证券时报网络版郑重声明经证券时报社授权,证券时报网独家全权代理《证券时报》信息登载业务。本页内容未经书面授权许可,不得转载、复制或在非证券时报网所属服务器建立镜像。欲咨询授权事宜请与证券时报网联系 (0755-83501827) 。 |
天弘精选混合型证券投资基金2015年度报告摘要 2016-03-30 来源:证券时报网 作者:
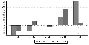
基金管理人:天弘基金管理有限公司 基金托管人:中国工商银行股份有限公司 送出日期:2016年3月30日 §1 重要提示 ■ §2 基金简介 2.1 基金基本情况 ■ 2.2 基金产品说明 ■ 2.3 基金管理人和基金托管人 ■ 2.4 信息披露方式 ■ §3 主要财务指标、基金净值表现及利润分配情况 3.1 主要会计数据和财务指标 金额单位:人民币元 ■ 注:1、所述基金业绩指标不包括持有人认购或交易基金的各项费用(例如,开放式基金的申购赎回费等),计入费用后实际收益水平要低于所列数字。 2、本期已实现收益指基金本期利息收入、投资收益、其他收入(不含公允价值变动收益)扣除相关费用后的余额,本期利润为本期已实现收益加上本期公允价值变动收益。 3、期末可供分配利润为期末资产负债表中未分配利润与未分配利润中已实现部分的孰低数。 3.2 基金净值表现 3.2.1 基金份额净值增长率及其与同期业绩比较基准收益率的比较 ■ 注:天弘精选混合基金业绩比较基准:上证180指数收益率*55%+上证国债指数收益率*45%。上证180指数和上证国债指数由上海证券交易所编制发布,分别反映了中国证券市场和债券市场的整体运行状况,具有可操作性和投资性。本基金股票投资比例范围是30%-85%,债券和短期金融工具的投资比例范围是15%-70%,分别参考上述投资比例范围的中值,确定本基金业绩比较基准中,上证180指数占55%,上证国债指数占45%。 3.2.2 自基金合同生效以来基金份额累计净值增长率变动及其与同期业绩比较基准收益率变动的比较 ■ 注:1、本基金合同于2005年10月8日生效。 2、本报告期内,本基金的各项投资比例达到基金合同约定的各项比例要求。 3.2.3 过去五年基金每年净值增长率及其与同期业绩比较基准收益率的比较 ■ 注:本基金合同于2005年10月8日生效。 3.3 过去三年基金的利润分配情况 本基金过去三年未进行利润分配,符合相关法规及基金合同的规定。 §4 管理人报告 4.1 基金管理人及基金经理情况 4.1.1 基金管理人及其管理基金的经验 天弘基金管理有限公司(以下简称"公司"或"本基金管理人")经中国证监会证监基金字[2004]164 号文批准,于2004年11月8日正式成立。注册资本金为5.143亿元人民币,总部设在天津,在北京、上海、广州、天津设有分公司。公司股权结构为: ■ 截至2015年12月31日,本基金管理人共管理46只基金:天弘精选混合型证券投资基金、天弘永利债券型证券投资基金、天弘永定价值成长混合型证券投资基金、天弘周期策略混合型证券投资基金、天弘鑫动力灵活配置混合型证券投资基金、天弘添利债券型证券投资基金(LOF)、天弘丰利债券型证券投资基金(LOF)、天弘现金管家货币市场基金、天弘债券型发起式证券投资基金、天弘安康养老混合型证券投资基金、天弘余额宝货币市场基金、天弘稳利定期开放债券型证券投资基金、天弘弘利债券型证券投资基金、天弘通利混合型证券投资基金、天弘同利分级债券型证券投资基金、天弘季加利理财债券型证券投资基金、天弘瑞利分级债券型证券投资基金、天弘沪深300指数型发起式证券投资基金、天弘中证500指数型发起式证券投资基金、天弘增益宝货币市场基金、天弘云端生活优选灵活配置混合型证券投资基