证券时报网络版郑重声明经证券时报社授权,证券时报网独家全权代理《证券时报》信息登载业务。本页内容未经书面授权许可,不得转载、复制或在非证券时报网所属服务器建立镜像。欲咨询授权事宜请与证券时报网联系 (0755-83501827) 。 |
大成现金宝场内实时申赎货币市场基金2016第二季度报告 2016-07-20 来源:证券时报网 作者:
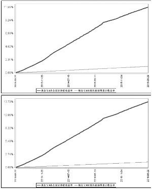
基金管理人:大成基金管理有限公司 基金托管人:中国农业银行股份有限公司 报告送出日期:2016年7月20日 §1 重要提示 基金管理人的董事会及董事保证本报告所载资料不存在虚假记载、误导性陈述或重大遗漏,并对其内容的真实性、准确性和完整性承担个别及连带责任。 基金托管人中国农业银行股份有限公司根据本基金合同规定,于2016年7月18日复核了本报告中的财务指标、净值表现和投资组合报告等内容,保证复核内容不存在虚假记载、误导性陈述或者重大遗漏。 基金管理人承诺以诚实信用、勤勉尽责的原则管理和运用基金资产,但不保证基金一定盈利。 基金的过往业绩并不代表其未来表现。投资有风险,投资者在作出投资决策前应仔细阅读本基金的招募说明书。 本报告中财务资料未经审计。 本报告期自2016年4月1日起至6月30日止。 §2 基金产品概况 ■ §3 主要财务指标和基金净值表现 3.1 主要财务指标 单位:人民币元 ■ 注:本期已实现收益指基金本期利息收入、投资收益、其他收入(不含公允价值变动收益)扣除相关费用后的余额,本期利润为本期已实现收益加上本期公允价值变动收益。由于货币市场基金采用摊余成本法核算,因此,公允价值变动收益为零,本期已实现收益和本期利润的金额相等。 3.2 基金净值表现 3.2.1 本报告期基金份额净值收益率及其与同期业绩比较基准收益率的比较 现金宝A ■ 现金宝B ■ 注:本货币基金收益分配按日结转份额。 3.2.2 自基金合同生效以来基金累计净值收益率变动及其与同期业绩比较基准收益率变动的比较 ■ 注:本基金合同规定,基金管理人应当自基金合同生效日起六个月内使基金的投资组合比例符合基金合同的约定。建仓期结束时,本基金的投资组合比例符合基金合同的约定。 §4 管理人报告 4.1 基金经理(或基金经理小组)简介 ■ 注:1、任职日期、离任日期为本基金管理人作出决定之日。 2、证券从业年限的计算标准遵从行业协会《证券业从业人员资格管理办法》的相关规定。 4.2 管理人对报告期内本基金运作遵规守信情况的说明 本报告期内,本基金管理人严格遵守《证券法》、《证券投资基金法》、《大成现金宝场内实时申购货币市场基金基金合同》和其他有关法律法规的规定,在基金管理运作中,大成现金宝场内实时申购货币市场基金的投资范围、投资比例、投资组合、证券交易行为、信息披露等符合有关法律法规、行业监管规则和基金合同等规定,本基金没有发生重大违法违规行为,没有运用基金财产进行内幕交易和操纵市场行为以及进行有损基金投资人利益的关联交易,整体运作合法、合规。本基金将继续以取信于市场、取信于社会投资公众为宗旨,承诺将一如既往地本着诚实信用、勤勉尽责的原则管理和运用基金财产,在规范基金运作和严格控制投资风险的前提下,努力为基金份额持有人谋求最大利益。 4.3 公平交易专项说明 4.3.1 公平交易制度的执行情况 根据《证券投资基金管理公司公平交易制度指导意见》的规定,公司制订了《大成基金管理有限公司公平交易制度》、《大成基金管理有限公司异常交易监控与报告制度》。公司旗下投资组合严格按照制度的规定,参与股票、债券的一级市场申购、二级市场交易等投资管理活动,内容包括授权、研究分析、投资决策、交易执行、业绩评估等与投资管理活动相关的各个环节。研究部负责提供投资研究支持,投资部门负责投资决策,交易管理部负责实施交易并实时监控,监察稽核部负责事前监督、事中检查和事后稽核,风险管理部负责对交易情况进行合理性分析,通过多部门的协作互控,保证了公平交易的可操作、可稽核和可持续。 4.3.2 异常交易行为的专项说明 公司风险管理部定期对公司旗下所有投资组合间同向交易、反向交易等可能存在异常交易的行为进行分析。