有限公司 住所: 北京市西城区复兴门内大街1号 办公地址: 北京市西城区复兴门内大街1号 法定代表人:田国立 客户服务电话: 95566 联系人:宋亚平 网址:www.boc.cn 2) 招商银行股份有限公司 住所: 深圳市深南大道7088号招商银行大厦 办公地址: 深圳市深南大道7088号招商银行大厦 法定代表人: 李建红 客服电话: 95555 联系人: 邓炯鹏 网址:www.cmbchina.com 3) 中信银行股份有限公司 注册地址: 北京市东城区朝阳门北大街9号 办公地址: 北京市东城区朝阳门北大街9号 法定代表人:常振明 客服电话:95558 联系人:赵树林 网址:bank.ecitic.com 4)交通银行股份有限公司 注册地址:上海银城中路188号 办公地址:上海市银城中路188号 法定代表人:牛锡明 客户服务电话:95559 联系人:曹榕 网址:www.bankcomm.com 5)中国民生银行股份有限公司 注册地址:北京市西城区复兴门内大街2号 办公地址:北京市西城区复兴门内大街2号 法定代表人:洪崎 客户服务电话:95568 联系人:姚健英 公司网站:www.cmbc.com.cn 6)华夏银行股份有限公司 注册地址:北京市东城区建国门内大街22号 办公地址:北京市东城区建国门内大街22号 法定代表人:吴建 客户服务电话:95577 联系人:刘军祥 公司网站:http://www.hxb.com.cn 7)兴业银行股份有限公司 注册地址:福州市湖东路154号中山大厦邮政编码:350003 法定代表人:高建平 联系人:李博 联系电话:95561 公司网址:www.cib.com.cn 8)中银国际证券有限责任公司 注册地址:上海市浦东新区银城中路200号中银大厦39F 法定代表人:许刚 联系人:马瑾 联系电话:61195566 公司网站:www.bocichina.com 9)海通证券股份有限公司 注册地址:上海市淮海中路98号 办公地址:上海市广东路689号 法定代表人:王开国 联系人:李笑鸣 客服电话:95553或拨打各城市营业网点咨询电话 公司网站:www.htsec.com 10)国信证券股份有限公司 注册地址:深圳市罗湖区红岭中路1012号国信证券大厦十六层至二十六层 办公地址:深圳市罗湖区红岭中路1012号国信证券大厦十六层至二十六层 法定代表人:何如 联系人:周杨 客服电话:95536 公司网站:http://www.guosen.com.cn 11)光大证券股份有限公司 注册地址:上海市静安区新闸路1508号 办公地址:上海市静安区新闸路1508号 法定代表人:薛峰 联系人:刘晨、李芳芳 客服电话:95525 公司网站:www.ebscn.com 12)中信证券股份有限公司 注册地址:广东省深圳市福田区中心三路8号卓越时代广场(二期)北座 办公地址:北京市朝阳区亮马桥路48号中信证券大厦 法定代表人:王东明 联系人:陈忠 联系电话:95558 公司网站:www.cs.ecitic.com 13)兴业证券股份有限公司 注册地址:福州市湖东路268号 办公地址:上海市民生路1199弄证大五道口广场1号楼20楼 法定代表人:兰荣 客服电话:95562 联系人:夏中苏 公司网址:www.xyzq.com.cn 14)中信证券(山东)有限责任公司 注册地址:山东省青岛市崂山区深圳路222号1号楼2001 办公地址:青岛市崂山区深圳路222号青岛国际金融广场1号楼第20层 法定代表人:杨宝林 联系人:吴忠超 客服电话:(0532)96577 公司网站:http://www.zxwt.com.cn 基金管理人可根据有关法律法规的要求,选择其它符合要求的机构销售本基金,并及时公告。 (二)注册登记机构 名称:中国证券登记结算有限责任公司 注册地址:北京市西城区太平桥大街17号 办公地址:北京市西城区太平桥大街17号 法定代表人:周明 电话:(010)59378835 传真:(010)59378907 联系人:任瑞新 (三)出具法律意见书的律师事务所和经办律师 名称:上海通力律师事务所 住所:上海市银城中路68号时代金融中心19楼 负责人:韩炯 电话:(021)31358666 传真:(021)31358600 联系人:安冬 经办律师:吕红、安冬 (四)审计基金财产的会计师事务所 会计师事务所名称:安永华明会计师事务所(特殊普通合伙) 住所:北京市东城区东长安街1号东方广场东方经贸城安永大楼16层 法定代表人:吴港平 电话:010-58153000 传真:010-85188298 联系人:汤骏 经办会计师:汤骏、许培菁 (五)担保人 名称:中国投融资担保股份有限公司(在本部分简称为“中投保”) 住所:北京市海淀区西三环北路100号金玉大厦写字楼9层 办公地址:北京市海淀区西三环北路100号金玉大厦写字楼9层 法定代表人:黄炎勋 电话:010-88822847 传真:010-68437040 联系人:王晨 五、基金名称 中银保本混合型证券投资基金 六、基金的类型 契约型开放式 七、基金的投资目标 本基金在为适用本基金保本条款的基金份额提供保本保证的基础上,严控投资风险,力争基金资产在保本周期内的稳定增值。 八、基金的投资范围 本基金的投资范围为具有良好流动性的金融工具,包括国内依法发行上市的股票、债券以及法律法规或中国证监会允许基金投资的其他金融工具(但须符合中国证监会相关规定)。 本基金的投资对象主要分为两类:稳健资产和风险资产。稳健资产主要包括国债、金融债、央行票据、企业债、公司债、可转换债券(含分离交易可转债)、次级债、短期融资券、中期票据、资产支持证券、债券回购、银行存款等固定收益品种。风险资产主要包括股票、权证等权益类品种。 