金、天弘新活力灵活配置混合型发起式证券投资基金、天弘普惠养老保本混合型证券投资基金、天弘互联网灵活配置混合型证券投资基金、天弘惠利灵活配置混合型证券投资基金、天弘新价值灵活配置混合型证券投资基金、天弘云商宝货币市场基金、天弘中证大宗商品股票指数型发起式证券投资基金、天弘中证医药100指数型发起式证券投资基金、天弘中证全指房地产指数型发起式证券投资基金、天弘中证全指运输指数型发起式证券投资基金、天弘中证移动互联网指数型发起式证券投资基金、天弘中证证券保险指数型发起式证券投资基金、天弘创业板指数型发起式证券投资基金、天弘中证高端装备制造指数型发起式证券投资基金、天弘中证银行指数型发起式证券投资基金、天弘上证50指数型发起式证券投资基金、天弘中证100指数型发起式证券投资基金、天弘中证800指数型发起式证券投资基金、天弘中证环保产业指数型发起式证券投资基金、天弘中证电子指数型发起式证券投资基金、天弘中证计算机指数型发起式证券投资基金、天弘中证食品饮料指数型发起式证券投资基金、天弘中证休闲娱乐指数型发起式证券投资基金、天弘弘运宝货币市场基金、天弘鑫安宝保本混合型证券投资基金。 4.1.2 基金经理(或基金经理小组)及基金经理助理简介 ■ 注:1、上述任职日期为本基金管理人对外披露的任职日期。 2、证券从业的含义遵从行业协会《证券业从业人员资格管理办法》的相关规定。 3、在本年度报告截止日至报告批准送出日之间,肖志刚先生已于2016年2月22日离任,不再担任本基金基金经理。 4.2 管理人对报告期内本基金运作遵规守信情况的说明 本基金按照国家法律法规及基金合同的相关约定进行操作,不存在违法违规及未履行基金合同承诺的情况。 本报告期内,本基金管理人严格遵守《证券投资基金法》及其配套规则和其他相关法律法规、基金合同的有关规定,勤勉尽责地管理和运用基金资产,在严格控制风险的基础上,为基金份额持有人谋求最大利益。 本报告期内,本基金运作合法合规,不存在损害基金份额持有人利益的行为。 4.3 管理人对报告期内公平交易情况的专项说明 4.3.1 公平交易制度和控制方法 基金管理人一直坚持公平对待旗下所有基金的原则,严格执行《证券投资基金管理公司公平交易制度指导意见》和公司内部公平交易制度,在研究分析、投资决策和交易执行等各个环节落实公平交易原则。公平交易范围包括各类投资组合、所有投资交易品种、以及一级市场申购、二级市场交易等所有投资交易管理活动及授权、研究分析、投资决策、交易执行、业绩评估等投资管理活动相关的各个环节。 针对公司旗下所有投资组合的交易所公开竞价交易,通过交易系统中的公平交易程序,对于不同投资组合同日同向买卖同一证券的指令自动进行比例分配。针对场外网下交易业务,依照《证券投资基金管理公司公平交易制度指导意见》和公司内部场外、网下交易业务的相关规定,确保各投资组合享有公平的交易执行机会。对于以公司名义进行的交易严格按照发行分配的原则或价格优先、比例分配的原则在各投资组合间进行分配。 4.3.2 公平交易制度的执行情况 公平交易的执行情况包括:建立统一的研究平台和公共信息平台,保证各组合得到公平的投资资讯;公平对待不同投资组合,禁止各投资组合之间进行以利益输送为目的的投资交易活动;在保证各投资组合投资决策相对独立性的同时,严格执行授权审批程序;实行集中交易制度和公平交易分配制度;建立不同投资组合投资信息的管理及保密制度,保证不同投资组合经理之间的重大非公开投资信息的相互隔离;加强对投资交易行为的监察稽核力度,建立有效的异常交易行为日常监控和分析评估体系等。 报告期内,公司公平交易程序运作良好,未出现异常情况;场外、网下业务公平交易制度执行情况良好,未出现异常情况。 