2016年2季度公司旗下主动投资组合间股票交易不存在同日反向交易;主动型投资组合与指数型投资组合之间或指数型投资组合之间存在股票同日反向交易,但不存在参与交易所公开竞价同日反向交易成交较少的单边交易量超过该股当日成交量5%的交易情形;投资组合间债券交易不存在同日反向交易;投资组合间相邻交易日反向交易的市场成交比例、成交均价等交易结果数据表明该类交易不对市场产生重大影响,无异常;投资组合间虽然存在同向交易行为,但结合交易价差分布统计分析和潜在利益输送金额统计结果表明投资组合间不存在利益输送的可能性。 4.4 报告期内基金投资策略和运作分析 2016年二季度经济依然比较疲弱。工业增加值和固定资产投资数据继续下滑。虽然一二线城市房价仍然上涨,但是房地产销售初显疲态,房地产投资也已经开始回落。央行继续执行稳健的货币政策,二季度没有继续降低准备金,而是通过公开市场操作等方式保持货币市场稳定。 市场表现来看,债券市场波动较大。4月份在房价、大宗商品上涨,同时信用事件爆发的背景下,债券市场收益率迅速上行。而之后由于资金面依然非常宽松、经济数据继续下滑、通胀预期减弱、英国脱欧等因素,债券收益率又开始回调。货币市场走势相对平稳,只是在季度末出现一定波动。 本组合在做好流动性管理基础上,灵活调整组合比例和结构,在利率较高时适度增加长久期债券和同业存单配置,提高组合静态收益,为持有人创造了一定的持有期回报。 4.5 报告期内基金的业绩表现 报告期内本基金A类净值收益率为0.5407%,B类净值收益率0.6882%,期间业绩比较基准收益率为0.0870%。 4.6 报告期内基金持有人数或基金资产净值预警说明 无。 §5 投资组合报告 5.1 报告期末基金资产组合情况 ■ 5.2 报告期债券回购融资情况 ■ 注:报告期内债券回购融资余额占基金资产净值的比例为报告期内每个交易日融资余额占资产净值比例的简单平均值。 债券正回购的资金余额超过基金资产净值的20%的说明 本报告期内无债券正回购的资金余额超过基金资产净值的20%的情况。 5.3 基金投资组合平均剩余期限 5.3.1 投资组合平均剩余期限基本情况 ■ 报告期内投资组合平均剩余期限超过180天情况说明 注:本基金合同约定:“本基金投资组合的平均剩余期限在每个交易日均不得超过120天”,本报告期内,本基金未发生超标情况。 5.3.2 报告期末投资组合平均剩余期限分布比例 ■ 5.4 报告期末按债券品种分类的债券投资组合 ■ 5.5 报告期末按摊余成本占基金资产净值比例大小排序的前十名债券投资明细 ■ 5.6 “影子定价”与“摊余成本法”确定的基金资产净值的偏离 ■ 5.7 报告期末按公允价值占基金资产净值比例大小排序的前十名资产支持证券投资明细 本基金本报告期末未持有资产支持证券。 5.8 投资组合报告附注 5.8.1 本基金估值采用摊余成本法估值,即估值对象以买入成本列示,按票面利率或协议利率并考虑其买入时的溢价与折价,在其剩余存续期内按照实际利率法每日计提损益。本基金通过每日计算基金收益并分配的方式,使基金份额净值保持在人民币0.01元。 5.8.2 本报告期内不存在基金持有剩余期限小于397天但剩余存续期超过397天的浮动利率债券的摊余成本超过当日基金资产净值的20%的情况。 5.8.3 本基金投资的前十名证券的发行主体未出现本期被监管部门立案调查,或在报告编制日前一年内受到公开谴责、处罚的情形。 5.8.4 其他资产构成 ■ 5.8.5 投资组合报告附注的其他文字描述部分 由于四舍五入原因,分项之和与合计可能有尾差。 §6 开放式基金份额变动 单位:份 ■ §7 基金管理人运用固有资金投资本基金交易明细 本报告期基金管理人未运用固有资金投资本基金。 §8 影响投资者决策的其他重要信息 基金管理人于2016年6月25日发布了《大成基金管理有限公司关于高级管理人员变更的公告》,经大成基金管理有限公司第六届董事会第十七次会议审议通过,钟鸣远先生不再担任公司副总经理。 §9 备查文件目录 9.1 备查文件目录 1、中国证监会批准设立大成现金宝场内实时申赎货币市场基金的文件; 2、《大成现金宝场内实时申赎货币市场基金基金合同》; 3、《大成现金宝场内实时申赎货币市场基金托管协议》; 4、大成基金管理有限公司批准文件、营业执照、公司章程; 5、本报告期内在指定报刊上披露的各种公告原稿。 9.2 存放地点 备查文件存放在本基金管理人和托管人的办公住所。 9.3 查阅方式 投资者可在营业时间免费查阅,或登录本基金管理人网站http://www.dcfund.com.cn进行查阅。 大成基金管理有限公司 2016年7月20日 本版导读:
发表评论:财苑热评: |