如法律法规或监管机构以后允许基金投资其他品种,基金管理人在履行适当程序后,可以将其纳入投资范围。 基金的投资组合比例为:本基金持有的稳健资产占基金资产的比例不低于60%。本基金持有的风险资产占基金资产的比例不高于40%,其中基金持有的全部权证的市值不超过基金资产净值的3%。本基金持有现金或者到期日在一年以内的政府债券不低于基金资产净值的5%。 九、投资策略 本基金充分发挥基金管理人的研究优势,采用CPPI投资组合保险策略和资产配置研究结果,动态调整稳健资产与风险资产的投资比例,以确保保本周期到期时,实现基金资产在保本基础上的保值增值的目的。 1、资产配置策略 本基金资产配置策略分为两个层次:一层为对风险资产和稳健资产的配置,该层次以投资组合保险策略为依据,即风险资产可能的损失额不超过安全垫;另一层为对风险资产、稳健资产内部的配置策略。基金管理人将根据情况对这两个层次的策略进行调整。 CPPI为国际通行的投资组合保险策略。本基金结合CPPI保险原理以及资产配置研究结果,根据市场的波动和组合安全垫动态调整,调整稳健资产与收益资产投资的比例。 CPPI的运作架构为: 第一步,根据投资组合期末最低目标价值(在本基金中该值为人民币1.00元/基金份额)和合理的折现率设定当前应持有的安全资产的数量,即投资组合的安全底线; 第二步,计算投资组合净值超过安全底线的数额,该数值即为安全垫; 第三步,将相当于安全垫特定倍数(放大倍数)的资金规模投资于风险资产以创造高于最低目标价值的收益,其余资产投资于安全资产。 在期间[0,T]内,可投资于风险资产的投资额度计算公式为: ■ 综合考虑宏观经济研究及宏观经济政策、证券市场估值水平、盈利预测、市场流动性和市场情绪,确定股票、债券和现金类资产等大类资产的预期收益、风险和各种情景发生的概率;结合资产配置研究结果和市场运行状态,动态调整稳健资产和风险资产的配置比例。 根据CPPI策略要求,放大倍数在一定时间内保持恒定才能保证在安全垫减少至零时,风险资产的数量也能按需要同时减少至零,以保证基金的本金安全。在实际应用中,如果要保持安全垫放大倍数的恒定,则需根据投资组合市值的变化随时调整风险资产与安全资产的比例,而这将给基金带来高昂的交易费用;同时,当市场发生较大变化时,为维持固定的放大倍数,基金有可能出现过激投资(风险资产过多或过少)。 为此,本基金对于放大倍数采取定期调整的方法进行处理。一般情况下,基金管理人研究部每月对未来一个月的股票市场、债券市场风险收益水平进行定量分析,结合宏观经济运行情况、利率水平等因素,制订下月的放大倍数区间,并提交投资决策委员会审核确定;然后,基金经理根据放大倍数区间,综合考虑股票市场环境、已有安全垫额度、基金净值、距离保本周期到期时间等因素,对放大倍数进行调整。在特殊情况下,例如市场发生重大突发事件,或预期将产生剧烈波动时,本基金也将对放大倍数进行及时调整。 2、稳健资产投资策略 在全球经济的框架下,本基金管理人分析宏观经济运行趋势及财政货币政策变化,运用数量化工具,预测未来市场利率趋势及市场信用环境,综合考虑利率、信用、流动性、行业和个券风险,构造债券组合。在具体操作中,本基金灵活运用如下策略,力争获取风险调整后的稳健收益。 (1)久期配置策略: 本基金管理人以全球经济的视野认真研判全球及中国宏观经济运行情况,及由此引致的货币政策、财政政策,密切跟踪CPI、PPI、M2、M1、汇率等利率敏感指标,通过定性与定量相结合的方式,对未来中国债券市场利率走势进行分析与判断,并由此确定合理的债券组合久期。 ①宏观经济环境分析:通过跟踪、研判诸如工业增加值同比增长率、社会消费品零售总额同比增长率、固定资产投资额同比增长率、进出口额同比增长率等宏观经济数据,判断宏观经济运行趋势及其在经济周期中所处位置,预测国家货币政策、财政政策取向及当前利率在利率周期中所处位置;基于利率周期的判断,密切跟踪、关注诸如月度CPI、PPI等物价指数、银行准备金率、货币供应量、信贷状况等金融运行数据,对外贸易顺逆差、外商直接投资额等实体经济运行数据,研判利率在中短期内变动趋势,及国家可能采取的调控政策; ②利率变动趋势分析:基于对宏观经济运行状态以及利率变动趋势的判断,同时考量债券市场资金面供应状况、市场主流预期等因素,预测债券收益率变化趋势; ③久期分析:根据利率周期变化、市场利率变动趋势、市场主流预期,以及当期债券收益率水平,通过合理假设下的情景分析和压力测试,最后确定最优的债券组合久期。原则上,利率处于上行通道中,则缩短目标久期;反之则延长目标久期。 (2)期限结构配置策略 期限结构配置策略原则上是基于收益率曲线变化的情景分析,自上而下的进行资产配置,构建最优化债券组合。 在确定组合目标久期后,通过研究收益率曲线结构,采用情景分析方法对各期限段债券风险收益特征进行评估,将预期收益率与波动率匹配度最高的期限段进行配比,从而在子弹组合、哑铃组合和梯形组合中选择风险收益特征最优的配置组合。 (3)类属配置策略 本基金管理人通过考量不同类型固定收益品种的信用风险、市场风险、流动性、赋税水平等因素,研究同期限各投资品种利差及其变化趋势,制定债券类属配置策略,以捕获不同债券类属之间利差变化所带来潜在投资收益。 (4)信用类债券策略 企业(公司)债券与国债的利差曲线理论上受经济波动与企业生命周期影响,相同资信等级的公司债在利差期限结构上服从凸性回归均衡的规律。内外部评级的差别与信用等级的变动会造成相对利差的变动,另外,在经济上升与下降的周期中企业债利差将缩小或扩大。 本基金通过研判宏观经济走势,债券发行主体所处行业周期以及其财务状况,对固定收益品种的信用风险进行度量和定价,分析其收益率相对于信用风险的保护程度和溢价水平,结合流动性状况综合考虑,选择信用利差溢价较高且不失流动性的品种。 