公司对旗下各投资组合的交易行为进行监控和分析,对各投资组合不同时间窗口(1日、3日、5日)内的同向交易的溢价金额与溢价率进行了T检验,未发现违反公平交易原则的异常交易。 本报告期内,未出现违反公平交易制度的情况,公司旗下各基金不存在因非公平交易等导致的利益输送行为,公平交易制度的整体执行情况良好。 4.3.3 异常交易行为的专项说明 为规范投资行为,公平对待投资组合,制定《异常交易监控和报告办法》对可能显著影响市场价格、可能导致不公平交易、可能涉嫌利益输送等交易行为异常和交易价格异常的情形进行界定,拟定相应的监控、分析和防控措施。 本报告期内,严格控制同一基金或不同基金组合之间的同日反向交易,严格禁止可能导致不公平交易和利益输送的同日反向交易;针对非公开发行股票申购、以公司名义进行的债券一级市场申购的申购方案和分配过程进行审核和监控,保证分配结果符合公平交易原则。未发现本基金存在异常交易行为。 本基金本报告期内未发生同一基金或不同基金组合之间在同一交易日内进行反向交易及其他可能导致不公平交易和利益输送的异常交易。 4.4 管理人对报告期内基金的投资策略和业绩表现的说明 4.4.1 报告期内基金投资策略和运作分析 回顾2015年,股票市场在上半年走出了波澜壮阔的行情,以互联网金融为代表的中小市值个股业估值大幅扩展,龙头个股涨幅巨大,但随即在股市去杠杆、人民币贬值的影响下,股市大幅下跌,从全年的角度来看,特别是中小股票,2015年仍然实现了较大幅度的上涨。本基金在2015年始终坚持以新兴成长个股为主要投资方向,上半年重点投向了TMT、军工等行业,三季度在市场转向过程中减持了部分中小股票并降低了仓位,主要配置了细分行业的龙头个股,在三季度末看到汇率暂时企稳的状态下,重新配置了风险偏好较高的TMT、新能源汽车等行业标的,总体本基金在2015年为投资者创造了一定幅度的收益,并显著战胜了业绩比较基准。 4.4.2 报告期内基金的业绩表现 截至2015年12月31日,本基金份额净值为0.8298元。本报告期本基金份额净值增长率47.23%,同期业绩比较基准增长率4.32%。 4.5 管理人对宏观经济、证券市场及行业走势的简要展望 展望2016年,利率仍有下降空间,但相比过去两年降幅趋缓。如果说过去两年A股的估值提升核心推动力源自于无风险利率的下降,那么对应到2016年,估值提升的空间非常有限,另一方面,在改革上,我们保持相对乐观的态度,供给侧改革虽有短痛,但中长期趋势必定向好。我们倾向于认为2016年股市将会是震荡为主,选股是获取收益的重要手段,估值无法提升意味着投资者将会对业绩增长重拾关注。本基金2016年的投资的主方向仍然会是成长股,但在行业前景、估值水平、业绩增长、公司治理的多方面寻找共振的投资标的,总体保持偏中性的仓位,结构上重点看好消费品、服务业、环保、TMT。 4.6 管理人对报告期内基金估值程序等事项的说明 公司设立的基金估值委员会为公司基金估值决策机构,负责制定公司所管理基金的基本估值政策,对公司旗下基金已采用的估值政策、方法、流程的执行情况进行审核监督,对因经营环境或市场变化等导致需调整已实施的估值政策、方法和流程的,负责审查批准基金估值政策、方法和流程的变更和执行。确保基金估值工作符合相关法律法规和基金合同的规定,确保基金资产估值的公平、合理,有效维护投资人的利益。估值委员会由公司分管固定收益投资估值业务的高级管理人员、督察长、投资总监、分管估值业务的IT运维总监、投资研究部负责人组成。 公司基金估值委员会下设基金估值工作小组,由具备丰富专业知识、两年以上基金行业相关领域工作经历、熟悉基金投资品种定价及基金估值法律法规、具备较强专业胜任能力的基金经理、基金会计、风险管理人员及监察稽核人员组成。 基金经理作为估值工作小组的成员之一,在基金估值定价过程中,充分表达对相关问题及定价方案的意见或建议,参与估值方案提议的制定。但对估值政策和估值方案不具备最终表决权。 参与估值流程的各方还包括本基金托管银行和会计师事务所。托管人根据法律法规要求对基金估值及净值计算履行复核责任。会计师事务所对估值委员会采用的相关估值模型、假设及参数的适当性发表审核意见并出具报告。上述参与估值流程各方之间不存在任何重大利益冲突。 报告期内,本基金管理人未与任何第三方签定与估值相关的定价服务。 4.7 管理人对报告期内基金利润分配情况的说明 本基金本报告期未进行利润分配,符合相关法规及基金合同的规定。 4.8 报告期内管理人对本基金持有人数或基金资产净值预警情形的说明 本报告期内本基金管理人无应说明预警信息。 §5 托管人报告 5.1 报告期内本基金托管人遵规守信情况声明 本报告期内,本基金托管人在对天弘精选混合型证券投资基金的托管过程中,严格遵守《证券投资基金法》及其他法律法规和基金合同的有关规定,不存在任何损害基金份额持有人利益的行为,完全尽职尽责地履行了基金托管人应尽的义务。 5.2 托管人对报告期内本基金投资运作遵规守信、净值计算、利润分配等情况的说明 本报告期内,天弘精选混合型证券投资基金的管理人--天弘基金管理有限公司在天弘精选混合型证券投资基金的投资运作、基金资产净值计算、基金份额申购赎回价格计算、基金费用开支等问题上,不存在任何损害基金份额持有人利益的行为,在各重要方面的运作严格按照基金合同的规定进行。本报告期内,天弘精选混合型证券投资基金未进行利润分配。 5.3 托管人对本年度报告中财务信息等内容的真实、准确和完整发表意见 本托管人依法对天弘基金管理有限公司编制和披露的天弘精选混合型证券投资基金2015年年度报告中财务指标、净值表现、利润分配情况、财务会计报告、投资组合报告等内容进行了核查,以上内容真实、准确和完整。 §6 审计报告 本报告期本基金财务会计报告经普华永道中天会计师事务所(特殊普通合伙)审计, 该所出具了“无保留意见的审计报告”,且在审计报告中无强调事项。投资者可通过年 度报告正文查看审计报告全文。 §7 年度财务报表 7.1 资产负债表 会计主体:天弘精选混合型证券投资基金 报告截止日:2015年12月31日 单位:人民币元 ■ 注:报告截止日2015年12月31日,基金份额净值0.8298元,基金份额总额2,268,257,948.19份。 7.2 利润表 会计主体:天弘精选混合型证券投资基金 本报告期:2015年1月1日至2015年12月31日 单位:人民币元 ■ 7.3 所有者权益(基金净值)变动表 会计主体:天弘精选混合型证券投资基金 本报告期:2015年1月1日至2015年12月31日 单位:人民币元 ■ 报表附注为财务报表的组成部分。 本报告7.1至7.4财务报表由下列负责人签署: ■ 7.4 报表附注 7.4.1 基金基本情况 天弘精选混合型证券投资基金((以下简称"本基金"))经中国证券监督管理委员会((以下简称"中国证监会"))证监基金字 2005]第104号《关于同意天弘精选混合型证券投资基金募集的批复》核准,由天弘基金管理有限公司依照《中华人民共和国证券投资基金法》和《天弘精选混合型证券投资基金基金合同》负责公开募集。本基金为契约型开放式,存续期限不定,首次设立募集不包括认购资金利息共募集339,099,940.28元,业经德勤华永会计师事务所有限公司德师京((验))报字((05))第020号验资报告予以验证。经向中国证监会备案,《天弘精选混合型证券投资基金基金合同》于2005年10月8日正式生效,基金合同生效日的基金份额总额为339,143,795.66份基金份额,其中认购资金利息折合43,855.38份基金份额。本基金的基金管理人为天弘基金管理有限公司,基金托管人为中国工商银行股份有限公司。 