本基金对于金融债、信用等级为投资级的企业(公司)债等信用类债券采取自上而下与自下而上相结合的投资策略。通过内部的信用分析方法对可选债券品种进行筛选过滤,内部信用分析方法通过自上而下地考察宏观经济环境、国家产业发展政策、行业发展状况和趋势、监管环境、公司背景、竞争地位、治理结构、盈利能力、偿债能力、现金流水平等诸多因素,通过给予不同因素不同权重,采用数量化方法对主体所发行债券进行打分和信用评级,只有内部评级为1、2、3级别(“投资级”)信用类债券方可纳入备选品种池供投资选择。 (5)回购放大策略 本基金可以在基础组合基础上,使用基础组合持有的债券进行回购放大融入短期资金滚动操作,同时选择交易所和银行间品种进行投资以捕获骑乘及短期债券与货币市场利率的利差。 (6)可转换债券投资策略 本基金管理人将认真考量可转换债券的股权价值、债券价值以及其转换期权价值,将选择具有较高投资价值的可转换债券。 针对可转换债券的发行主体,本基金管理人将考量包括所处行业景气程度、公司成长性、市场竞争力等因素,参考同类公司估值水平评价其股权投资价值;通过考量利率水平、票息率、付息频率、信用风险及流动性等综合因素判断其债券投资价值;采用经典期权定价模型,量化其转换权价值,并予以评估。本基金将重点关注公司基本面良好、具备良好的成长空间与潜力、转股溢价率和投资溢价率合理并有一定下行保护的可转债。 (7)资产支持证券的投资策略 本基金管理人通过考量宏观经济形势、提前偿还率、违约率、资产池结构以及资产池资产所在行业景气情况等因素,预判资产池未来现金流变动;预测提前偿还率变化对标的证券平均久期及收益率曲线的影响,密切关注流动性变化,在严格控制信用风险暴露程度的前提下,选择风险调整后收益较高的品种进行投资。 (8)其它辅助投资策略 ①跨市场套利 中国债券市场分为银行间市场和交易所市场两个子市场,其中投资群体、交易方式等市场要素不同,使得两个市场的资金面和市场利率在一定期间内可能存在定价偏离。本基金在充分论证这种套利机会可行性的基础上,寻找最佳介入时机,进行跨市场操作,获得安全的超额收益; ②跨品种套利 由于投资群体的差异,期限相近的品种因为其流动性、赋税等因素造成内在价值出现明显偏离时,本基金可以在保证流动性的基础上,进行品种间的套利操作,增加超额收益; ③滚动配置策略 根据具体投资品种的市场特性,采用持续滚动投资的方法,以提高基金资产的整体持续的变现能力; ④骑乘策略 通过分析收益率曲线各期限段的利差情况,本基金可以买入收益率曲线最陡峭处所对应的期限债券,随着基金持有债券时间的延长,债券的剩余期限将缩短,到期收益率将下降,从而可获得资本利得收入。 3、风险资产投资策略 (1)股票投资策略 本基金股票投资采用行业配置与个股精选相结合的投资策略,在定性和定量分析的基础上,通过优选具有良好成长性、成长质量优良、定价相对合理的股票进行投资,以谋求超额收益。 ①定性分析 本基金管理人综合分析宏观经济、产业经济和微观上市公司,以及特定投资时期的市场阶段性投资机会,发掘具有持续经营能力和盈利稳定增长的行业和公司。 宏观经济层面主要考虑特定投资时期的经济发展,长中短经济周期和经济周期的具体阶段;产业经济层面主要考虑不同经济发展阶段和不同经济周期时期的主导产业特征、不同产业的景气周期特征和国家产业政策的取向;上市公司层面主要考虑公司治理结构、产品结构、技术结构、管理能力、公司战略、公司在行业中的地位、品牌优势和核心竞争力等。市场阶段性投资机会是在经济发展不同的阶段挖掘有效的投资策略。 ②定量分析 本基金管理人建立投资量化分析体系,科学严谨地分析市场、行业和股票。 a.整体市场量化分析体系包括价值指标、趋势性指标和盈利指标等。价值指标由绝对和相对价值指标组成:绝对指标通过DDM模型分析和DCF模型计算得出;相对指标包括静态和动态的估值指标(PE、PB、PS、PCF),趋势性指标包含市场长期和短期的价格变化趋势,盈利指标净利润率、净资产收益率、收益增长和收益预测等。 b.行业量化分析体系包括行业价值指标,趋势性指标和盈利指标等。价值指标由绝对和相对价值指标组成:绝对指标通过DDM模型分析和DCF模型计算得出;相对指标包括静态和动态的估值指标(PE、PB、PS、PCF),趋势性指标包含行业长期和短期的价格变化趋势;盈利指标净利润率、净资产收益率、收益增长和收益预测等。 c.公司量化分析体系主要考察上市公司的估值水平,盈利增长、运营能力、负债水平和价格趋势等指标。本基金奉行“价值与成长相结合”的选股原则,即选择具备价值性和成长性的股票进行投资。在价值维度,主要考察股票账面价值与市场价格的比率和预期每股收益与股票市场价格的比率等;在成长维度,主要考察公司未来每股收益相对于目前每股收益的预期增长率、可持续增长率和主营业务增长率等指标。 (2)权证投资策略 本基金的权证投资以权证的市场价值分析为基础,配以权证定价模型寻求其合理估值水平,以主动式的科学投资管理为手段,充分考虑权证资产的收益性、流动性及风险性特征,通过资产配置、品种与类属选择,追求基金资产稳定的当期收益。 十、变更后的“中银稳健策略灵活配置混合型证券投资基金”的投资 (一)投资目标 根据宏观经济周期和市场环境的变化,该基金通过自上而下积极、动态的资产配置,在股市和债市之间选择投资机会,精选股票和债券品种,致力于在多种市场环境下为投资者创造超额收益。 (二)投资范围 该基金的投资范围为具有良好流动性的金融工具,包括国内依法发行上市的股票、债券以及法律法规或中国证监会允许基金投资的其他金融工具(但须符合中国证监会相关规定)。 该基金的固定收益类资产主要包括国债、金融债、央行票据、企业债、公司债、可转换债券(含分离交易可转债)、次级债、短期融资券、中期票据、资产支持证券、债券回购、银行存款等固定收益品种。 