根据《天弘精选混合型证券投资基金招募说明书((更新))》和《关于天弘精选混合型证券投资基金实施份额拆分和持续营销及修改基金合同的公告》的有关规定,本基金于2007年10月11日进行了基金份额拆分,拆分比例为2.242719141,并于2007年10月12日进行了变更登记。 根据《中华人民共和国证券投资基金法》、《天弘精选混合型证券投资基金基金合同》和最新公告的《天弘精选混合型证券投资基金招募说明书((更新))》的有关规定,本基金投资于股票、债券和短期金融工具,以及中国证监会允许投资的其它金融工具,本基金股票投资比例范围是基金资产的30%-85%;债券和短期金融工具的投资比例范围是基金资产的15%-70%,短期金融工具是指现金以及期限在一年以内((含一年))的债券、债券回购、中央银行票据、银行期存款等金融工具。本基金的业绩比较基准为:上证180指数收益率X 55%+上证国债指数收益率X 45%。 本财务报表由本基金的基金管理人天弘基金管理有限公司于2016年3月25日批准报出。 7.4.2 会计报表的编制基础 本基金的财务报表按照财政部于2006年2月15日及以后期间颁布的《企业会计准则-基本准则》、各项具体会计准则及相关规定(以下合称"企业会计准则")、中国证监会颁布的《证券投资基金信息披露XBRL模板第3号<年度报告和半年度报告>》、中国证券投资基金业协会(以下简称"中国基金业协会")颁布的《证券投资基金会计核算业务指引》、《天弘精选混合型证券投资基金基金合同》和在财务报表附注7.4.4所列示的中国证监会、中国基金业协会发布的有关规定及允许的基金行业实务操作编制。 本财务报表以本基金持续经营为基础列报。 7.4.3 遵循企业会计准则及其他有关规定的声明 本基金2015年度财务报表符合企业会计准则的要求,真实、完整地反映了本基金2015年12月31日的财务状况以及2015年度的经营成果和基金净值变动情况等有关信息。 7.4.4 本报告期所采用的会计政策、会计估计与最近一期年度报告相一致的说明 本基金本报告期会计报表所采用的会计政策与最近一期年度会计报表所采用的会计政策一致,但会计估计(附注7.4.4.1)发生了变更。 7.4.4.1 其他重要的会计政策和会计估计 根据本基金的估值原则和中国证监会允许的基金行业估值实务操作,本基金确定以下类别股票投资和债券投资的公允价值时采用的估值方法及其关键假设如下: (1)对于证券交易所上市的股票,若出现重大事项停牌或交易不活跃(包括涨跌停时的交易不活跃)等情况,本基金根据中国证监会公告[2008]38号《关于进一步规范证券投资基金估值业务的指导意见》,根据具体情况采用《中国证券业协会基金估值工作小组关于停牌股票估值的参考方法》提供的指数收益法等估值技术进行估值。 (2)在银行间同业市场交易的债券品种,根据中国证监会证监会计字[2007]21号《关于证券投资基金执行<企业会计准则>估值业务及份额净值计价有关事项的通知》采用估值技术确定公允价值。本基金持有的银行间同业市场债券按现金流量折现法估值,具体估值模型、参数及结果由中央国债登记结算有限责任公司独立提供。 (3)对于在证券交易所上市或挂牌转让的固定收益品种(可转换债券、资产支持证券和私募债券除外),按照中证指数有限公司根据《中国证券投资基金业协会估值核算工作小组关于2015年1季度固定收益品种的估值处理标准》所独立提供的债券估值结果确定公允价值。 7.4.5 会计政策和会计估计变更以及差错更正的说明 7.4.5.1 会计政策变更的说明 本基金本报告期未发生会计政策变更。 7.4.5.2 会计估计变更的说明 对于在证券交易所上市或挂牌转让的固定收益品种(可转换债券、资产支持证券和私募债券除外),鉴于其交易量和交易频率不足以提供持续的定价信息,本基金本报告期改为采用中证指数有限公司根据《中国证券投资基金业协会估值核算工作小组关于2015年1季度固定收益品种的估值处理标准》所独立提供的估值结果确定公允价值。 7.4.5.3 差错更正的说明 本基金在本报告期间无须说明的会计差错更正。 7.4.6 税项 根据财政部、国家税务总局财税[2002]128号《关于开放式证券投资基金有关税收问题的通知》、财税[2008]1号《关于企业所得税若干优惠政策的通知》、财税[2012]85号《关于实施上市公司股息红利差别化个人所得税政策有关问题的通知》、财税[2015]101号《关于上市公司股息红利差别化个人所得税政策有关问题的通知》及其他相关财税法规和实务操作,主要税项列示如下: (1)以发行基金方式募集资金不属于营业税征收范围,不征收营业税。基金买卖股票、债券的差价收入不予征收营业税。 (2)对基金从证券市场中取得的收入,包括买卖股票、债券的差价收入,股权的股息、红利收入,债券的利息收入及其他收入,暂不征收企业所得税。 (3)对基金取得的企业债券利息收入,应由发行债券的企业在向基金支付利息时代扣代缴20%的个人所得税。对基金从上市公司取得的股息红利所得,持股期限在1个月以内(含1个月)的,其股息红利所得全额计入应纳税所得额;持股期限在1个月以上至1年(含1年)的,暂减按50%计入应纳税所得额;持股期限超过1年的,于2015年9月8日前暂减按25%计入应纳税所得额,自2015年9月8日起,暂免征收个人所得税。对基金持有的上市公司限售股,解禁后取得的股息、红利收入,按照上述规定计算纳税,持股时间自解禁日起计算;解禁前取得的股息、红利收入继续暂减按50%计入应纳税所得额。上述所得统一适用20%的税率计征个人所得税。 (4)基金卖出股票按0.1%的税率缴纳股票交易印花税,买入股票不征收股票交易印花税。 7.4.7 关联方关系 ■ 注:1、下述关联交易均在正常业务范围内按一般商业条款订立。 2、2015年度内,本基金管理人股东"内蒙古君正能源化工股份有限公司"的名称变更为"内蒙古君正能源化工集团股份有限公司"。 3、根据本基金管理人于2015年2月26日披露的关于完成增资扩股相关工商变更登记的公告,浙江蚂蚁小微金融服务集团有限公司、新疆天瑞博丰股权投资合伙企业(有限合伙)、新疆天惠新盟股权投资合伙企业(有限合伙)、新疆天阜恒基股权投资合伙企业(有限合伙)、新疆天聚宸兴股权投资合伙企业(有限合伙)为本基金管理人新增股东。 7.4.8 本报告期及上年度可比期间的关联方交易 7.4.8.1 通过关联方交易单元进行的交易 本基金本报告期内及上年度可比期间未通过关联方交易单元进行交易。 7.4.8.2 关联方报酬 7.4.8.2.1 基金管理费 单位:人民币元 ■ 注:1、支付基金管理人天弘基金管理有限公司的管理人报酬按前一日基金资产净值1.50%的年费率计提,逐日累计至每月月底,按月支付。其计算公式为:日管理人报酬=前一日基金资产净值 X 1.50% / 当年天数。 2、客户维护费是指基金管理人与基金销售机构在基金销售协议中约定的依据销售机构销售基金的保有量提取一定比例的客户维护费,用以向基金销售机构支付客户服务及销售活动中产生的相关费用,该费用从基金管理人收取的基金管理费中列支,不属于从基金资产中列支的费用项目。 7.4.8.2.2 基金托管费 单位:人民币元 ■ 注:支付基金托管人中国工商银行的托管费按前一日基金资产净值0.25%的年费率计提,逐日累计至每月月底,按月支付。其计算公式为: 日托管费=前一日基金资产净值 X 0.25% / 当年天数。 7.4.8.3 与关联方进行银行间同业市场的债券(含回购)交易 单位:人民币元 ■ 单位:人民币元 ■ 注:本基金本期末末与关联方未进行银行间同业市场的债券(含回购)交易。 