如法律法规或监管机构以后允许基金投资其他品种,基金管理人在履行适当程序后,可以将其纳入投资范围。 该基金持有的股票、权证等权益类资产占基金资产的比例为30-80%,国债、金融债、央行票据、企业债、公司债、可转换债券(含分离交易可转债)、次级债、短期融资券、中期票据、资产支持证券、债券回购、银行存款等固定收益类资产占基金资产的比例为20-70%,权证投资占基金资产净值的比例为0-3%。持有现金或者到期日在一年以内的政府债券不低于基金资产净值的5%。 (三)投资策略 该基金在基本面研究和量化策略分析的基础上,通过分析和判断宏观经济周期和市场环境变化趋势,动态调整大类资产配置比例,同时将严谨、规范化的选股方法与积极主动的投资风格相结合,运用自下而上的个股、个券投资策略,构建投资组合,并进行积极有效的风险控制和实时动态的组合优化。 该基金的投资管理主要分为两个层次:第一个层次是自上而下的资产类别配置,第二个层次是自下而上的个券精选。 1、资产类别配置 该基金在资产配置中贯彻“自上而下”的投资策略,根据全球宏观形势、中国经济发展(包括经济运行周期变动、市场利率水平、通货膨胀率、货币供应量等),并结合对市场估值、流动性、投资主体行为、市场情绪等因素的综合判断,分析各类资产的预期风险收益水平,进行基金资产在股票、债券和现金三大资产类别间的配置和实时监控。 本基金管理人根据不同的调整力度和调整周期,将资产配置分为战略资产配置和战术资产配置。战略资产配置指调整有效期为一年以上的资产配置,在确定各类资产的预期回报率和波动率的前提下,对满足投资目标的资产进行配置。战术资产配置通过对市场中短期趋势的判断,对资产配置进行微调,以获取市场中短期存在的超额收益,降低短期波动带来的风险。 在正常市场状况下,投资组合中权益类资产的投资比例为30-80%,固定收益类资产的投资比例为20-70%,根据对宏观经济和市场状态的具体判断,也可以持有适当的现金类资产。 2、股票投资策略 该基金采取“自下而上”的方式,运用数量化的分析模型、科学严谨的财务分析和深入的上市公司调研等多种手段精选个股,并在此基础上构建调整股票投资组合。 该基金将采用数量分析与定性分析相结合的方法,筛选发展前景良好的行业中处于领先地位且财务健康、具备长期增长潜力的上市公司,并通过严格的基本面分析、调研和价值评估作进一步论证,选择市场估值合理的上市公司股票。 在沪深证券交易所市场上市的所有A股中,剔除以下股票后的剩余部分即形成该基金的选股空间: ●剔除ST、*ST股票、以及受到监管机构公开谴责或处罚未满半年和涉及重大案件或诉讼的股票; ●剔除最近财务报告严重亏损的股票; ●剔除流动性相对不足的股票。 (1)财务指标筛选 按照主营业务收入、ROE、EBITDA等反映盈利水平的指标由高到低排序,在每个行业内截取排名前50%的上市公司作为初选股票池;然后,通过对市场占有率等系列辅助指标的分析,考察上市公司的行业领先能力。 (2)数量化模型筛选 运用基金管理人自主研发的数量模型对初选股票池进一步筛选,目的是通过一系列评估指标,精选出具有投资价值和增长潜力的公司,减少组合样本的数量,提高组合样本的质量,便于下一步骤的定性分析和个股调研。 (3)领先能力定性分析 在数量化模型筛选后,本基金管理人将从以下四个方面系统地对公司进行深入分析,进一步缩小投资范围,以便集中跟踪各行业中最具竞争力的领先企业。 ①行业分析 研究特定行业的基本特点,深入分析行业增长的驱动因素和主要业务的驱动因素,从而寻找出在这些驱动因素作用下,能够继续保持行业领先地位或者能够获得行业领先地位的上市公司。 ②企业竞争力的确定 本管理人将利用波特竞争力五要素分析体系来分析上市企业的核心竞争力。 ③公司盈利模式评估 上市公司过去的领先地位使公司在现在的竞争环境中占据优势,但过往成绩不能保证上市公司在未来继续保持行业领先地位。该基金更重视上市公司在未来的行业地位,通过对其生产、技术、市场等方面的深入研究,分析其盈利模式,从而判断其是否具有持续的行业领先能力。 ④治理结构分析 本基金管理人建立了一套评价上市公司治理结构的系统作为决定公司投资价值的指标之一。其中衡量企业治理架构的因素包括财务的透明度、企业管理的独立性、管理层素质、企业政策的稳定性、对小股东的公平性等。 其中,企业管理层素质和能力的高低是决定企业是否具有行业领先地位的关键因素,该基金从管理层能力、制订战略、组织结构和激励机制等方面着重考察公司管理层的质量。 (4)内在价值及相对价值评估 对于筛选出的核心股票池,本基金管理人会对企业的营运和盈利状况及业绩的长期增长趋势进行一系列价值分析,决定其内在价值和可能回报,以确定每股的最终目标价格,并挖掘价值被市场显著低估的企业。 经过以上程序,本基金管理人将精选出行业地位领先、估值合理并且盈利增长前景明确的上市公司股票构建股票投资组合。日后组合管理维护中,当发现股票的基本面及定价等因素发生较大变化,不再满足相关选择标准时,投资经理应在合理的时间内将该股票剔除。 3、债券投资策略 (1)整体配置策略 该基金在债券投资组合构建和管理的过程中,首先通过久期配置策略确定组合久期,然后通过期限结构配置策略确定组合的期限结构配置,最后通过类属配置策略实现对于各类债券品种的配置。 ①久期配置策略 久期配置策略本质上是一种自上而下的管理策略,旨在对债券组合进行合理的久期控制,以实现对利率风险的有效管理。该策略是债券组合投资策略的根本。 本基金管理人将通过宏观经济环境分析、利率变动趋势分析和久期分析确定合理的债券组合久期。 ●宏观经济环境分析:通过跟踪、研判工业增加值同比增长率、社会消费品零售总额同比增长率、固定资产投资额同比增长率等宏观经济数据,密切关注月度CPI、PPI等物价指数,银行准备金率、货币供应量、信贷状况等金融运行数据,对外贸易顺逆差、外商直接投资额等实体经济运行数据,判断宏观经济运行趋势及其在经济周期中所处的位置; ●利率变动趋势分析:基于对宏观经济运行状态以及利率变动趋势的判断,同时考量债券市场资金面供应状况、市场主流预期等因素,预测债券收益率变化趋势; ●久期分析:根据对利率变动趋势的预测以及当期债券收益率水平,确定债券组合目标久期。原则上,利率处于上行通道中,则缩短目标久期;反之则延长目标久期。 ②期限结构配置策略 在确定组合目标久期后,通过研究收益率曲线结构,采用收益率曲线分析模型对各期限段债券的风险收益特征进行评估。通过自有数量化模型,采用综合情景分析法,将预期收益率最高的期限段进行配比组合,从而在子弹组合、哑铃组合和梯形组合中选择风险收益特征最优的配置方案。 ③类属配置策略 本基金管理人通过考量不同类型固定收益品种的信用风险、市场风险、流动性、赋税水平等因素,研究同期限各投资品种的利差及其变化趋势,制定债券类属配置策略,以捕获不同债券类属之间利差变化所带来的潜在投资收益。 (2)其他辅助性策略 除上述基本配置策略,该基金在债券组合的实际管理过程中还将运用其他辅助策略,在严格控制投资风险的前提下,争取把握债券市场的投资机会,增强投资收益。 ①跨市场套利 中国债券市场分为银行间市场和交易所市场两个子市场,其中投资群体、交易方式等市场要素不同,使得两个市场的资金面和市场利率在一定期间内可能存在定价偏离。该基金在充分论证这种套利机会可行性的基础上,寻找最佳介入时机,进行跨市场操作,获得安全的超额收益; ②跨品种套利 由于投资群体的差异,期限相近的品种因为其流动性、赋税等因素造成内在价值出现明显偏离时,该基金可以在保证流动性的基础上,进行品种间的套利操作,增加超额收益; ③滚动配置策略 根据具体投资品种的市场特性,采用持续滚动投资的方法,以提高基金资产的整体持续的变现能力; ④骑乘策略 通过分析收益率曲线各期限段的利差情况,该基金可以买入收益率曲线最陡峭处所对应的期限债券,随着基金持有债券时间的延长,债券的剩余期限将缩短,到期收益率将下降,从而可获得资本利得收入。 4、权证投资策略 该基金的权证投资以权证的市场价值分析为基础,配以权证定价模型寻求其合理估值水平,以主动式的科学投资管理为手段,充分考虑权证资产的收益性、流动性及风险性特征,通过资产配置、品种与类属选择,追求基金资产稳定的当期收益。 十一、基金的保本 (一)担保人基本情况 为确保履行保本条款,保障基金份额持有人利益,本基金的第二个保本周期由中国投融资担保有限公司作为担保人。 1、担保人名称:中国投融资担保股份有限公司(以下简称“中投保”) 2、住所:北京市海淀区西三环北路100号金玉大厦写字楼9层 3、办公地址:北京市海淀区西三环北路100号金玉大厦写字楼9层 4、法定代表人:黄炎勋 5、成立日期:1993年12月4日 6、联系人信息 联系人:王晨 电话:(010)88822847 7、组织形式:股份有限公司 8、注册资本:45亿元人民币 9、经营范围:融资性担保业务:贷款担保、票据承兑担保、贸易融资担保、项目融资担保、信用证担保及其他融资性担保业务。监管部门批准的其他业务:债券担保、诉讼保全担保、投标担保、预付款担保、工程履约担保、尾付款如约偿付担保等履约担保业务,与担保业务有关的融资咨询、财务顾问等中介服务,以自有资金投资。投资及投资相关的策划、咨询;资产受托管理;经济信息咨询;人员培训;新技术、新产品的开发、生产和产品销售;仓储服务;组织、主办会议及交流活动。上述范围涉及国家专项规定管理的按有关规定办理。 10、其他:中投保的前身为中国经济技术投资担保有限公司,是经国务院批准特例试办,于1993年12月4日在国家工商行政管理局注册成立的国内首家以信用担保为主要业务的全国性专业担保机构。中投保由财政部和原国家经贸委共同发起组建,初始注册资本金5亿元,2000年中投保注册资本增至6.65亿元。2006年,经国务院批准,中投保整体并入国家开发投资公司,注册资本增至30亿元。2010年9月2日,中投保通过引进知名投资者的方式,从国有法人独资的一人有限公司,变更为中外合资的有限责任公司,并通过向投资人增发注册资本,将中投保的注册资本金增至35.21亿元,后经资本公积金转增,于2012年8月6日将注册资本金增至45亿元人民币。2015年8月19日,中投保企业形式由有限责任公司变更为股份有限公司,名称相应变更为中国投融资担保股份有限公司。2013年,公司分别获得中诚信国际信用评级有限责任公司、联合资信评估有限公司、大公国际资信评估有限公司给予的金融担保机构长期主体信用等级AA+。 (二)担保人对外承担保证责任的情况 截至2015年6月,中投保对外担保的在保余额为1316.74亿元;中投保为29只基金提供担保,实际基金担保责任金额合计270.66亿元人民币。 (三)保证合同 鉴于: 《中银保本混合型证券投资基金基金合同》(以下简称“《基金合同》”)约定了基金管理人的保本义务(见《基金合同》第十二部分)。为保护基金投资者合法权益,依照《中华人民共和国担保法》、《中华人民共和国合同法》、《中华人民共和国证券投资基金法》、《关于保本基金的指导意见》等法律法规的规定,基金管理人和担保人在平等自愿、诚实信用、充分保护基金投资者及相关当事人的合法权益的原则基础上,特订立《中银保本混合型证券投资基金保证合同》(以下简称“本合同”或“《保证合同》”)。担保人就本基金第二保本周期(在本协议中简称称“当期”)的保本责任提供连带责任保证担保,具体为就本基金的上一保本周期选择或默认选择转入当期保本周期并持有到当期保本周期到期日的基金份额,以及过渡期申购并持有到当期保本周期到期日的基金份额所承担保本义务的履行提供不可撤销的连带责任保证。担保人保证责任的承担以本《保证合同》为准。 《保证合同》的当事人包括基金管理人、担保人和基金份额持有人。基金投资者自依《基金合同》取得基金份额,即成为基金份额持有人和《保证合同》的当事人,其购买基金份额的行为本身即表明其对《保证合同》的承认、接受和同意。 除非本《保证合同》另有约定,本《保证合同》所使用的词语或简称与其在《基金合同》中的释义部分具有相同含义。 1、保证的范围和最高限额 (1)本基金为当期基金份额持有人持有到期的基金份额提供的保本额(以下简称“保本额”),分为上一保本周期选择或默认选择转入当期保本周期并持有到当期保本周期到期日的基金份额的保本额,以及过渡期申购并持有到当期保本周期到期日的基金份额的保本额。分别按以下方式进行计算: i.从上一保本周期选择或默认选择转入当期保本周期并持有到期的基金份额持有人的保本额为: 从上一保本周期选择或默认选择转入当期保本周期并持有到期的基金份额持有人的保本额=基金份额持有人选择或默认选择转入当期保本周期并持有到期的基金份额在基金份额折算日所代表的资产净值 ii.过渡期申购并持有到期的基金份额持有人的保本额为: 过渡期申购并持有到期的基金份额持有人的保本额=基金份额持有人过渡期申购并持有到期的基金份额在基金份额折算日所代表的资产净值 (2)担保人承担保证责任的金额即保证范围为: i.对于基金份额持有人从上一保本周期选择或默认选择转入当期保本周期并持有到期的基金份额,担保人的保证范围为基金份额持有人从上一保本周期选择或默认选择转入当期保本周期并持有到期的基金份额与当期保本周期到期日基金份额净值的乘积加上相应基金份额当期保本期内的累计分红金额之和计算的总金额低于从上一保本周期选择或默认选择转入当期保本周期并持有到期的基金份额持有人的保本额的差额部分(以下简称“转入保本赔付差额”); ii.对于基金份额持有人过渡期申购并持有到期的基金份额,担保人的保证范围为基金份额持有人过渡期申购并持有到期的基金份额与当期保本周期到期日基金份额净值的乘积加上相应基金份额当期保本期内的累计分红金额之和计算的总金额低于过渡期申购并持有到期的基金份额持有人的保本额的差额部分(以下简称“过渡期申购保本赔付差额”)。 保本赔付差额统指转入保本赔付差额与过渡期申购保本赔付差额。 (3)本基金当期保本周期的募集上限为70亿元人民币。 (4)除上述基金份额持有人从上一保本周期选择或默认选择转入当期保本周期并持有到期的基金份额及过渡期申购并持有到期的基金份额之外,基金份额持有人在当期保本周期内申购或者转换入、以及在当期保本周期到期日前(不包括该日)赎回或转换出的基金份额均不在保证范围之内,且担保人承担保证责任的最高限额不超过当期保本周期起始日确认的保本额。 (5)保本周期到期日是指本基金保本周期(如无特别指明,保本周期即为当期保本周期)届满的最后一日。本基金的保本周期为三年,自本基金公告的当期保本周期起始之日起至三个公历年后对应日止,如该对应日为非工作日,保本周期到期日顺延至下一个工作日。 2、保证期间 保证期间为基金保本周期到期日起六个月。 3、保证的方式 在保证期间,本担保人在保证范围内承担不可撤销的连带保证责任。 4、除外责任 下列任一情形发生时,担保人不承担保证责任: (1)在保本周期到期日,按基金份额持有人从上一保本周期选择或默认选择转入当期保本周期并持有到期的基金份额、过渡期申购并持有到期的基金份额与保本周期到期日基金份额净值的乘积加上相应基金份额当期保本期内的累计分红款项之和计算的总金额不低于其保本额; (2)基金份额持有人过渡期申购、或从上一保本周期选择或默认选择转入当期保本周期,但在当期保本周期到期日前(不包括该日)赎回或转换出本基金的基金份额; (3)基金份额持有人在当期保本周期内申购或转换转入的本基金的基金份额; (4)在保本周期内发生《基金合同》规定的《基金合同》终止的情形; (5)在保本周期内发生本基金与其他基金合并或更换基金管理人的情形,且担保人不同意继续承担保证责任; (6)在保本周期到期日之后(不包括该日),基金份额发生的任何形式的净值减少; (7)因不可抗力的原因导致基金投资亏损;或因不可抗力事件直接导致基金管理人无法按约定履行全部或部分义务或延迟履行义务的,或《基金合同》规定的其他情形基金管理人免于履行保本义务的; (8)未经担保人书面同意修改《基金合同》条款,可能加重担保人保证责任的,根据法律法规要求进行修改的除外。 5、责任分担及清偿程序 (1)基金份额持有人于此同意授权基金管理人作为其代理人代为行使向担保人索偿的权利并办理相关的手续(包括但不限于向担保人发送《履行保证责任通知书》及代收相关款项等)。如果保本周期到期日基金份额持有人从上一保本周期选择或默认选择转入当期保本周期并持有到期的基金份额、过渡期申购并持有到期的基金份额,与保本周期到期日基金份额净值的乘积加上相应基金份额当期保本期内的累计分红金额之和低于保本额,基金管理人未能按照《基金合同》的约定全额履行保本义务的,基金管理人应在保本周期到期日后5个工作日内,向担保人发出书面《履行保证责任通知书》(应当载明基金管理人应向基金份额持有人支付的本基金保本赔付差额、基金管理人已自行偿付的金额、需担保人支付的代偿款项以及基金管理人指定的本基金在基金托管人处开立的指定账户信息)。 (2)担保人应在收到基金管理人发出的《履行保证责任通知书》后的5个工作日内,将《履行保证责任通知书》载明的代偿款项划入基金管理人指定的本基金在基金托管人处开立的账户中,由基金管理人将该代偿款项支付给基金份额持有人。担保人将上述代偿金额全额划入基金管理人指定的本基金在基金托管人处开立的账户中后即为全部履行了保证责任,担保人无须对基金份额持有人逐一进行代偿。