7.4.8.4 各关联方投资本基金的情况 7.4.8.4.1 报告期内基金管理人运用固有资金投资本基金的情况 份额单位:人民币元 ■ 7.4.8.4.2 报告期末除基金管理人之外的其他关联方投资本基金的情况 本基金本期末及上年度末无除基金管理人之外的其他关联方投资本基金的情况。 7.4.8.5 由关联方保管的银行存款余额及当期产生的利息收入 单位:人民币元 ■ 注:本基金的银行存款由基金托管人中国工商银行保管,按银行同业利率计息。 7.4.8.6 本基金在承销期内参与关联方承销证券的情况 本基金本报告期及上年度可比期间未在承销期内参与关联方承销证券交易。 7.4.8.7 其他关联交易事项的说明 本基金本报告期及上年度可比期间无须作说明的其他关联交易事项。 7.4.9 期末(2015年12月31日)本基金持有的流通受限证券 7.4.9.1 因认购新发/增发证券而于期末持有的流通受限证券 本基金本报告期末未持有因认购新发/增发证券而于期末持有的流通受限证券。 7.4.9.2 期末持有的暂时停牌等流通受限股票 金额单位:人民币元 ■ 注:本基金截至2015年12月31日止持有以上因公布的重大事项可能产生重大影响而被暂时停牌的股票,该类股票将在所公布事项的重大影响消除后,经交易所批准复牌。 7.4.9.3 期末债券正回购交易中作为抵押的债券 7.4.9.3.1 银行间市场债券正回购 截至本报告期末2015年12月31日,本基金未持有银行间市场债券正回购交易中作为抵押的债券。 7.4.9.3.2 交易所市场债券正回购 截至本报告期末2015年12月31日,本基金未持有交易所市场债券正回购交易中作为抵押的债券。 §8 投资组合报告 8.1 期末基金资产组合情况 金额单位:人民币元 ■ 8.2 报告期末按行业分类的股票投资组合 金额单位:人民币元 ■ 8.3 期末按公允价值占基金资产净值比例大小排序的前十名股票投资明细 金额单位:人民币元 ■ 8.4 报告期内股票投资组合的重大变动 8.4.1 累计买入金额超出期初基金资产净值2%或前20名的股票明细 金额单位:人民币元 ■ 注:本项的"买入金额"均按买入成交金额(成交单价乘以成交数量)填列,不考虑相关交易费用。 8.4.2 累计卖出金额超出期初基金资产净值2%或前20名的股票明细 金额单位:人民币元 ■ ■ 注:本项 "卖出金额"均按卖出成交金额(成交单价乘以成交数量)填列,不考虑相关交易费用。 8.4.3 买入股票的成本总额及卖出股票的收入总额 金额单位:人民币元 ■ 注:本项 "买入股票成本"、 "卖出股票收入"均按买卖成交金额(成交单价乘以成交数量)填列,不考虑相关交易费用。 8.5 期末按债券品种分类的债券投资组合 金额单位:人民币元 ■ 8.6 期末按公允价值占基金资产净值比例大小排序的前五名债券投资明细 金额单位:人民币元 ■ 8.7 期末按公允价值占基金资产净值比例大小排序的所有资产支持证券投资明细 本基金本报告期末未持有资产支持证券。 8.8 报告期末按公允价值占基金资产净值比例大小排序的前五名贵金属投资明细 本基金本报告期末未持有贵金属。 8.9 期末按公允价值占基金资产净值比例大小排序的前五名权证投资明细 本基金本报告期末未持有权证。 8.10 报告期末本基金投资的股指期货交易情况说明 本基金本报告期末未持有股指期货。 8.11 报告期末本基金投资的国债期货交易情况说明 本基金本报告期末未持有国债期货。 8.12 投资组合报告附注 8.12.1 本报告期内未发现基金投资的前十名证券的发行主体被监管部门立案调查,未发现在报告编制日前一年内受到公开谴责、处罚。 8.12.2 基金投资的前十名股票,均为基金合同规定备选股票库之内的股票。 8.12.3 期末其他各项资产构成 金额单位:人民币元 ■ 8.12.4 期末持有的处于转股期的可转换债券明细 本基金本报告期末未持有处于转股期的可转换债券。 8.12.5 期末前十名股票中存在流通受限情况的说明 本报告期末前十名股票不存在流通受限情况的说明 8.12.6 投资组合报告附注的其他文字描述部分 由于四舍五入的原因,分项之和与合计项之间可能存在尾差。 §9 基金份额持有人信息 9.1 期末基金份额持有人户数及持有人结构 份额单位:份 ■ 9.2 期末基金管理人的从业人员持有本基金的情况 ■ 9.3 期末基金管理人的从业人员持有本开放式基金份额总量区间情况 ■ §10 开放式基金份额变动 单位:份 ■ 注:总申购份额含转换入份额;总赎回份额含转换出份额。 §11 重大事件揭示 11.1 基金份额持有人大会决议 本报告期内本基金未召开基金份额持有人大会决议。 11.2 基金管理人、基金托管人的专门基金托管部门的重大人事变动 本报告期内,天弘基金管理有限公司(以下简称"公司")股东会选举井贤栋先生、卢信群先生、袁雷鸣先生、屠剑威先生、付岩先生、郭树强先生、魏新顺先生、张军先生和贺强先生担任新一届董事会董事,其中井贤栋先生、袁雷鸣先生、屠剑威先生、张军先生和贺强先生为新任董事;公司董事会选举井贤栋先生为新一届董事会董事长(本公司法定代表人)。 以上重大人事变动事宜已经依照相关规定履行备案程序。 本报告期内,本基金的基金托管人的专门基金托管部门未发生重大人事变动。 11.3 涉及基金管理人、基金财产、基金托管业务的诉讼 本报告期内未发现涉及基金管理人、基金财产、基金托管业务的诉讼。 11.4 基金投资策略的改变 本报告期内本基金投资策略没有改变。 11.5 为基金进行审计的会计师事务所情况 报告期内应向普华永道中天会计师事务所(特殊普通合伙)支付服务费12万元整。截至本报告期末,普华永道中天会计师事务所(特殊普通合伙)已为天弘精选混合型证券投资基金提供审计服务8年。 11.6 管理人、托管人及其高级管理人员受稽查或处罚等情况 本报告期内未发现基金管理人、托管人及其高级管理人员受稽查或处罚的情况。 11.7 基金租用证券公司交易单元的有关情况 11.7.1 基金租用证券公司交易单元进行股票投资及佣金支付情况 金额单位:人民币元 ■ 11.7.2 基金租用证券公司交易单元进行其他证券投资的情况 金额单位:人民币元 ■ 注:1、基金专用交易单元的选择标准为:该证券经营机构财务状况良好,各项财务指标显示公司经营状况稳定;经营行为规范,内控制度健全,最近两年未因重大违规行为受到监管机关的处罚;研究实力较强,能及时、全面、定期向基金管理人提供高质量的咨询服务,包括宏观经济报告、市场分析报告、行业研究报告、个股分析报告及全面的信息服务。 2、基金专用交易单元的选择程序:本基金管理人根据上述标准进行考察后,确定选用交易席位的证券经营机构。然后基金管理人和被选用的证券经营机构签订交易席位租用协议。 3、报告期内新租用的证券公司交易单元情况: 序号 证券公司名称 所属市场 数量 1 方正证券 深圳 1 4、本基金报告期内停止租用交易单元:无。 §12 影响投资者决策的其他重要信息 1、本报告期内,公司注册资本由1.8亿元人民币增加至5.143亿元人民币,浙江蚂蚁小微金融服务集团有限公司持有公司51%的股权。 2、本报告期内,公司住所由"天津市河西区马场道59号天津国际经济贸易中心A座16层"变更为"天津自贸区(中心商务区)响螺湾旷世国际大厦A座1704-241号", 上述住所变更已办理完毕工商变更登记。 天弘基金管理有限公司 二〇一六年三月三十日 本版导读:
发表评论:财苑热评: |