代偿款项的分配与支付由基金管理人负责,担保人对此不承担责任。 (3)基金管理人最迟应在保本周期到期日后20个工作日(含第20个工作日)内将保本赔付差额支付给基金份额持有人。 (4)如果保本周期到期日,基金份额持有人从上一保本周期选择或默认选择转入当期保本周期并持有到期的基金份额、过渡期申购并持有到期的基金份额,与到期日基金份额净值的乘积加上相应基金份额当期保本期内的累计分红金额之和低于保本额,基金管理人及担保人未履行《基金合同》及本合同上述条款中约定的保本义务及保证责任的,自保本周期到期后第21个工作日起,基金份额持有人可以根据《基金合同》第二十二部分“争议的处理和适用的法律”约定,直接向基金管理人或担保人请求解决保本赔付差额支付事宜,但基金份额持有人直接向担保人追偿的,仅得在保证期间内提出。 6、追偿权、追偿程序和还款方式 (1)担保人履行了保证责任后,即有权要求基金管理人归还担保人为履行保证责任支付的全部款项(包括但不限于担保人按《履行保证责任通知书》所载明金额支付的实际代偿款项、基金份额持有人直接向担保人要求代偿的金额、基金份额持有人通过召开基金份额持有人大会向担保人要求代偿的金额及担保人为履行保证责任支付的其他金额,前述款项重叠部分不重复计算)和自支付之日起的利息以及担保人的其他费用和损失,包括但不限于担保人为代偿追偿产生的律师费、调查取证费、通讯费、诉讼费、保全费、评估费、拍卖费、公证费、差旅费、抵押物或质押物的处置费等。 (2)基金管理人应自担保人履行保证责任之日起一个月内,向担保人提交担保人认可的还款计划,在还款计划中载明还款时间、还款方式,并按担保人认可的还款计划归还担保人为履行保证责任支付的全部款项和自支付之日起的利息以及担保人的其他费用和损失。基金管理人未能按本条约定提交担保人认可的还款计划,或未按还款计划履行还款义务的,担保人有权要求基金管理人立即支付上述款项及其他费用,并赔偿给担保人造成的损失。 7、担保费的支付 (1)基金管理人应按本条规定向担保人支付担保费。 (2)担保费支付方式:担保费从基金管理人收取的本基金管理费中列支,按本条第3款公式每日计算,逐日累计至每月月末,按月支付。基金管理人应于每月收到基金管理费之后的五个工作日内向担保人支付担保费。担保人于收到款项后的五个工作日内向基金管理人出具合法发票。 (3)每日担保费计算公式=担保费计算日前一日基金资产净值×2%。×1/当年日历天数。 担保费计算期间自本基金公告的当期保本周期起始之日起,至担保人解除保证责任之日或保本周期到期日较早者止,起始日及终止日均应计入期间。 8、适用法律及争议解决方式 本《保证合同》适用中华人民共和国法律。发生争议时,各方应通过协商解决;协商不成的,任何一方均可向中国国际经济贸易仲裁委员会提起仲裁,仲裁地点为北京,且仲裁裁决为终局,并对各方当事人具有约束力,仲裁费由败诉方承担。 9、其他条款 (1)基金管理人应向本基金的基金份额持有人公告本《保证合同》。 (2)本《保证合同》自基金管理人、担保人双方法定代表人(或授权代表)签字(或盖人名章)并加盖公司公章之日起成立,自当期保本周期起始日起生效。 (3)本基金保本周期到期日后,基金管理人、担保人双方全面履行了本合同规定的义务,本合同终止。 (4)担保人承诺继续对本基金下一个保本周期提供保本保障的,基金管理人、担保人另行签署合同。 (四)保证费用的费率和支付方式 1、保证费率 本基金第二个保本周期内的保证费用按前一日基金资产净值的2%。年费率计提。保证费用的计算方法如下: H=E×2%。×1/当年天数 H为每日应计提的保证费用 E为前一日的基金资产净值 保证费用计算期间自基金合同生效之日起,至担保人解除保证责任之日或保本周期到期日较早者止,起始日及终止日均应计入期间。 2、支付方式 在基金保本周期内,本基金的保证费用从基金管理人的管理费收入中列支。保证费用每日计算,逐日累计至每月月末,按月支付。由基金管理人于每月收到基金管理费之后的5个工作日内支付给担保人。担保人于收到款项后的5个工作日内向基金管理人出具合法发票。 (五)保本 1、保本 本基金第一个保本周期到期日,如基金份额持有人认购并持有到期的基金份额与到期日基金份额净值的乘积(即“认购并持有到期的基金份额的可赎回金额”)加上该部分基金份额在第一个保本周期的累计分红款项之和低于其保本金额,基金管理人应补足该差额(即保本赔付差额),并在保本周期到期日后20个工作日内(含该第20个工作日)将该差额支付给基金份额持有人;其后各保本周期到期日,如基金份额持有人过渡期申购、或从上一保本周期转入当期保本周期并持有到期的基金份额的可赎回金额加上该部分基金份额在当期保本周期内的累计分红款项之和低于其保本金额,由当期有效的基金合同、《保证合同》或《风险买断合同》约定的基金管理人或保本义务人将该保本赔付差额支付给基金份额持有人。 基金份额持有人在保本周期内申购或转换入,或在当期保本周期到期日前(不包括该日)赎回或转换出的基金份额不适用本条款。 本基金第一个保本周期的保本金额=基金份额持有人认购并持有到期的基金份额的净认购金额、认购费用及募集期间的利息收入之和 本基金第一个保本周期的保本赔付差额=基金份额持有人认购并持有到期的基金份额的可赎回金额加上该部分基金份额在第一个保本周期的累计分红款项之和低于其保本金额的差额部分 本基金第一个保本周期后各保本周期的保本金额的确定以公司届时的招募说明书或者相关公告为准。 本基金第一个保本周期后各保本周期的保本赔付差额=基金份额持有人过渡期申购、或从上一保本周期转入当期保本周期并持有到期的基金份额的可赎回金额加上该部分基金份额在当期保本周期内的累计分红款项之和低于其保本金额的差额部分 2、保本周期 本基金的保本周期为三年。 本基金的第一个保本周期自基金合同生效之日起至3个公历年后对应日止。如果该对应日为非工作日,保本周期到期日顺延至下一个工作日。 第一个保本周期届满时,在符合保本基金存续条件下,本基金继续存续并进入下一保本周期,该保本周期的具体起讫日期以本基金管理人届时公告为准。 3、适用保本条款的情形 (1)基金份额持有人认购并持有到期、或过渡期申购并持有到期、或从上一保本周期转入当期保本周期并持有到期的基金份额。 (2)对于认购并持有到期、或过渡期申购并持有到期、或从上一保本周期转入当期保本周期并持有到期的份额,基金份额持有人无论选择赎回、转换到基金管理人管理的其他基金、转入下一保本周期或是变更为“中银稳健策略灵活配置混合型证券投资基金”,都同样适用保本条款。 4、不适用保本条款的情形 (1)在保本周期到期日,按基金份额持有人认购并持有到期、或过渡期申购并持有到期、或从上一保本周期转入当期保本周期并持有到期的基金份额的可赎回金额加上该部分基金份额在当期保本周期内的累计分红款项之和计算的总金额不低于其保本金额; (2)基金份额持有人认购、或过渡期申购、或从上一保本周期转入当期保本周期,但在基金当期保本周期到期日前(不包括该日)赎回或转换出的基金份额; (3)基金份额持有人在保本周期内申购或转换入的基金份额; (4)在保本周期内发生本基金合同规定的基金合同终止的情形; (5)在保本周期内发生本基金与其他基金合并或更换基金管理人的情形,且担保人或保本义务人不同意继续承担保证责任; (6)在保本周期到期日之后(不包括该日)基金份额发生的任何形式的净值减少; (7)因不可抗力的原因导致基金投资亏损,或因不可抗力事件直接导致基金管理人无法按约定履行全部或部分义务或延迟履行义务的,或出现基金合同规定的其他情形令基金管理人免于履行保本义务的。 (六)保本周期到期的处理方案 1、保本周期到期后基金的存续形式 保本周期届满时,在符合法律法规有关担保人或保本义务人资质要求、经基金管理人和基金托管人认可的担保人或保本义务人同意为下一个保本周期提供保本保障,并与基金管理人签订《保证合同》或《风险买断合同》,同时本基金满足法律法规和基金合同规定的基金存续要求的情况下,本基金继续存续并转入下一保本周期,下一保本周期的具体起讫日期以基金管理人届时公告为准。 如保本周期到期后,本基金未能符合上述保本基金存续条件,则本基金将按基金合同的约定,变更为“中银稳健策略灵活配置混合型证券投资基金”。同时,基金的投资目标、投资范围、投资策略以及基金费率等相关内容也将根据基金合同的相关约定作相应修改。上述变更无须经基金份额持有人大会决议,在报中国证监会备案后,提前在临时公告或更新的基金招募说明书中予以说明。 如果本基金不符合法律法规和基金合同对基金的存续要求,则本基金将根据本基金合同的规定终止。 2、保本周期到期的处理规则 本基金保本期到期前,基金管理人将提前公告保本期到期的处理规则并提示基金份额持有人进行保本期到期操作。 为保障基金份额持有人利益,基金管理人可在保本期到期前30个工作日内视情况暂停本基金的申购和转换转入业务并提前公告。 (1)本基金的到期期间为保本周期到期日及之后5个工作日(含第5个工作日)。在到期期间,基金份额持有人可以做出如下选择: ①在到期期间内赎回持有到期的基金份额; ②在到期期间内将持有到期的基金份额转换为基金管理人管理的、已公告开放转换转入业务的其他基金; ③保本周期到期后,本基金符合保本基金存续条件,基金份额持有人持有到期的基金份额根据届时基金管理人的公告转入下一保本周期; ④保本周期到期后,本基金不符合保本基金存续条件,基金份额持有人选择转为变更后的“中银稳健策略灵活配置混合型证券投资基金”的基金份额。 (2)基金份额持有人可将其持有的所有基金份额选择上述四种处理方式之一,也可以部分选择赎回、转换出、转入下一保本周期,或在本基金不满足保本基金存续条件时,转为变更后的非保本混合型基金的基金份额。 (3)在到期期间内,无论基金份额持有人采取何种到期选择,均无需就其认购并持有到期、或过渡期申购并持有到期、或从上一保本周期转入当期保本周期并持有到期的基金份额的赎回和转换支付赎回费用和转换费用(包括转出基金的赎回费用和转入基金的申购费补差,下同)等交易费用。转换为基金管理人管理的其他基金,或在本基金不满足保本基金存续条件时转为“中银稳健策略灵活配置混合型证券投资基金”后的其他费用,适用其所转入基金的费用、费率体系。 (4)如果基金份额持有人未在届时公告的到期期间内进行选择,到期期间经过以后,在下一保本周期开始之前,基金份额持有人将不能再选择赎回或转换为基金管理人管理的其他基金。若基金份额持有人未在到期期间内做出到期选择且本基金符合保本基金存续条件,则基金管理人将视为基金份额持有人默认转入持有本基金的基金份额;若基金份额持有人未在到期期间内做出到期选择且本基金不符合保本基金存续条件,则基金管理人将视为基金份额持有人默认选择了继续持有变更后的“中银稳健策略灵活配置混合型证券投资基金”的基金份额。 (5)若基金份额持有人从本基金上一个保本期结束后选择或默认选择转入下一个保本期的基金份额所代表的可赎回金额总和超过担保人提供的下一个保本期担保额度或保本义务人提供的下一个保本期保本额度的,基金管理人将先按照下一个保本期担保额度或保本额度确定本基金在下一个保本期享受保本条款的总基金份额数,然后根据注册登记机构登记的本基金份额登记时间,按照“时间优先”的原则确认每位基金份额持有人在下一个保本期享受保本条款的基金份额。具体确认方法由基金管理人届时公告。 (6)在到期期间内,无论基金份额持有人做出何种选择,将自行承担保本周期到期日后(不含保本周期到期日)的基金份额净值波动的风险。 (下转B75版) 本版导读:
发表评论:财苑热评: |

